Copyright: ©Author(s) 2026.
World J Gastrointest Oncol. Apr 15, 2026; 18(4): 115687
Published online Apr 15, 2026. doi: 10.4251/wjgo.v18.i4.115687
Published online Apr 15, 2026. doi: 10.4251/wjgo.v18.i4.115687
Figure 1 Receiver operating characteristic curve for neutrophil-to-lymphocyte ratio, platelet-to-lymphocyte ratio combined with carcinoembryonic antigen.
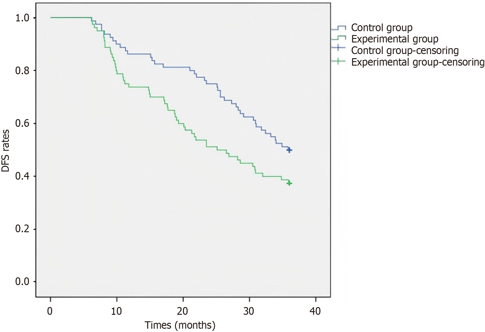
DFS: Disease-free survival.
- Citation: Wang T, Liu C, Jiang J. Clinical prediction of carcinoembryonic antigen combined with neutrophil-to-lymphocyte ratio and platelet-to-lymphocyte ratio for postoperative survival in colorectal cancer. World J Gastrointest Oncol 2026; 18(4): 115687
- URL: https://www.wjgnet.com/1948-5204/full/v18/i4/115687.htm
- DOI: https://dx.doi.org/10.4251/wjgo.v18.i4.115687
