BPG is committed to discovery and dissemination of knowledge
Retrospective Study Open Access
©The Author(s) 2026. Published by Baishideng Publishing Group Inc. All rights reserved.
World J Clin Oncol. Jan 24, 2026; 17(1): 114012
Published online Jan 24, 2026. doi: 10.5306/wjco.v17.i1.114012
Ferritin as a novel predictive index for nasopharyngeal carcinoma survival and therapeutic efficacy of different chemotherapy regimens
Qi Tang, Yao Wu, Lin Chen, Qun-Ying Jia, Fa-Qing Tang, Department of Clinical Laboratory and Hunan Key Laboratory of Oncotarget Gene, Hunan Cancer Hospital & The Affiliated Cancer Hospital of Xiangya School of Medicine, Central South University, Changsha 410013, Hunan Province, China
Yao Wu, Lin Chen, The First Hospital, Hunan University of Chinese Medicine, Changsha 410208, Hunan Province, China
ORCID number: Qi Tang (0000-0002-2580-6655); Yao Wu (0009-0000-3050-2587); Lin Chen (0009-0003-7250-7273); Qun-Ying Jia (0000-0003-4660-3790); Fa-Qing Tang (0000-0001-5794-4975).
Author contributions: Tang FQ, Tang Q, Wu Y, Chen L, and Jia QY designed the research study; Tang Q, Wu Y, Chen L, and Jia QY performed the research; Tang FQ, Tang Q, and Wu Y contributed new reagents and analytic tools; Tang Q, Chen L, and Jia QY analyzed the data and wrote the manuscript. All authors have read and approved the final manuscript.
Supported by Major Scientific and Technological Innovation Project of Hunan Province, No. 2021SK1020-4; Natural Science Foundation of Hunan Province, No. 2019JJ40174; and Research Projects of the Hunan Health Commission, No. B2019084.
Institutional review board statement: The study was reviewed and approved by the Institutional Review Board of Hunan Cancer Hospital (Approval No. 2024-KYJYCXCC-30).
Informed consent statement: All study participants, or their legal guardian, provided informed written consent prior to study enrollment.
Conflict-of-interest statement: The authors declare no conflict of interest for this study.
Data sharing statement: Technical appendix, statistical code, and dataset available from the corresponding author at tangfq@hnca.org.cn. Participants gave informed consent for data sharing.
Corresponding author: Fa-Qing Tang, Director, Professor, Hunan Key Laboratory of Oncotarget Gene, Hunan Cancer Hospital & The Affiliated Cancer Hospital of Xiangya School of Medicine, Central South University, No. 283 Tongzipo Road, Changsha 410013, Hunan Province, China. tangfq@hnca.org.cn
Received: September 15, 2025
Revised: October 25, 2025
Accepted: November 25, 2025
Published online: January 24, 2026
Processing time: 133 Days and 0.4 Hours

Abstract
BACKGROUND

In the treatment of nasopharyngeal carcinoma (NPC), there is a lack of effective assessment of the long-term effects on patients. Searching for an effective evaluation scheme and screening a reliable index for various therapeutic regimens is an urgent clinical issue that needs to be resolved.

AIM

To establish an effective evaluation scheme and screen a reliable index for NPC patients across various therapeutic regimens.

METHODS

This population-based retrospective cohort study included NPC survivors (n = 1142; weighted population, 100984) from the OB database of the Hunan Cancer Hospital, spanning from 2011 to 2023. The software DT Health (V 6.8) and I Medical software were utilized to extract the data. By leveraging the aforementioned database, the survival and mortality rates of NPC patients across various therapeutic regimens were analyzed. Three Cox regression models were formulated to explore the independent association of the Ferritin index with 3- and 5-year mortality risk. We used restricted cubic spline analysis to assess the potential nonlinear relationships between Ferritin-related indices and 3- and 5-year mortality. We also assessed the association between the Ferritin index and mortality using Cox proportional hazards regression models. All NPC patients were randomly divided into training and validation sets in a 3:7 ratio. Receiver operating characteristic (ROC), decision curve analysis (DCA), and calibration curves were plotted simultaneously for both training and validation sets.

RESULTS

NPC patients were divided into two groups: Survivors (615, 53.85%) and non-survivors (527, 46.15%) based on their 5-year mortality. The 5-year mortality rate of males (71.35%) was higher than that of females (28.65%). The tumor stage of the non-survivors converged to TNM stages III and IV. Non-survivors displayed significantly higher levels of Ferritin, lactate dehydrogenase, and carcinoembryonic antigen than the survivors (P < 0.05). Follow-up analysis revealed that nidaplatin plus 5-fluorouracil (NF), docetaxel plus nidaplatin (TN), and docetaxel plus cisplatin (TP) regimens were associated with imporved 5-year survival in NPC patients. The 3- and 5-year rates showed a significant association with Ferritin level. When patients were stratified by Ferritin index quartiles, the tumor stages were predominantly skewed towards TNM stages III and IVa. Thus, Ferritin serves as a key novel biomarker for assessing NPC treatment efficacy. The Ferritin index was significantly associated with 3- and 5-year mortality risk. This correlation was evident in both the unadjusted and fully adjusted models. There was a minor level, S-shaped correlation between the Ferritin index and 3-year mortality. NPC patients with the Ferritin index in quartiles 1 and 3 had a higher 5-year mortality risk. Kaplan-Meier curves demonstrated that there were significant differences in mortality rates among different Ferritin quartiles. NPC patients with the Ferritin index in quartile 4 exhibited the highest 5-year survival rates. ROC curve analysis based on logistic regression predictive model revealed that the Ferritin index predicted 5-year mortality in the validation set. Additionally, the DCA curves of both the training and validation sets indicated that the Ferritin index optimized the predictive performance of the basic risk model for 5-year mortality.

CONCLUSION

The chemotherapy regimens of NF, TN, and TP for NPC are associated with the prognosis of NPC. The Ferritin index is an important indicator for predicting NPC survival.

Key Words: Nasopharyngeal carcinoma; Ferritin; Retrospective study; Survival indicators; Predictive model; Restricted cubic spline; Receiver operating characteristic curves; Decision curve analysis curves

Core Tip: In this study, a large-sample analysis of nasopharyngeal carcinoma (NPC) patients showed that chemotherapy regimens can improve the survival rate and prognosis of NPC patients. The Ferritin index is the most significant indicator for distinguishing NPC patients. Cox regression and receiver operating characteristic curve analysis, supported by decision curve analysis across training and validation sets, demonstrated that the Ferritin index significantly enhanced the predictive ability of the basic risk model for 5-year mortality. These findings support the development of a novel Ferritin-based biomarker for the diagnosis and prognosis of NPC.



INTRODUCTION

Nasopharyngeal carcinoma (NPC) is a common malignant tumor of the head and neck[1]. According to the latest global statistics from the GLOBOCAN database, covering 36 cancer types across 185 countries, there were about 130000 new cases of NPC in 2024, accounting for 0.7% of all cancer cases, alongside about 80000 deaths, representing 0.8% of total cancer-related mortality[2]. The number of NPC cases in China accounts for approximately 47% of the global NPC cases. According to China's latest cancer statistics in 2022, there are > 50000 new cases of NPC, with southern China having the highest incidence. Reported deaths attributable to NPC surpassed 20000[3]. The age-standardized 5-year survival is 56.2% for NPC[4], and the 5-year survival rate in 2019-2021 has significantly increased compared with that in 2008-2010[3]. Currently, radiotherapy is the first choice, followed by chemotherapy, concurrent chemoradiotherapy, targeted therapy, and immunotherapy. The 5-year survival rate of NPC patients treated with radiotherapy alone is only 30%-50%[5].

According to the National Comprehensive Cancer Network 2020 guidelines, sequential neoadjuvant concurrent chemoradiotherapy (CCRT) is the standard treatment for locally advanced NPC[6]. Induction chemotherapy (IC) plus CCRT offers substantial benefits in terms of overall survival (OS) (with a 5-year absolute benefit of 5.5%) and progression-free survival (PFS) (with a 5-year absolute benefit of 9.3%)[7]. Incorporation of IC + CCRT has led to significant improvements in treatment efficacy. This integrated approach established a novel standard treatment for NPC[1]. There are various chemotherapy regimens for NPC[8-11], but there is a lack of direct comparisons between these regimens to determine the optimal one. Only a small number of studies have directly compared a few chemotherapy regimens. Identifying the most effective multi-agent chemotherapy regimen remains a critical unmet need in clinical practice[12].

Individuals with a higher Ferritin index seem to be at a higher risk of cancer since Ferritin is a classic independent risk factor for cancer[13]. A population-based cohort study indicated that elevated Ferritin levels increased the risk of cancer[14]. Some studies have found a strong correlation between ferroptosis resistance and head and neck squamous cell carcinoma[15-17]. Elevated serum Ferritin levels are associated with poor prognosis in various types of cancer; however, their value in NPC remains unclear. High serum Ferritin levels are associated with shorter OS and PFS in patients with NPC[18]. Multivariate analysis showed that serum Ferritin is an independent prognostic factor for distant-metastasis-free survival in NPC. The C-index of a nomogram for predicting distant metastasis was 0.763 [95% confidence interval (CI): 0.685-0.841] and 0.760 (95%CI: 0.643-0.877) in the training cohort and validation cohorts, respectively[19]. Univariate and multivariate analyses have confirmed that high serum Ferritin level is an independent risk factors for poor prognosis[18]. Therefore, Ferritin may have high clinical value as a biological index for the diagnosis and treatment of NPC.

In the present study, we used three Cox regression models and restricted cubic spline (RCS) analysis to explore the independent association of the Ferritin index with 3- and 5-year mortality. In addition, we assessed the association between the Ferritin index and mortality using Cox proportional hazards regression models. Finally, all NPC patients were randomly divided into training and validation sets in a 3:7 ratio. We plotted receiver operating characteristic (ROC), decision curve analysis (DCA), and calibration curves for both the training and validation sets.

MATERIALS AND METHODS
Clinical research methods

This retrospective cohort study was performed according to the STROBE guidelines[20]. The study was approved by the Medical Ethics Committee for Clinical Research of Hunan Cancer Hospital (2024-KYJYCXCC-30). All the procedures were performed in accordance with the ethical standards of the responsible committee on human experimentation (institutional or regional) and the 1975 Declaration of Helsinki.

Source of data

The clinical research big data platform in the Clin Brain database (version 2.3.0.24), a large cancer clinical database, was used. The Clin Brain database comprises medical information of patients with cancer in the Hunan Cancer Hospital between 2011 and 2023. One author (Tang Q) was able to access the database and was responsible for the data extraction (Certification Number 1889). The datasets generated in this study are accessible online (http://172.26.200.76:9011/client/publish.htm). The original and treatment data are presented in Supplementary Tables 1 and 2, respectively.

Patient selection

Patients diagnosed with NPC were included in the present study according to the 8th American Joint Committee on Cancer staging of nasopharyngeal cancer and the Chinese 2008 staging of NPC. The exclusion criteria were as follows: (1) Age < 13 years; (2) Mental illness or severe cognitive impairment; (3) Lack of verbal expression and inability to cooperate; and (4) Serious and uncontrolled cardiovascular, cerebrovascular, renal, liver, or other systemic diseases.

Variable extraction

The DTHealth (V 6.8) and IMedical software platforms were used to extract clinical data for NPC patients. This set of baseline variables was chosen based on their possible influence on NPC risk. The following variables were extracted: Age, sex, pathological classification, tumor stage, and treatment. Laboratory variables were recorded, including serum tumor-associated material (TAM), tumor-supplied group of factors (TSGF), neuron-specific enolase (NSE), carcinoembryonic antigen (CEA), alpha-fetoprotein (AFP), aspartate aminotransferase (AST), alanine aminotransferase (ALT), alkaline phosphatase (ALP), lactate dehydrogenase (LDH), gamma-glutamyl transferase (GGT), 5'-nucleotidase (5-NT), glycyl-proline-dipeptidyl aminopeptidase (GPDA), adenosine deaminase (ADA), and monoamine oxidase (MAO). For patients with repeated measurements, only the initial value was included in the analysis. Treatments, including radiotherapy and chemotherapy, were also analyzed. As most patients underwent radiotherapy, this study mainly analyzed the impact of different chemotherapy regimens on Ferritin levels.

Outcomes

The follow-up started from the date of hospital admission. The primary outcome was 5-year mortality. The secondary outcome was 3-year mortality.

Statistical analysis

Continuous variables are presented as the mean ± SD or median and interquartile range (IQR), with student’s t-test and the Wilcoxon rank-sum test used for statistical analyses. Categorical variables are expressed as the total number and frequency, and the χ2 test or Fisher’s exact test was performed for analyses. Weighted one-way analysis of variance was used for continuous variables, and the weighted χ2 test was used for categorical variables to evaluate differences in the descriptive analyses. Baseline variables with a significance level of P < 0.05, between survivors and non-survivors, were included in a multivariate model. The relationship between Ferritin levels and the risk of mortality was determined using Kaplan-Meier curves. Sample weights were applied to amalgamate data from multiple survey cycles. Participants were categorized into four groups based on the quartiles (Q1-Q4) of the Ferritin index. Categorical variables are presented as percentages and corresponding 95%CI. To evaluate the hazard ratio (HR) and 95%CI for the association between the Ferritin index and the risk of 5-year mortality in Model 1, multivariate Cox regression models were developed. In Model 2, adjustments were made for age and sex. In Model 3, further adjustments were made to tumor stage and laboratory results. Ferritin quartile analysis was conducted to explore the association between the continuous Ferritin index and 3- and 5-year mortality in different subgroups. RCS analysis was used to further investigate the relationship between the Ferritin index and mortality. ROC curve analysis was performed to compare the predictive ability, sensitivity, and specificity of the Ferritin index in assessing mortality. Finally, all patients were randomly divided into training and validation sets in a 3:7 ratio, and the χ2 test was used to confirm the Ferritin quartiles. Subsequently, univariate and multivariate logistic regression analyses, incorporating the Ferritin index, were performed in the training set to determine the independent prognostic factors for 5-year mortality in patients with NPC. A nomogram was constructed based on the selected independent risk factors. ROC, DCA, and calibration curves were plotted for both training and validation sets. The ROC curve was used to assess the accuracy and recall of the model; the DCA curve was used to evaluate the clinical net benefit; and the calibration curve was used to assess the predictive accuracy and consistency of the model. Continuous variables were divided into dichotomous groups based on clinical significance. Statistical significance was set at P < 0.05. IBM SPSS Statistics version 25.0 (IBM, Ehningen, Germany), GraphPad Prism 9.5 (GraphPad Software, San Diego, CA, United States), and the Zstats statistical software based on R software (http://www.R-project.org, R Foundation) were used to for all statistical analyses.

RESULTS
Baseline characteristics

The data analyzed in this study spanned from 2011 to 2023 on the Clinical Research Big Data Platform in the Clin Brain database (v. 2.3.0.24). Initially, we enrolled 100984 participants. After the exclusion of non-NPC patients (n = 1840), outpatient patients with NPC (n = 65777), and patients with missing 5-year mortality data (n = 32225), the final analysis included 1142 patients (Figure 1). The baseline characteristics of the patients were categorized based on their 5-year mortality. NPC patients were divided into two groups: Survivors (615, 53.85%) and non-survivors (527, 46.15%) (Table 1). Non-survivors tended to be older than the survivors. In the 50-59 years age group, there were 141 (50.54%) non-survivors and 138 (49.46%) survivors. In the 60-69 years age group, there were 47 (53.41%) non-survivors and 41 (46.59%) survivors. In patients aged ≥ 70 years, there were four non-survivors (100%) and no survivors. The 5-year mortality rate of males (71.35%) was significantly higher than that of females (28.65%). Patients aged 40-49 years comprised the largest proportion of the cohort, followed by those aged 50-59 and 30-39 years. The tumor stages of non-survivors were predominantly distributed in TNM stages III and IVa. Non-survivors had significantly elevated levels of Ferritin, LDH, and CEA (P < 0.05).

Figure 1
Figure 1 Patient selection process.
Table 1 Baseline characteristics between survivors and non-survivors, n (%).
Variable
Total (n = 1142)
Survivors (n = 615)
Non-survivors (n = 527)
Statistic
P value
Gender
    Male783 (68.56)407 (66.18)376 (71.35)
    Female359 (31.44)208 (33.82)151 (28.65)
Age (years)
    ≤ 2947 (4.12)36 (76.60)11 (23.40)
    30-39202 (17.69)132 (65.35)70 (34.65)
    40-49522 (45.70)268 (51.34)254 (48.66)
    50-59279 (24.43)138 (49.46)141 (50.54)
    60-6988 (7.71)41 (46.59)47 (53.41)
    ≥ 704 (0.35)0 (0)4 (100)
Tumor stage (%)χ² = 6.080.193
    I0.470.730.23
    II5.447.073.90
    III54.6156.6552.44
    IVa35.4634.8636.10
    IVb4.023.664.36
TAM (U/mL)89.27 ± 12.4387.73 ± 11.0990.89 ± 13.60t = 1.420.159
TSGF (U/mL)54.40 ± 17.2254.37 ± 17.1954.43 ± 17.28t = 0.050.959
NSE (ng/mL)2.61 ± 1.952.55 ± 2.112.68 ± 1.79t = 0.610.539
CEA (mg/L)1.41 ± 1.481.22 ± 0.951.58 ± 1.83t = 2.360.019
Feritin (ng/mL)133.42 ± 76.1197.32 ± 68.38167.22 ± 67.04t = 9.84< 0.001
AFP (ng/mL)1.73 ± 2.091.65 ± 2.121.82 ± 2.05t = 0.770.444
AST (U/L)23.45 ± 16.3023.58 ± 17.1423.30 ± 15.35t = -0.260.798
ALT (U/L)26.83 ± 29.5927.39 ± 29.3026.22 ± 29.93t = -0.600.547
ALP (U/L)75.67 ± 27.4375.33 ± 28.2676.04 ± 26.52t = 0.380.706
LDH (U/L)172.59 ± 42.86169.30 ± 42.23176.27 ± 43.32t = 2.360.018
GGT (U/L)33.87 ± 53.8731.13 ± 27.6336.90 ± 72.44t = 1.550.122
5-NT (U/L)6.07 ± 5.515.91 ± 5.146.25 ± 5.89t = 0.890.371
GPDA (U/L)67.91 ± 21.3868.18 ± 20.0667.61 ± 22.76t = -0.380.704
ADA (U/L)15.18 ± 23.8014.58 ± 17.9715.83 ± 28.91t = 0.750.450
MAO (U/L)4.77 ± 2.374.75 ± 2.334.80 ± 2.41t = 0.260.794

Baseline analysis for this study was as follows: (1) Gender: Among male patients, 407 (66.18%) were survivors and 376 (71.35%) were non-survivors. In contrast, among female patients, 208 (33.82%) were survivors and 151 (28.65%) were non-survivors. This finding suggested that NPC was more frequent in males and the prognosis was significantly better in females; (2) Age: Among patients ≤ 29 years old, there were 36 survivors (76.60%) and 11 non-survivors (23.40%). In the 30-39 years group, there were 132 survivors (65.35%) and 70 non-survivors (34.65%). In the 40-49 years age group, there were 268 survivors (51.34%) and 254 non-survivors (48.66%). These results demonstrated that NPC was most common in middle-aged patients, which is consistent with the epidemiological trend; and (3) Tumor stage: The proportion of TNM stage I cases was 0.47%, of which 0.73% were survivors and 0.23% were non-survivors. TNM stage II accounted for 5.44% of all cases, of which 7.07% were survivors and 3.90% were non-survivors. Among the most prevalent stages (III and IVa), stage III accounted for 54.61% of cases, followed by stage IVa at 35.46%. Among TNM stage III patients, survivors accounted for 56.65% and non-survivors for 52.44%, while in TNM stage IVa, the proportions were 34.86% and 36.10%, respectively. TNM stage IVa accounted for 4.02% of the total cases, of which 3.66% were survivors and 4.36% were non-survivors.

Impact of chemotherapy on survival of NPC patients

Radiotherapy with concurrent chemotherapy is the standard treatment for advanced NPC and markedly improves survival. We assessed the effects of 24 different chemotherapy regimens on patient survival. Chemotherapy regimens of nidaplatin plus 5-fluorouracil (5-FU) (NF), cisplatin plus 5-FU (PF), docetaxel plus nidaplatin (TN), and docetaxel plus cisplatin (TP) were most commonly used in NPC patients. Among these four regimens, the number of survivors of patients treated with NF, TN, and TP was higher than that of non-survivors; however, the number of survivors treated with PF was lower than that of non-survivors. Except for the Ferritin index, there were no significant differences in any indicators between pre- and post-treatment patients. Table 2 presents the chemotherapy regimens and laboratory indices for patients, stratified by survival status.

Table 2 Chemotherapy regimens and laboratory indicator between survivors and non-survivors after treatment.
Variable
Total (n = 1142)
Survivors (n = 615)
P (vs pre-treatment)
Non-survivors (n = 527)
P (vs pre-treatment)
Statistic
P (survivors vs non-survivors)
TAM90.30 ± 13.4691.48 ± 13.350.58788.69 ± 13.590.561t = -1.090.278
TSGF58.64 ± 18.4657.93 ± 19.170.73959.45 ± 17.620.164t = 0.990.325
AST22.91 ± 11.7223.08 ± 11.340.73222.71 ± 12.170.819t = -0.400.689
ALT24.48 ± 23.2525.35 ± 25.700.43323.49 ± 20.040.610t = -1.020.309
ALP69.73 ± 21.9469.66 ± 20.910.57769.81 ± 23.100.778t = 0.080.936
LDH165.50 ± 39.74164.23 ± 36.810.058166.94 ± 42.840.970t = 0.820.411
GGT29.74 ± 29.4930.14 ± 27.920.18729.29 ± 31.220.899t = -0.350.729
5-NT5.32 ± 4.455.04 ± 3.910.6395.63 ± 4.980.136t = 1.590.113
GPDA61.76 ± 18.6161.99 ± 18.500.78561.51 ± 18.780.773t = -0.310.759
ADA14.50 ± 16.1114.35 ± 20.030.51614.68 ± 9.950.929t = 0.240.809
MAO4.21 ± 2.474.15 ± 2.550.8014.28 ± 2.380.856t = 0.590.552
NSE2.76 ± 1.912.78 ± 1.870.8752.74 ± 1.960.772t = -0.240.812
CEA1.74 ± 6.551.41 ± 1.100.0542.16 ± 9.710.275t = 1.240.215
FERITIN94.80 ± 78.4359.86 ± 31.90< 0.001a138.57 ± 95.67< 0.001at = 11.43< 0.001a
AFP2.43 ± 5.282.32 ± 3.180.6582.57 ± 7.080.666t = 0.520.604
Treatment, (%)-0.5701
CAV 0.100.190.00
CNF 0.100.000.21
DF 0.100.190.00
DGP 0.100.190.00
DN 7.987.418.61
DNF 0.500.380.63
DNL 0.100.190.00
DP 4.493.805.25
DPF 1.501.521.47
DPN 0.100.190.00
DPS 0.100.190.00
GN 0.400.380.42
GP 0.600.760.42
NF 16.1716.3515.97
NP 0.100.190.00
NPF 0.500.570.42
PF 12.8710.0815.97
TDP 0.200.190.21
TF 0.100.190.00
TN 16.0716.1615.97
TNF 2.302.661.89
TP 18.9619.7718.07
TPF 1.802.091.47
TPN0.100.000.21
Radiotherapy13.1714.4511.76
Radiotherapy plus chemotherapy0.901.140.63
Surgery0.100.000.21
Surgery plus radiotherapy0.500.760.21
Baseline characteristics stratified by Ferritin index quartiles

Given the significant baseline changes in Ferritin levels before and after treatment, it represents a potential diagnostic and treatment index for patients with NPC. Table 3 summarizes the baseline characteristics of the participants stratified by Ferritin index quartiles. Both the 3- and 5-year mortality rates differed significantly across quartiles. Compared with the lowest Ferritin index quartile, patients in higher Ferritin index groups were more likely to have an increased risk of 3-year mortality. The majority of cases were classified as TNM stage III or IVa, consistent with earlier findings. In Q1, there were more females, and in Q2-Q4, there were more males. The Ferritin index ranges for Q1-4 were 1.89-83.13, 83.18-129.21, 130.65-175.25, and 175.68-378.29, respectively. Among all laboratory indices examined, only NSE levels were significantly different across Ferritin index quartiles (P = 0.015).

Table 3 Weighted baseline characteristics by quartiles of the Ferritin index.
Ferritin index
Quartile 1 (1.89-83.13)
Quartile 2 (83.18-129.21)
Quartile 3 (130.65-175.25)
Quartile 4 (175.68-378.29)
Statistic
P value
Age44.31 ± 10.5145.90 ± 11.0146.95 ± 9.4647.66 ± 8.70F = 1.940.122
TAM92.71 ± 11.7196.23 ± 14.1090.62 ± 11.2291.41 ± 14.77F = 0.560.645
TSGF52.11 ± 15.9452.25 ± 18.3351.70 ± 17.9854.60 ± 18.68F = 0.420.736
AST22.16 ± 7.3423.52 ± 26.2523.61 ± 9.1523.78 ± 14.54F = 0.190.902
ALT22.07 ± 13.3329.38 ± 55.1627.47 ± 18.3527.73 ± 23.93F = 0.880.453
ALP75.24 ± 35.5275.57 ± 23.0474.70 ± 17.4483.76 ± 42.89F = 1.470.222
LDH175.75 ± 46.90167.67 ± 45.76173.61 ± 40.56179.49 ± 51.28F = 0.930.428
GGT27.34 ± 25.4136.67 ± 50.4237.54 ± 39.9254.94 ± 146.71F = 1.630.182
5-NT5.66 ± 4.426.24 ± 5.186.39 ± 4.826.94 ± 7.87F = 0.670.571
GPDA70.79 ± 20.3765.42 ± 25.2272.53 ± 23.0374.70 ± 28.84F = 2.110.099
ADA13.85 ± 7.5115.42 ± 14.5116.90 ± 18.8813.91 ± 9.46F = 0.930.426
MAO4.71 ± 2.504.78 ± 2.005.30 ± 2.585.12 ± 2.72F = 1.020.385
NSE2.07 ± 1.302.64 ± 1.612.88 ± 2.082.88 ± 2.51F = 3.550.015a
CEA1.13 ± 0.791.57 ± 2.221.36 ± 1.071.58 ± 1.43F = 1.910.127
AFP1.28 ± 1.131.94 ± 2.912.01 ± 2.121.71 ± 1.76F = 2.290.078
Tumor stage (%)-0.838
    I0000
    II5.066.104.945.13
    III54.4354.8854.3242.31
    IVa36.7134.1535.8043.59
    IVb3.804.884.948.97
Gender (%)χ² = 44.94< 0.001a
    Male41.7676.9282.4276.92
    Female58.2423.0817.5823.08
3-year survivors (%)χ² = 34.13< 0.001a
    Death3.3029.6731.8738.46
    Survival96.7070.3368.1361.54
5-year survivors (%)χ² = 97.78< 0.001a
    Death8.7962.6457.1478.02
    Survival91.2137.3642.8621.98

Correlation analysis showed that survival time, age, TSGF, AST, ALT, ALP, LDH, GGT, 5-NT, GPDA, ADA, MAO, NSE, and CEA levels were positively correlated with the Ferritin index. However, the 5-year survival rate, sex, TAM, and AFP levels were negatively correlated with the Ferritin index. We observed a positive correlation for age (r = 0.124, P = 0.018) and GGT (r = 0.116, P = 0.038). In contrast, both the 5-year survival rate (r = -0.452, P < 0.001) and sex (r = -0.270, P < 0.001) showed significant negative correlations (Figure 2).

Figure 2
Figure 2 Correlation scatter plots stratified by Ferritin index quartiles. A: Survival; B: Survival time; C: Gender; D: Aspartate aminotransferase; E: Tumor-associated material; F: Tumor-supplied group of factor; G: Age; H: Alanine aminotransferase; I: Alkaline phosphatase; J: Lactate dehydrogenase; K: Gamma-glutamyl transferase; L: 5'-Nucleotidase; M: Glycyl-proline-dipeptidyl aminopeptidase; N: Adenosine deaminase; O: Monoamine oxidase; P: Neuron-specific enolase; Q: Carcinoembryonic antigen; R: Alpha-fetoprotein. Abscissa: Ferritin quartile 1 (1.89-83.13); Ferritin quartile 2 (83.18-129.21); Ferritin quartile 3 (130.65-175.25); Ferritin quartile 4 (175.68-378.29). R, Pearson correlation coefficient. AST: Aspartate aminotransferase; TAM: Tumor-associated material; TSGF: Tumor-supplied group of factor; ALT: Alanine aminotransferase; ALP: Alkaline phosphatase; LDH: Lactate dehydrogenase; GGT: Gamma-glutamyl transferase; 5-NT: 5'-Nucleotidase; GPDA: Glycyl-proline-dipeptidyl aminopeptidase; ADA: Adenosine deaminase; MAO: Monoamine oxidase; NSE: Neuron-specific enolase; CEA: Carcinoembryonic antigen; AFP: Alpha-fetoprotein.
Association of the Ferritin index with mortality risk

Three Cox regression models were formulated to explore the independent association of the Ferritin index with 3- and 5-year mortality risk. The Ferritin index had a significant positive association with 5-year mortality risk (HR = 0.99, 95%CI: 0.99-0.99) in Model 1 (Table 4). This positive association persisted in Model 2 (HR = 0.99, 95%CI: 0.99-0.99). In the fully adjusted Model 3, the Ferritin index remained positively associated with 5-year mortality risk (HR = 1.03, 95%CI: 1.01-1.05). Similar results were obtained when the participants were categorized into quartiles based on the Ferritin index: Q1 (1.89-83.13), Q2 (83.18-129.21), Q3 (130.65-175.25), and Q4 (175.68-378.29). In Models 1 and 2, patients in the Q2 group had a higher 5-year mortality risk (Model 1: 0.27, 95%CI: 0.18-0.40; Model 2: 0.18, 95%CI: 0.10-0.31); compared with those in the lowest quartile, patients in the highest Ferritin index quartile had a higher 5-year mortality risk (Model 1: 0.21, 95%CI: 0.13-0.34; Model 2: 0.16, 95%CI: 0.08-0.30). In the fully adjusted Model 3, the HR (95%CI) for 5-year mortality risk in the Q2-Q4 groups was 0.01 (0.0-0.02), 0.02 (0.01-0.05), and 19.19 (6.15-59.88), respectively. The logistic regression analysis results are shown in Supplementary Tables 3-5.

Table 4 Association between Ferritin index related indicators and 5-year mortality (Cox regression).
VariableModel 1
Model 2
Model 3
HR (95%CI)
P value
HR (95%CI)
P value
HR (95%CI)
P value
Continuous Ferritin value0.99 (0.99-0.99)< 0.001a0.99 (0.99-0.99)< 0.001a1.03 (1.01-1.05)0.046a
Ferritin quartile
    11.00 (reference)1.00 (reference)1.00 (reference)
    20.27 (0.18-0.40)< 0.001a0.18 (0.10-0.31)< 0.001a0.01 (0.00-0.02)< 0.001a
    30.36 (0.24-0.52)< 0.001a0.32 (0.19-0.54)< 0.001a0.02 (0.01-0.05)< 0.001a
    40.21 (0.13-0.34)< 0.001a0.16 (0.08-0.30)< 0.001a19.19 (6.15-59.88)< 0.001a

Cox proportional hazards analysis demonstrated that the Ferritin index was significantly associated with the 3-year mortality risk (Table 5). This association was observed in both the unadjusted model (HR = 0.99; 95%CI: 0.99-0.99) and the fully adjusted model (HR = 1.03; 95%CI: 1.02-1.03). The Q4 Ferritin index group was significantly associated with 3-year mortality risk in both the unadjusted model (HR = 0.05; 95%CI: 0.39-0.77) and the fully adjusted model (Model 2: HR = 0.58; 95%CI: 0.37-0.91; Model 3: HR = 399.19; 95%CI: 175.20-175.20). In the fully adjusted Model 3, the HR (95%CI) for 3-year mortality risk in the Q2 and Q3 groups was 0.25 (0.11-0.60) and 0.58 (0.27-1.22), respectively.

Table 5 Association of Ferritin index-related indicator with 3-year mortality (Cox regression).
VariableModel 1
Model 2
Model 3
HR (95%CI)
P value
HR (95%CI)
P value
HR (95%CI)
P value
Continuous Ferritin value0.99 (0.99-0.99)< 0.001a1.00 (1.00-1.00)0.0581.03 (1.02-1.03)< 0.001a
Ferritin quartile
    11.00 (reference)1.00 (reference)1.00 (reference)
    20.49 (0.35-0.67)< 0.001a0.42 (0.27-0.65)< 0.001a0.25 (0.11-0.60)0.002a
    30.54 (0.39-0.76)< 0.001a0.60 (0.39-0.92)0.019a0.58 (0.27-1.22)0.151
    40.55 (0.39-0.77)< 0.001a0.58 (0.37-0.91)0.018a399.19 (175.20-909.51)< 0.001a

The P value for trend (0.151) for 3-year mortality was not significant in the fully adjusted Model 3, which suggests a nonlinear relationship between the Ferritin index and 3-year mortality. To confirm the association between the Ferritin index and 3-year mortality risk, we used RCS analysis to evaluate the nonlinear associations of Ferritin-related indices with 3- and 5-year mortality. There was a small, flat, S-shaped association between the Ferritin index and 3-year mortality (Figure 3). The RCS plot revealed a nonlinear association between the Ferritin index and 3-year mortality (P for nonlinear = 0.005, P for overall < 0.001) (Figure 3A). The adjusted RCS plot also revealed a nonlinear association between the Ferritin index and 3-year mortality (P for nonlinear = 0.005, P for overall = 0.001) (Figure 3B).

Figure 3
Figure 3 Restricted cubic spline analysis of association between the Ferritin index and nasopharyngeal carcinoma mortality. A: Univariable analysis for 3-year mortality; B: Multivariable analysis for 3-year mortality after adjusting covariates.

We next assessed the association between the Ferritin index and mortality using Cox proportional hazards regression models (Figure 4). NPC patients in the Q1 and Q3 groups had the highest 5-year mortality risk. Patients in the Q4 group had the lowest 5-year mortality risk (HR = 0.0, 95%CI: 0.0-Inf), and Q2 had an effect on the 5-year mortality. For 3-year mortality, patients in the Q1 (HR = 1.22, 95%CI: 0.79-1.88), Q2 (HR = 1.30, 95%CI: 0.71-2.37), and Q3 (HR = 1.77, 95%CI: 0.97-3.23) groups had higher risks. Patients in the Q4 group had the lowest risk of 5-year mortality (HR = 0.50, 95%CI: 0.23-1.05). The forest map analysis is shown in Supplementary Tables 6 and 7.

Figure 4
Figure 4 Forest plots showing association between the Ferritin index and mortality in nasopharyngeal carcinoma patients. A: Univariable analysis for 5-year mortality; B: Univariable analysis for 3-year mortality. HR: Hazard ratio.

Kaplan-Meier curves revealed that NPC patients in the Q4 group exhibited the highest 5-year survival (Figure 5A), with a median of 96 months. Patients in the Q1 group had a median survival time of only 51 months. Patients in the Q4 group also had the highest 3-year survival (Figure 5B), with a median of 78 months. The differences in mortality rates among different quartile groups were significant (P < 0.001).

Figure 5
Figure 5 Kaplan-Meier survival analysis for mortality in nasopharyngeal carcinoma patients according to the Ferritin index. A: 5-year mortality; B: 3-year mortality.
ROC curve analysis of predictive model based on Ferritin index quartiles

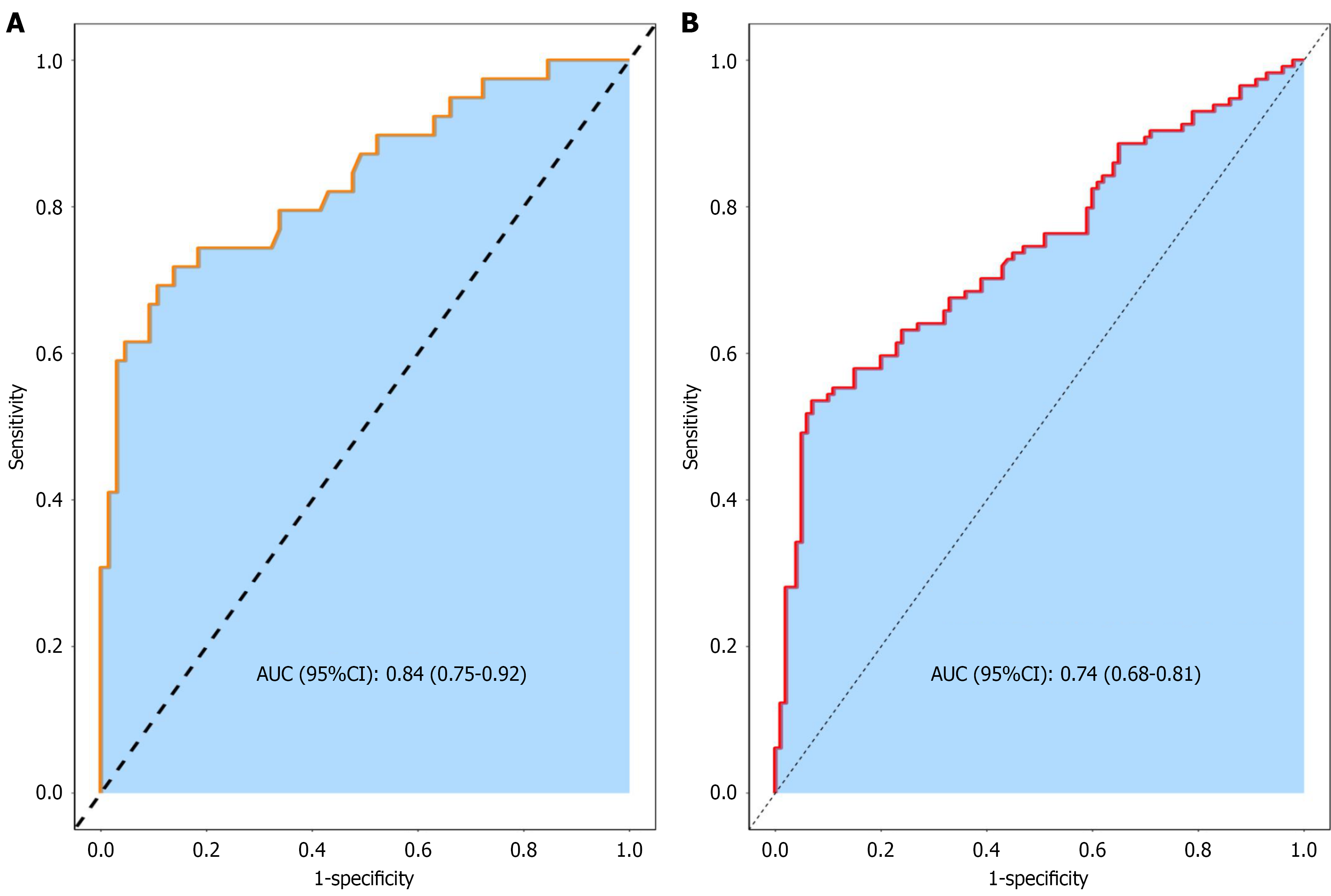
The Ferritin index predicted 5-year mortality in both the training [area under the curve (AUC) = 0.84, 95%CI: 0.75-0.92] and validation sets (AUC = 0.74, 95%CI: 0.68-0.81) (Figure 6). The results showed that the Ferritin index had significant predictive value in the basic risk model for NPC patients.

Figure 6
Figure 6 Receiver operating characteristic curves of the Ferritin index as a marker to predict 5-year mortality. A: Training set; B: Validation set. AUC: Area under the curve.

We constructed a nomogram for predicting 5-year mortality in NPC patients according to Ferritin index quartiles, based on the logistic regression analysis of age, sex, tumor stage, and laboratory results (Figure 7). The total score was calculated by summing the points assigned to the first row of each corresponding variable, which could intuitively determine the estimated 5-year mortality risk. The higher the score, the worse the predicted prognosis. Among the predictive variables of the model, only MAO was significant in the logistic regression analysis. The Q1 Ferritin index was associated with the highest risk of 5-year mortality, whereas Q4 had the lowest risk. As MAO increased, the risk of 5-year mortality also increased.

Figure 7
Figure 7 Nomogram for predicting 5-year mortality in nasopharyngeal carcinoma patients according to Ferritin index quartiles. MAO: Monoamine oxidase.

The bootstrap method (β = 1000) was then used to verify the predictive model internally. The predicted survival rate was taken as the horizontal coordinate and the actual survival rate was taken as the vertical coordinate (Figure 8). The Hosmer-Lemeshow P value showed good model calibration in both the training (P = 0.907) and validation sets (P = 0.295).

Figure 8
Figure 8 Calibration curves of the Ferritin index as a marker to predict 5-year mortality. A: Training set; B: Validation set.

According to the DCA, when the threshold probability was > 0.05, the model yielded a positive net benefit over a threshold probability range of > 5% (Figure 9), suggesting that the model had high clinical application value. These predictions were confirmed by the simulation results.

Figure 9
Figure 9 Decision curve analysis curves of the Ferritin index to predict 5-year mortality. A: Training set; B: Validation set.
DISCUSSION

This study analyzed the association of Ferritin, TAM, TSGF, NSE, CEA, AFP, AST, ALT, ALP, LDH, GGT, 5-NT, GPDA, ADA, and MAO with 5-year mortality in NPC patients. Ferritin, LDH, and CEA levels were significantly different between NPC survivors and non-survivors. We then investigated the association between the Ferritin index and all-cause mortality in NPC patients. The Ferritin index was a continuous variable that was significantly associated with 5-year mortality risk and prognosis of NPC patients. When the Ferritin index was considered as a nominal variable, NPC patients with a higher Ferritin index tended to have a lower 5-year mortality and longer survival time. Thus, the Ferritin index appears to be a promising index for prevention and risk stratification in patients with NPC.

We evaluated the predictive value of the Ferritin index using Cox regression and ROC curve analyses based on a logistic regression model. The simulation results subsequently confirmed these findings. The Ferritin index significantly enhanced the predictive performance of the basic risk model for 5-year mortality, demonstrating considerable value for clinical application in the diagnosis, treatment, and prognosis of patients with NPC.

NPC is a common malignant tumor of the head and neck. Radiotherapy is the most commonly used treatment for this malignancy[21]. Different chemotherapy regimens have varying effects on the prognosis of NPC patients[22]. Our results revealed that the therapeutic regimens of NF, TN, and TP exhibited a more pronounced treatment effect among NPC survivors compared to non-survivors, suggesting that these regimens had a positive effect on the prognosis of NPC patients. In the latest randomized phase 3 clinical trial, the TP regimen showed antitumor efficacy and a favorable safety profile in patients with recurrent or metastatic NPC[23]. Therefore, the TP regimen should be considered as the standard first-line treatment for patients with recurrent or metastatic NPC. A 5-year follow-up analysis of a randomized clinical trial demonstrated that nedaplatin-based CCRT significantly decreased the overall rate of late toxic effects[24]. Some reports have indicated that adjuvant chemotherapy in locally advanced NPC is associated with improved treatment response, extended OS and disease-free survival, and better quality of life[25]. Additionally, a network meta-analysis and cost-effectiveness analysis based on data from 10 clinical trials was performed to investigate chemoradiotherapy regimens for locoregionally advanced NPC. The TP regimen showed superior efficacy compared to others, and has emerged as a cost-effective option[12]. The TP regimen combined with immunotherapy has also shown encouraging results. After neoadjuvant therapy, tislelizumab combined with TP resulted in an increase in complete response rate of approximately 24.4% and a 3-year PFS increase of approximately 14.3%[26]. In a multicenter phase 3 trial of patients with advanced NPC, the addition of sintilimab (PD-1 inhibitor) to gemcitabine and cisplatin induction chemotherapy significantly improved event-free survival, with a significant reduction in the risk of distant metastasis and locoregional recurrence[27]. The 3-year PFS showed an increasing trend, suggesting that CCRT combined with nimotuzumab after neoadjuvant chemotherapy can reduce distant metastasis in locally advanced NPC and may be beneficial for PFS and OS[28]. With the discovery of new immune checkpoint targets, innovative genetic testing technology, and driver mutations in NPC, it is time to adopt a more systematic approach for new treatment development. This study discovered that NF, TN, and TP regimens for NPC contribute to the prognosis of patients with NPC.

The predictive model used in this study has been validated in several previous studies. This model demonstrated an area under the ROC curve of 0.874 (training set) and 0.876 (testing set) for patients with non-small-cell lung cancer (NSCLC). Survival analysis revealed that adjuvant chemotherapy significantly improved survival in the low-risk group[29]. Another retrospective study performed univariate and multivariate analyses to identify independent prognostic factors and to construct a nomogram for postoperative survival and disease progression in operable NSCLC patients[30]. The nomogram based on independent prognostic indices showed superior survival prediction efficacy, with C-indices of 0.733 and 0.759 in the training and validation cohorts, respectively. The nomogram showed superior calibration curves and powerful prognostic discriminative ability in predicting the OS of patients with extranodal natural killer/T-cell lymphoma, demonstrating the practical advantages of the nomogram in clinical applicability[31]. Furthermore, nomogram models for patients with pancreatic cancer showed that the AUCs were 0.77, 0.79, and 0.79, respectively, for the training cohort; 0.79, 0.82, and 0.81 for the internal validation cohort; and 0.73, 0.93, and 0.88 for the external validation cohort. The calibration curves showed that the predictive probability of the model was in good agreement with the actual observations, and the DCA curve showed a high net return[32]. Another study on anaplastic thyroid cancer confirmed the good performance of the model. In the training set, the AUC values were 0.767 (3-month), 0.789 (6-month), and 0.795 (8-month). Corresponding values in the validation set were 0.753 (3-month), 0.798 (6-month), and 0.806 (8-month). The calibration curves demonstrated the excellent applicability and accuracy of the model[33].

In this research, three Cox regression models were formulated to explore the independent association of the Ferritin index with 3- and 5-year mortality risk. To investigate the nonlinear relationships, we used RCS analysis to model the associations of ferritin-related indices with 3- and 5-year mortality. The results showed that there was a nonlinear relationship between the Ferritin index and 3-year mortality. We assessed the association between the Ferritin index and mortality using Cox proportional hazards regression models. NPC patients in the Q1 and Q3 groups had the higher risk of 5-year mortality. For 3-year mortality, NPC patients in the Q1, Q2, and Q3 groups had a higher mortality risk. The Kaplan-Meier curves revealed that the Q4 group had the highest survival at 5 years (median 96 months) and 3 years (median 78 months). Finally, all NPC patients were randomly divided into training and validation sets in a 3:7 ratio. ROC, DCA, and calibration curves were plotted for both the training and validation sets. The Ferritin index significantly improved the predictive performance of the basic risk model in NPC patients. And nomogram results revealed that the Q1 group had the highest risk of 5-year mortality, whereas the Q4 group had the lowest risk. The Hosmer-Lemeshow P value showed good model calibration between the training (P = 0.907) and validation sets (P = 0.295). When the threshold probability was > 0.05, it was positively correlated with the net benefit level of the model. In summary, the DCA curves indicated a substantial clinical benefit of the model, and the Kaplan–Meier curves confirmed the excellent stratification of OS by the model. This model can be used to effectively evaluate the diagnosis and prognosis of patients with NPC, demonstrating good clinical value.

Ferritin is the main intracellular iron storage protein and a biomarker of iron storage and inflammation. Serum Ferritin levels are associated with hepatic lipid accumulation[34], insulin resistance[35,36], and metabolic dysfunction[37,38] even in the absence of inflammation. Iron reduction is associated with a lower cancer risk and mortality in patients with peripheral arterial vascular disease[39]. Hence, a high Ferritin index is associated with a high risk of cancer. These results are similar to our findings on the Ferritin index based on Cox regression. Increased Ferritin levels may induce hepatic iron deposition in liver macrophages and stellate cells, resulting in hepatocellular damage and steatosis[14]. Elevated serum iron levels may also promote oxidative stress through free radical production in the liver[40]. Mechanisms are postulated to involve reactive oxygen species, inflammatory cytokines, lipid oxidation, and oxidative stress[41]. Patients treated for cancer are at risk of iron-related adverse effects as a consequence of transfusion therapy administered during prolonged marrow suppression; > 80% had extrahepatic iron loading[42]. Ferritin may be an important index for determining the occurrence and development of NPC and may play a crucial role in the clinical diagnosis and treatment outcomes of NPC.

Ferritin is metabolized in the liver[43,44]; however, this study did not investigate the relationship between basic liver functions, such as AST and ALT, and the 5-year survival of NPC patients, nor did it probe the relationship between Ferritin and liver function in NPC patients. In this study, AST, ALT, and Ferritin levels were negatively correlated, warranting further in-depth analysis. Finally, the specific molecular mechanism by which Ferritin affects NPC should be further investigated. The biological behavior and turnover mechanisms of Ferritin in NPC patients are not yet fully defined; therefore, comprehensive studies are needed to elucidate these processes.

CONCLUSION

In this study, analysis of large sample data with long-term follow-up showed that chemotherapy regimens of NF, TN, and TP can improve the survival and prognosis of patients with NPC. The results also identified the Ferritin index as the most discriminative biomarker in the 5-year follow-up data of NPC patients. In addition, Cox regression and ROC curve analyses based on the logistic regression prediction model, along with DCA curves in both the training and validation sets, showed that the Ferritin index could significantly optimize the predictive performance of the basic risk model for 5-year mortality. These findings have significant clinical implications in the development of novel biomarkers for NPC diagnosis and prognosis. However, this study only extracted data from NPC patients at a single center, which limits its generalizability compared to high-quality retrospective studies. Future work should incorporate statistical analyses of the Ferritin index from multi-center NPC cohorts. Moreover, there is only one prediction model in this study. Moreover, as only one prediction model was developed in this study, future efforts should employ new machine learning models to explore the relationship between the Ferritin index and survival outcomes in NPC. Additional validation models should also be applied to verify the reliability and effectiveness of Ferritin-based clinical prediction models, thereby providing data support for larger-scale multi-center clinical studies and broader application.

ACKNOWLEDGEMENTS

We thank the members of the Information Center at Hunan Cancer Hospital for providing us with the information services. We are grateful to the doctors in the Department of Head and Neck Oncology for providing NPC patient data.

References
1.  Lee CY, Wang TH, Kao YS. Chemotherapy, Radiation Therapy, and Nasopharyngeal Carcinoma. JAMA Oncol. 2024;10:1292-1293.  [RCA]  [PubMed]  [DOI]  [Full Text]  [Cited by in RCA: 3]  [Reference Citation Analysis (0)]
2.  Bray F, Laversanne M, Sung H, Ferlay J, Siegel RL, Soerjomataram I, Jemal A. Global cancer statistics 2022: GLOBOCAN estimates of incidence and mortality worldwide for 36 cancers in 185 countries. CA Cancer J Clin. 2024;74:229-263.  [RCA]  [PubMed]  [DOI]  [Full Text]  [Cited by in Crossref: 16785]  [Cited by in RCA: 14546]  [Article Influence: 7273.0]  [Reference Citation Analysis (18)]
3.  Han B, Zheng R, Zeng H, Wang S, Sun K, Chen R, Li L, Wei W, He J. Cancer incidence and mortality in China, 2022. J Natl Cancer Cent. 2024;4:47-53.  [RCA]  [PubMed]  [DOI]  [Full Text]  [Full Text (PDF)]  [Cited by in Crossref: 1395]  [Cited by in RCA: 1403]  [Article Influence: 701.5]  [Reference Citation Analysis (1)]
4.  Zeng H, Zheng R, Sun K, Zhou M, Wang S, Li L, Chen R, Han B, Liu M, Zhou J, Xu M, Wang L, Yin P, Wang B, You J, Wu J, Wei W, He J. Cancer survival statistics in China 2019-2021: a multicenter, population-based study. J Natl Cancer Cent. 2024;4:203-213.  [RCA]  [PubMed]  [DOI]  [Full Text]  [Full Text (PDF)]  [Cited by in RCA: 104]  [Reference Citation Analysis (4)]
5.  Mao YP, Xie FY, Liu LZ, Sun Y, Li L, Tang LL, Liao XB, Xu HY, Chen L, Lai SZ, Lin AH, Liu MZ, Ma J. Re-evaluation of 6th edition of AJCC staging system for nasopharyngeal carcinoma and proposed improvement based on magnetic resonance imaging. Int J Radiat Oncol Biol Phys. 2009;73:1326-1334.  [RCA]  [PubMed]  [DOI]  [Full Text]  [Cited by in Crossref: 179]  [Cited by in RCA: 240]  [Article Influence: 14.1]  [Reference Citation Analysis (0)]
6.  Pfister DG, Spencer S, Adelstein D, Adkins D, Anzai Y, Brizel DM, Bruce JY, Busse PM, Caudell JJ, Cmelak AJ, Colevas AD, Eisele DW, Fenton M, Foote RL, Galloway T, Gillison ML, Haddad RI, Hicks WL, Hitchcock YJ, Jimeno A, Leizman D, Maghami E, Mell LK, Mittal BB, Pinto HA, Ridge JA, Rocco JW, Rodriguez CP, Shah JP, Weber RS, Weinstein G, Witek M, Worden F, Yom SS, Zhen W, Burns JL, Darlow SD. Head and Neck Cancers, Version 2.2020, NCCN Clinical Practice Guidelines in Oncology. J Natl Compr Canc Netw. 2020;18:873-898.  [RCA]  [PubMed]  [DOI]  [Full Text]  [Cited by in Crossref: 292]  [Cited by in RCA: 841]  [Article Influence: 140.2]  [Reference Citation Analysis (0)]
7.  Chen YP, Tang LL, Yang Q, Poh SS, Hui EP, Chan ATC, Ong WS, Tan T, Wee J, Li WF, Chen L, Ma BBY, Tong M, Tan SH, Cheah SL, Fong KW, Sommat K, Soong YL, Guo Y, Lin AH, Sun Y, Hong MH, Cao SM, Chen MY, Ma J. Induction Chemotherapy plus Concurrent Chemoradiotherapy in Endemic Nasopharyngeal Carcinoma: Individual Patient Data Pooled Analysis of Four Randomized Trials. Clin Cancer Res. 2018;24:1824-1833.  [RCA]  [PubMed]  [DOI]  [Full Text]  [Cited by in Crossref: 122]  [Cited by in RCA: 129]  [Article Influence: 16.1]  [Reference Citation Analysis (0)]
8.  Hui EP, Ma BB, Leung SF, King AD, Mo F, Kam MK, Yu BK, Chiu SK, Kwan WH, Ho R, Chan I, Ahuja AT, Zee BC, Chan AT. Randomized phase II trial of concurrent cisplatin-radiotherapy with or without neoadjuvant docetaxel and cisplatin in advanced nasopharyngeal carcinoma. J Clin Oncol. 2009;27:242-249.  [RCA]  [PubMed]  [DOI]  [Full Text]  [Cited by in Crossref: 377]  [Cited by in RCA: 420]  [Article Influence: 23.3]  [Reference Citation Analysis (0)]
9.  Kong L, Hu C, Niu X, Zhang Y, Guo Y, Tham IW, Lu JJ. Neoadjuvant chemotherapy followed by concurrent chemoradiation for locoregionally advanced nasopharyngeal carcinoma: interim results from 2 prospective phase 2 clinical trials. Cancer. 2013;119:4111-4118.  [RCA]  [PubMed]  [DOI]  [Full Text]  [Cited by in Crossref: 44]  [Cited by in RCA: 52]  [Article Influence: 4.0]  [Reference Citation Analysis (0)]
10.  Kong L, Zhang Y, Hu C, Guo Y, Lu JJ. Effects of induction docetaxel, platinum, and fluorouracil chemotherapy in patients with stage III or IVA/B nasopharyngeal cancer treated with concurrent chemoradiation therapy: Final results of 2 parallel phase 2 clinical trials. Cancer. 2017;123:2258-2267.  [RCA]  [PubMed]  [DOI]  [Full Text]  [Cited by in Crossref: 27]  [Cited by in RCA: 34]  [Article Influence: 3.8]  [Reference Citation Analysis (0)]
11.  Yang Q, Cao SM, Guo L, Hua YJ, Huang PY, Zhang XL, Lin M, You R, Zou X, Liu YP, Xie YL, Wang ZQ, Mai HQ, Chen QY, Tang LQ, Mo HY, Cao KJ, Qian CN, Zhao C, Xiang YQ, Zhang XP, Lin ZX, Li WX, Liu Q, Li JB, Ling L, Guo X, Hong MH, Chen MY. Induction chemotherapy followed by concurrent chemoradiotherapy versus concurrent chemoradiotherapy alone in locoregionally advanced nasopharyngeal carcinoma: long-term results of a phase III multicentre randomised controlled trial. Eur J Cancer. 2019;119:87-96.  [RCA]  [PubMed]  [DOI]  [Full Text]  [Cited by in Crossref: 107]  [Cited by in RCA: 174]  [Article Influence: 24.9]  [Reference Citation Analysis (0)]
12.  Xu W, Qiu L, Li F, Fei Y, Wei Q, Shi K, Zhu Y, Luo J, Wu M, Yuan J, Liu H, Mao J, Cao Y, Zhou S, Guan X. Induction chemotherapy regimes in first-line treatment for locoregionally advanced nasopharyngeal carcinoma: A network meta-analysis and cost-effectiveness analysis. Oral Oncol. 2024;154:106865.  [RCA]  [PubMed]  [DOI]  [Full Text]  [Cited by in Crossref: 8]  [Cited by in RCA: 9]  [Article Influence: 4.5]  [Reference Citation Analysis (0)]
13.  Valenti L, Corradini E, Adams LA, Aigner E, Alqahtani S, Arrese M, Bardou-Jacquet E, Bugianesi E, Fernandez-Real JM, Girelli D, Hagström H, Henninger B, Kowdley K, Ligabue G, McClain D, Lainé F, Miyanishi K, Muckenthaler MU, Pagani A, Pedrotti P, Pietrangelo A, Prati D, Ryan JD, Silvestri L, Spearman CW, Stål P, Tsochatzis EA, Vinchi F, Zheng MH, Zoller H. Consensus Statement on the definition and classification of metabolic hyperferritinaemia. Nat Rev Endocrinol. 2023;19:299-310.  [RCA]  [PubMed]  [DOI]  [Full Text]  [Full Text (PDF)]  [Cited by in Crossref: 68]  [Cited by in RCA: 69]  [Article Influence: 23.0]  [Reference Citation Analysis (0)]
14.  Rafiq M, Renzi C, White B, Zakkak N, Nicholson B, Lyratzopoulos G, Barclay M. Predictive value of abnormal blood tests for detecting cancer in primary care patients with nonspecific abdominal symptoms: A population-based cohort study of 477,870 patients in England. PLoS Med. 2024;21:e1004426.  [RCA]  [PubMed]  [DOI]  [Full Text]  [Cited by in RCA: 5]  [Reference Citation Analysis (1)]
15.  Chung CH, Lin CY, Chen CY, Hsueh CW, Chang YW, Wang CC, Chu PY, Tai SK, Yang MH. Ferroptosis Signature Shapes the Immune Profiles to Enhance the Response to Immune Checkpoint Inhibitors in Head and Neck Cancer. Adv Sci (Weinh). 2023;10:e2204514.  [RCA]  [PubMed]  [DOI]  [Full Text]  [Cited by in RCA: 61]  [Reference Citation Analysis (0)]
16.  Jehl A, Conrad O, Burgy M, Foppolo S, Vauchelles R, Ronzani C, Etienne-Selloum N, Chenard MP, Danic A, Dourlhes T, Thibault C, Schultz P, Dontenwill M, Martin S. Blocking EREG/GPX4 Sensitizes Head and Neck Cancer to Cetuximab through Ferroptosis Induction. Cells. 2023;12:733.  [RCA]  [PubMed]  [DOI]  [Full Text]  [Cited by in RCA: 26]  [Reference Citation Analysis (0)]
17.  Lee J, You JH, Kim MS, Roh JL. Epigenetic reprogramming of epithelial-mesenchymal transition promotes ferroptosis of head and neck cancer. Redox Biol. 2020;37:101697.  [RCA]  [PubMed]  [DOI]  [Full Text]  [Full Text (PDF)]  [Cited by in Crossref: 189]  [Cited by in RCA: 176]  [Article Influence: 29.3]  [Reference Citation Analysis (0)]
18.  Chen Z, Liang Z, Chen K, Zhang S, Huang X, Wu G, Zhu X. Serum ferritin predicted prognosis in patients with nasopharyngeal carcinoma. Sci Rep. 2024;14:4311.  [RCA]  [PubMed]  [DOI]  [Full Text]  [Cited by in RCA: 1]  [Reference Citation Analysis (0)]
19.  Shen DS, Yan C, Chen KH, Li L, Qu S, Zhu XD. A Nomogram Based on Circulating CD4(+) T Lymphocytes and Lactate Dehydrogenase to Predict Distant Metastasis in Patients with Nasopharyngeal Carcinoma. J Inflamm Res. 2021;14:6707-6718.  [RCA]  [PubMed]  [DOI]  [Full Text]  [Full Text (PDF)]  [Cited by in Crossref: 1]  [Cited by in RCA: 7]  [Article Influence: 1.4]  [Reference Citation Analysis (0)]
20.  Potarin W, Khiewkhern S, Somdee T, Srichompoo C, Sombateyotha K, Ruetrakul J, Nghiep LK, Tudpor K. Factors Influencing Pressure Injury Development and Survival Duration in Adults Admitted to the ICU: A Retrospective Cohort Study Following the STROBE Guidelines. Healthcare (Basel). 2025;13:1411.  [RCA]  [PubMed]  [DOI]  [Full Text]  [Full Text (PDF)]  [Cited by in RCA: 1]  [Reference Citation Analysis (0)]
21.  Chen YP, Chan ATC, Le QT, Blanchard P, Sun Y, Ma J. Nasopharyngeal carcinoma. Lancet. 2019;394:64-80.  [RCA]  [PubMed]  [DOI]  [Full Text]  [Cited by in Crossref: 1109]  [Cited by in RCA: 2325]  [Article Influence: 332.1]  [Reference Citation Analysis (1)]
22.  Poh SS, Soong YL, Sommat K, Lim CM, Fong KW, Tan TW, Chua ML, Wang FQ, Hu J, Wee JT. Retreatment in locally recurrent nasopharyngeal carcinoma: Current status and perspectives. Cancer Commun (Lond). 2021;41:361-370.  [RCA]  [PubMed]  [DOI]  [Full Text]  [Full Text (PDF)]  [Cited by in Crossref: 7]  [Cited by in RCA: 29]  [Article Influence: 5.8]  [Reference Citation Analysis (0)]
23.  Liu GY, Ye YF, Jiang YF, Chen GJ, Xia WX, Huang YS, Gao TS, Liu YM, Hou YT, Li JF, Liu JH, Lu N, Chen CL, Ke LR, Liang H, Bei WX, Li WZ, Dong SH, Liu Q, Xie C, Yao HR, Xiang YQ. Nab-paclitaxel, cisplatin, and capecitabine versus cisplatin and gemcitabine as first line chemotherapy in patients with recurrent or metastatic nasopharyngeal carcinoma: randomised phase 3 clinical trial. BMJ. 2024;385:e077890.  [RCA]  [PubMed]  [DOI]  [Full Text]  [Full Text (PDF)]  [Cited by in RCA: 12]  [Reference Citation Analysis (0)]
24.  Tang QN, Liu LT, Qi B, Guo SS, Luo DH, Sun R, Sun XS, Chen DP, Guo L, Mo HY, Wang P, Liu SL, Liang YJ, Li XY, Yang ZC, Chen QY, Mai HQ, Tang LQ. Effect of Concurrent Chemoradiotherapy With Nedaplatin vs Cisplatin on the Long-term Outcomes of Survival and Toxic Effects Among Patients With Stage II to IVB Nasopharyngeal Carcinoma: A 5-Year Follow-up Secondary Analysis of a Randomized Clinical Trial. JAMA Netw Open. 2021;4:e2138470.  [RCA]  [PubMed]  [DOI]  [Full Text]  [Full Text (PDF)]  [Cited by in Crossref: 18]  [Cited by in RCA: 21]  [Article Influence: 4.2]  [Reference Citation Analysis (0)]
25.  Liu Y, Li Y, Hou Y, Zhao Z, Wang G, Gao C, Sun Y, Li N, Jiang Y. The use of adjuvant chemotherapy combined with concurrent chemoradiotherapy enhances survival rates in cases of locally advanced nasopharyngeal carcinoma. Am J Cancer Res. 2024;14:3142-3152.  [RCA]  [PubMed]  [DOI]  [Full Text]  [Cited by in RCA: 2]  [Reference Citation Analysis (0)]
26.  He J, Luo G, Liu S, Chen L, Chen Z, Zhang B, Lin J, Qin W, Li H, Zhou H, Yu Y, Zhan D, Yang D, Luo H. Tislelizumab plus neoadjuvant chemotherapy and concurrent chemoradiotherapy versus neoadjuvant chemotherapy and concurrent chemoradiotherapy for locally advanced nasopharyngeal carcinoma: A retrospective study. Transl Oncol. 2024;48:102058.  [RCA]  [PubMed]  [DOI]  [Full Text]  [Full Text (PDF)]  [Cited by in RCA: 7]  [Reference Citation Analysis (0)]
27.  Liu X, Zhang Y, Yang KY, Zhang N, Jin F, Zou GR, Zhu XD, Xie FY, Liang XY, Li WF, He ZY, Chen NY, Hu WH, Wu HJ, Shi M, Zhou GQ, Mao YP, Guo R, Sun R, Huang J, Liang SQ, Wu WL, Su Z, Li L, Ai P, He YX, Zang J, Chen L, Lin L, Huang SH, Xu C, Lv JW, Li YQ, Hong SB, Jie YS, Li H, Huang SW, Liang YL, Wang YQ, Peng YL, Zhu JH, Zang SB, Liu SR, Lin QG, Li HJ, Tian L, Liu LZ, Zhao HY, Lin AH, Li JB, Liu N, Tang LL, Chen YP, Sun Y, Ma J. Induction-concurrent chemoradiotherapy with or without sintilimab in patients with locoregionally advanced nasopharyngeal carcinoma in China (CONTINUUM): a multicentre, open-label, parallel-group, randomised, controlled, phase 3 trial. Lancet. 2024;403:2720-2731.  [RCA]  [PubMed]  [DOI]  [Full Text]  [Cited by in Crossref: 48]  [Cited by in RCA: 128]  [Article Influence: 64.0]  [Reference Citation Analysis (0)]
28.  Yang Z, Zuo Q, Liu R, Wu H, Xiong L, Jia J, Xiang Z. Neoadjuvant chemotherapy followed by concurrent chemoradiotherapy with or without nimotuzumab in the treatment of locally advanced nasopharyngeal carcinoma: a retrospective study. BMC Cancer. 2023;23:1140.  [RCA]  [PubMed]  [DOI]  [Full Text]  [Cited by in RCA: 7]  [Reference Citation Analysis (0)]
29.  Jiang Z, Li Q, Ruan J, Li Y, Zhang D, Xu Y, Liao Y, Zhang X, Gao D, Li Z. Machine Learning-Based Prediction of Pathological Responses and Prognosis After Neoadjuvant Chemotherapy for Non-Small-Cell Lung Cancer: A Retrospective Study. Clin Lung Cancer. 2024;25:468-478.e3.  [RCA]  [PubMed]  [DOI]  [Full Text]  [Cited by in RCA: 4]  [Reference Citation Analysis (0)]
30.  Ma S, Wang L. Prognostic factors and predictive model construction in patients with non-small cell lung cancer: a retrospective study. Front Oncol. 2024;14:1378135.  [RCA]  [PubMed]  [DOI]  [Full Text]  [Cited by in RCA: 4]  [Reference Citation Analysis (0)]
31.  He Y, Luo Z, Chen H, Ping L, Huang C, Gao Y, Huang H. A Nomogram Model Based on the Inflammation-Immunity-Nutrition Score (IINS) and Classic Clinical Indicators for Predicting Prognosis in Extranodal Natural Killer/T-Cell Lymphoma. J Inflamm Res. 2024;17:2089-2102.  [RCA]  [PubMed]  [DOI]  [Full Text]  [Full Text (PDF)]  [Cited by in RCA: 2]  [Reference Citation Analysis (0)]
32.  Dong X, Wang K, Yang H, Cheng R, Li Y, Hou Y, Chang J, Yuan L. The Nomogram predicting the overall survival of patients with pancreatic cancer treated with radiotherapy: a study based on the SEER database and a Chinese cohort. Front Endocrinol (Lausanne). 2023;14:1266318.  [RCA]  [PubMed]  [DOI]  [Full Text]  [Cited by in RCA: 5]  [Reference Citation Analysis (0)]
33.  Wang L, Rao Y, Lai P, Lv Y. Development of a novel dynamic nomogram for predicting overall survival in anaplastic thyroid cancer patients with distant metastasis: a population-based study based on the SEER database. Front Endocrinol (Lausanne). 2024;15:1375176.  [RCA]  [PubMed]  [DOI]  [Full Text]  [Cited by in RCA: 6]  [Reference Citation Analysis (0)]
34.  Valenti L, Swinkels DW, Burdick L, Dongiovanni P, Tjalsma H, Motta BM, Bertelli C, Fatta E, Bignamini D, Rametta R, Fargion S, Fracanzani AL. Serum ferritin levels are associated with vascular damage in patients with nonalcoholic fatty liver disease. Nutr Metab Cardiovasc Dis. 2011;21:568-575.  [RCA]  [PubMed]  [DOI]  [Full Text]  [Cited by in Crossref: 72]  [Cited by in RCA: 70]  [Article Influence: 4.7]  [Reference Citation Analysis (1)]
35.  Zheng X, Jiang T, Wu H, Zhu D, Wang L, Qi R, Li M, Ling C. Hepatic iron stores are increased as assessed by magnetic resonance imaging in a Chinese population with altered glucose homeostasis. Am J Clin Nutr. 2011;94:1012-1019.  [RCA]  [PubMed]  [DOI]  [Full Text]  [Cited by in Crossref: 28]  [Cited by in RCA: 34]  [Article Influence: 2.3]  [Reference Citation Analysis (0)]
36.  Wlazlo N, van Greevenbroek MM, Ferreira I, Jansen EH, Feskens EJ, van der Kallen CJ, Schalkwijk CG, Bravenboer B, Stehouwer CD. Iron metabolism is associated with adipocyte insulin resistance and plasma adiponectin: the Cohort on Diabetes and Atherosclerosis Maastricht (CODAM) study. Diabetes Care. 2013;36:309-315.  [RCA]  [PubMed]  [DOI]  [Full Text]  [Full Text (PDF)]  [Cited by in Crossref: 78]  [Cited by in RCA: 92]  [Article Influence: 7.1]  [Reference Citation Analysis (0)]
37.  Suárez-Ortegón MF, Ensaldo-Carrasco E, Shi T, McLachlan S, Fernández-Real JM, Wild SH. Ferritin, metabolic syndrome and its components: A systematic review and meta-analysis. Atherosclerosis. 2018;275:97-106.  [RCA]  [PubMed]  [DOI]  [Full Text]  [Cited by in Crossref: 32]  [Cited by in RCA: 58]  [Article Influence: 7.3]  [Reference Citation Analysis (0)]
38.  Yu L, Yan J, Zhang Q, Lin H, Zhu L, Liu Q, Zhao C. Association between Serum Ferritin and Blood Lipids: Influence of Diabetes and hs-CRP Levels. J Diabetes Res. 2020;2020:4138696.  [RCA]  [PubMed]  [DOI]  [Full Text]  [Full Text (PDF)]  [Cited by in Crossref: 12]  [Cited by in RCA: 20]  [Article Influence: 3.3]  [Reference Citation Analysis (0)]
39.  Zacharski LR, Chow BK, Howes PS, Shamayeva G, Baron JA, Dalman RL, Malenka DJ, Ozaki CK, Lavori PW. Decreased cancer risk after iron reduction in patients with peripheral arterial disease: results from a randomized trial. J Natl Cancer Inst. 2008;100:996-1002.  [RCA]  [PubMed]  [DOI]  [Full Text]  [Cited by in Crossref: 226]  [Cited by in RCA: 195]  [Article Influence: 10.8]  [Reference Citation Analysis (1)]
40.  Ruhl CE, Everhart JE. Relation of elevated serum alanine aminotransferase activity with iron and antioxidant levels in the United States. Gastroenterology. 2003;124:1821-1829.  [RCA]  [PubMed]  [DOI]  [Full Text]  [Cited by in Crossref: 83]  [Cited by in RCA: 76]  [Article Influence: 3.3]  [Reference Citation Analysis (0)]
41.  Fernandez M, Lokan J, Leung C, Grigg A. A critical evaluation of the role of iron overload in fatty liver disease. J Gastroenterol Hepatol. 2022;37:1873-1883.  [RCA]  [PubMed]  [DOI]  [Full Text]  [Cited by in RCA: 30]  [Reference Citation Analysis (0)]
42.  Baskin-Miller J, Carson S, Jaffray J, Fletcher C, Singer J, Freyer DR, Wood J, Coates TD, Denton CC. Transfusional hemosiderosis in childhood cancer patients and survivors. Pediatr Blood Cancer. 2024;71:e31220.  [RCA]  [PubMed]  [DOI]  [Full Text]  [Cited by in RCA: 3]  [Reference Citation Analysis (0)]
43.  Jézéquel C, Lainé F, Laviolle B, Kiani A, Bardou-Jacquet E, Deugnier Y. Both hepatic and body iron stores are increased in dysmetabolic iron overload syndrome. A case-control study. PLoS One. 2015;10:e0128530.  [RCA]  [PubMed]  [DOI]  [Full Text]  [Full Text (PDF)]  [Cited by in Crossref: 7]  [Cited by in RCA: 12]  [Article Influence: 1.1]  [Reference Citation Analysis (0)]
44.  Ryan JD, Armitage AE, Cobbold JF, Banerjee R, Borsani O, Dongiovanni P, Neubauer S, Morovat R, Wang LM, Pasricha SR, Fargion S, Collier J, Barnes E, Drakesmith H, Valenti L, Pavlides M. Hepatic iron is the major determinant of serum ferritin in NAFLD patients. Liver Int. 2018;38:164-173.  [RCA]  [PubMed]  [DOI]  [Full Text]  [Cited by in Crossref: 79]  [Cited by in RCA: 76]  [Article Influence: 9.5]  [Reference Citation Analysis (0)]
Footnotes

Provenance and peer review: Unsolicited article; Externally peer reviewed.

Peer-review model: Single blind

Specialty type: Oncology

Country of origin: China

Peer-review report’s classification

Scientific Quality: Grade C

Novelty: Grade C

Creativity or Innovation: Grade C

Scientific Significance: Grade B

Open Access: This article is an open-access article that was selected by an in-house editor and fully peer-reviewed by external reviewers. It is distributed in accordance with the Creative Commons Attribution NonCommercial (CC BY-NC 4.0) license, which permits others to distribute, remix, adapt, build upon this work non-commercially, and license their derivative works on different terms, provided the original work is properly cited and the use is non-commercial. See: https://creativecommons.org/Licenses/by-nc/4.0/

P-Reviewer: Salem Mahjoubi Y, MD, Tunisia S-Editor: Qu XL L-Editor: Wang TQ P-Editor: Xu ZH

Write to the Help Desk