Featured Articles
More >>
- Evidence for a two-step species-level pulmonary nocardiosis ... 2026-03-26
- Diagnostic performance of magnetic resonance imaging-based r... 2026-03-26
- Role of metal artifact reduction software in computed tomogr... 2026-03-26
- Characterization of endometriosis in patients with Mullerian... 2026-03-26
- Proposing Incidental-Reporting and Data System: A classifica... 2026-03-26
World Journal of Radiology (WJR, World J Radiol) is a high-quality, open-access academic journal that employs a single-blind peer-review process. The journal focuses on publishing clinical, basic, and translational research achievements that are innovative, novel, and practical in the fields of radiology. The types of articles published in WJR include Editorial, Opinion Review, Frontier, Review, Minireview, Clinical Research, Basic Study, Systematic Review, Meta-analysis, Evidence-based Medicine, Field of Vision, Clinical Guidelines, Correspondence, and Case Report. All submissions must comply with academic norms and ethical requirements. WJR is edited and published by the Baishideng Publishing Group. Submit here >>
Editors-in-Chief
- Thomas J Vogl, MD, PhD, Professor, (E-mail: thomas.vogl@kgu.de) Department of Diagnostic and Interventional Radiology, University Hospital Frankfurt, Frankfurt 60596, Germany
Indexing/Abstracting
The WJR is now abstracted and indexed in PubMed, PubMed Central, Emerging Sources Citation Index (ESCI, Web of Science), Reference Citation Analysis, China Science and Technology Journal Database, and Superstar Journals Database.
Journal Metrics
The 2025 edition of Journal Citation Reports® cites the 2024 journal impact factor (JIF) for WJR as 1.5; JIF without journal self cites: 1.4; 5-year JIF: 1.6; JIF Rank: 137/212 in radiology, nuclear medicine and medical imaging; JIF Quartile: Q3; and 5-year JIF Quartile: Q3.
ISSN
1949-8470 (online)
Latest Manuscript Statistics
Received (1429), Duration of Peer Review (27 days/Mean), Days from Submission to First Decision (52 days/Mean), Second Decision Time (29 days/Mean), Accepted (52.9%/Mean), Production Time (47 days/Mean), Time to Publication (173 days/Mean), and Rejected (33.6%/Mean).
Opinion Review
Proposing Incidental-Reporting and Data System: A classification system for incidental findings in radiology
World J Radiol
18(3):119025.
Published online Mar 28, 2026.
doi: 10.4329/wjr.v18.i3.119025
Abstract (10)
|
Core Tip (8)
|
Full Article (HTML) (97)
|
Figures (1-1) (9)
|
Tables (1-3) (11)
|
Full Article (PDF)-499K (12)
|
Full Article with Cover (PDF)-833K (9)
|
Full Article (XML)-68K (6)
|
Audio-6346K (4)
|
Peer-Review Report-328K (8)
|
Answering Reviewers-105K (9)
|
Received: 01/16/2026
|
Revised: 02/02/2026
|
Accepted: 03/09/2026
|
RCA
|
CrossRef
|
Google Scholar
|
Times Cited (0)
|
Total Visits (356)
|
Similar Articles (16)
|
Timeline of Article Publication (0)
|
Authors Evaluation (0)
|
Article Quality Tracking (1)
|
What about the content of this article? (0)
|
Cite
|
(0)
|
Open
Retrospective Cohort Study
Characterization of endometriosis in patients with Mullerian anomalies using the Enzian classification: A retrospective cohort study
World J Radiol
18(3):118143.
Published online Mar 28, 2026.
doi: 10.4329/wjr.v18.i3.118143
Abstract (10)
|
Core Tip (9)
|
Full Article (HTML) (42)
|
Figures (1-3) (11)
|
Tables (1-3) (10)
|
Full Article (PDF)-8908K (7)
|
Full Article with Cover (PDF)-9216K (5)
|
Full Article (XML)-86K (5)
|
Audio-562K (3)
|
Peer-Review Report-233K (6)
|
Answering Reviewers-43K (7)
|
Received: 12/24/2025
|
Revised: 01/25/2026
|
Accepted: 03/05/2026
|
RCA
|
CrossRef
|
Google Scholar
|
Times Cited (0)
|
Total Visits (288)
|
Similar Articles (32)
|
Timeline of Article Publication (1)
|
Authors Evaluation (0)
|
Article Quality Tracking (0)
|
What about the content of this article? (0)
|
Cite
|
(0)
|
Open
Retrospective Study
Infrared thermography as adjunctive imaging in spine surgery: Evaluating thermal asymmetry for predicting symptomatic level and recovery
World J Radiol
18(3):116736.
Published online Mar 28, 2026.
doi: 10.4329/wjr.v18.i3.116736
Abstract (10)
|
Core Tip (7)
|
Full Article (HTML) (37)
|
Figures (1-2) (7)
|
Tables (1-2) (10)
|
Full Article (PDF)-3622K (9)
|
Full Article with Cover (PDF)-3941K (4)
|
Full Article (XML)-64K (5)
|
Audio-386K (5)
|
Peer-Review Report-225K (6)
|
Answering Reviewers-58K (6)
|
Received: 11/18/2025
|
Revised: 01/26/2026
|
Accepted: 02/27/2026
|
RCA
|
CrossRef
|
Google Scholar
|
Times Cited (0)
|
Total Visits (262)
|
Similar Articles (8)
|
Timeline of Article Publication (0)
|
Authors Evaluation (0)
|
Article Quality Tracking (0)
|
What about the content of this article? (0)
|
Cite
|
(0)
|
Open
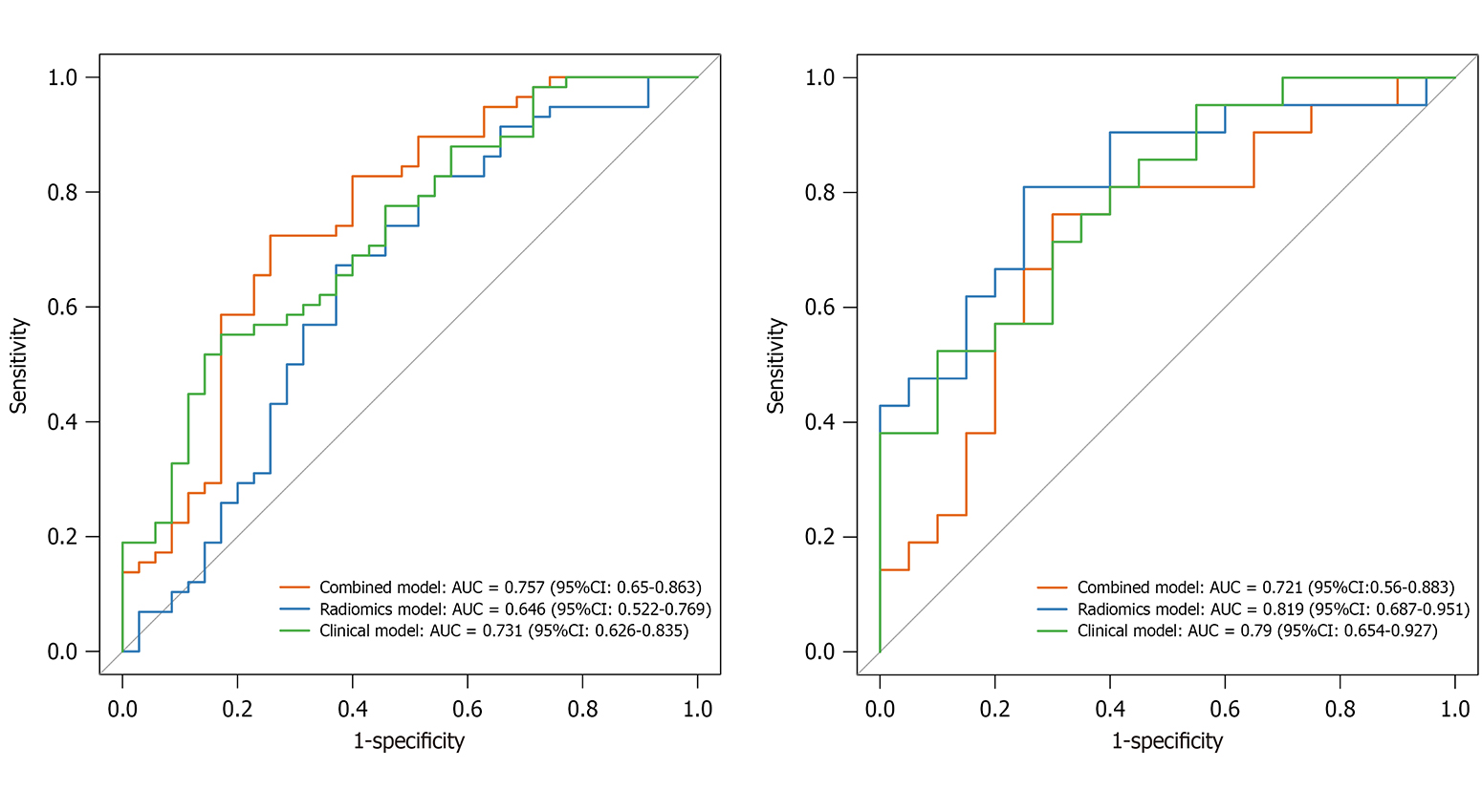
Predictive model for vedolizumab efficacy in moderate-to-severe ulcerative colitis based on computed tomography-derived body compositions and nutritional inflammatory markers
World J Radiol
18(3):117599.
Published online Mar 28, 2026.
doi: 10.4329/wjr.v18.i3.117599
Abstract (11)
|
Core Tip (9)
|
Full Article (HTML) (48)
|
Figures (1-5) (10)
|
Tables (1-4) (11)
|
Full Article (PDF)-3286K (10)
|
Full Article with Cover (PDF)-3618K (4)
|
Full Article (XML)-139K (6)
|
Audio-1976K (3)
|
Peer-Review Report-230K (7)
|
Answering Reviewers-49K (6)
|
Received: 12/10/2025
|
Revised: 01/20/2026
|
Accepted: 03/05/2026
|
RCA
|
CrossRef
|
Google Scholar
|
Times Cited (0)
|
Total Visits (223)
|
Similar Articles (433)
|
Timeline of Article Publication (0)
|
Authors Evaluation (0)
|
Article Quality Tracking (0)
|
What about the content of this article? (0)
|
Cite
|
(0)
|
Open
Role of metal artifact reduction software in computed tomography angiography of lower limb metallic prosthesis: A retrospective study
World J Radiol
18(3):118119.
Published online Mar 28, 2026.
doi: 10.4329/wjr.v18.i3.118119
Abstract (14)
|
Core Tip (10)
|
Full Article (HTML) (38)
|
Figures (1-2) (9)
|
Tables (1-7) (15)
|
Full Article (PDF)-3169K (8)
|
Full Article with Cover (PDF)-3477K (5)
|
Full Article (XML)-123K (5)
|
Audio-189K (5)
|
Peer-Review Report-189K (6)
|
Answering Reviewers-76K (5)
|
Received: 12/30/2025
|
Revised: 01/10/2026
|
Accepted: 01/16/2026
|
RCA
|
CrossRef
|
Google Scholar
|
Times Cited (0)
|
Total Visits (379)
|
Similar Articles (8)
|
Timeline of Article Publication (0)
|
Article Quality Tracking (0)
|
What about the content of this article? (0)
|
Cite
|
(0)
|
Open
Prospective Study
Metabolic profiles and hepatic steatosis assessed by controlled attenuation parameter and elastography during Ramadan fasting in San Antonio, United States
World J Radiol
18(3):117162.
Published online Mar 28, 2026.
doi: 10.4329/wjr.v18.i3.117162
Abstract (13)
|
Core Tip (10)
|
Full Article (HTML) (37)
|
Figures (1-2) (8)
|
Tables (1-3) (9)
|
Full Article (PDF)-585K (6)
|
Full Article with Cover (PDF)-893K (4)
|
Full Article (XML)-100K (5)
|
Audio-503K (6)
|
Peer-Review Report-199K (6)
|
Answering Reviewers-60K (5)
|
Received: 11/29/2025
|
Revised: 12/09/2025
|
Accepted: 01/15/2026
|
RCA
|
CrossRef
|
Google Scholar
|
Times Cited (0)
|
Total Visits (299)
|
Similar Articles (27)
|
Timeline of Article Publication (0)
|
Article Quality Tracking (0)
|
What about the content of this article? (0)
|
Cite
|
(0)
|
Open
Meta-Analysis
Diagnostic performance of magnetic resonance imaging-based radiomics for detecting prostate cancer: A systematic review and meta-analysis
World J Radiol
18(3):116826.
Published online Mar 28, 2026.
doi: 10.4329/wjr.v18.i3.116826
Abstract (13)
|
Core Tip (9)
|
Full Article (HTML) (31)
|
Figures (1-6) (11)
|
Tables (1-2) (13)
|
Full Article (PDF)-3422K (6)
|
Full Article with Cover (PDF)-3730K (4)
|
Full Article (XML)-179K (5)
|
Audio-1355K (3)
|
Peer-Review Report-218K (6)
|
Answering Reviewers-85K (7)
|
Received: 11/21/2025
|
Revised: 12/08/2025
|
Accepted: 01/26/2026
|
RCA
|
CrossRef
|
Google Scholar
|
Times Cited (0)
|
Total Visits (231)
|
Similar Articles (1042)
|
Timeline of Article Publication (0)
|
Article Quality Tracking (0)
|
What about the content of this article? (0)
|
Cite
|
(0)
|
Open
Correspondence
Letter to the Editor: Evidence for a two-step species-level pulmonary nocardiosis diagnostic approach
World J Radiol
18(3):118126.
Published online Mar 28, 2026.
doi: 10.4329/wjr.v18.i3.118126
Abstract (11)
|
Core Tip (11)
|
Full Article (HTML) (59)
|
Full Article (PDF)-403K (9)
|
Full Article with Cover (PDF)-711K (7)
|
Full Article (XML)-50K (10)
|
Audio-492K (5)
|
Peer-Review Report-225K (7)
|
Answering Reviewers-97K (6)
|
Received: 12/26/2025
|
Revised: 01/08/2026
|
Accepted: 01/12/2026
|
RCA
|
CrossRef
|
Google Scholar
|
Times Cited (0)
|
Total Visits (266)
|
Similar Articles (1)
|
Timeline of Article Publication (0)
|
Authors Evaluation (0)
|
Article Quality Tracking (0)
|
What about the content of this article? (0)
|
Cite
|
(0)
|
Open





