Copyright
©The Author(s) 2025.
World J Gastroenterol. Nov 28, 2025; 31(44): 112576
Published online Nov 28, 2025. doi: 10.3748/wjg.v31.i44.112576
Published online Nov 28, 2025. doi: 10.3748/wjg.v31.i44.112576
Figure 1 Nomogram.
BMI: Body mass index.
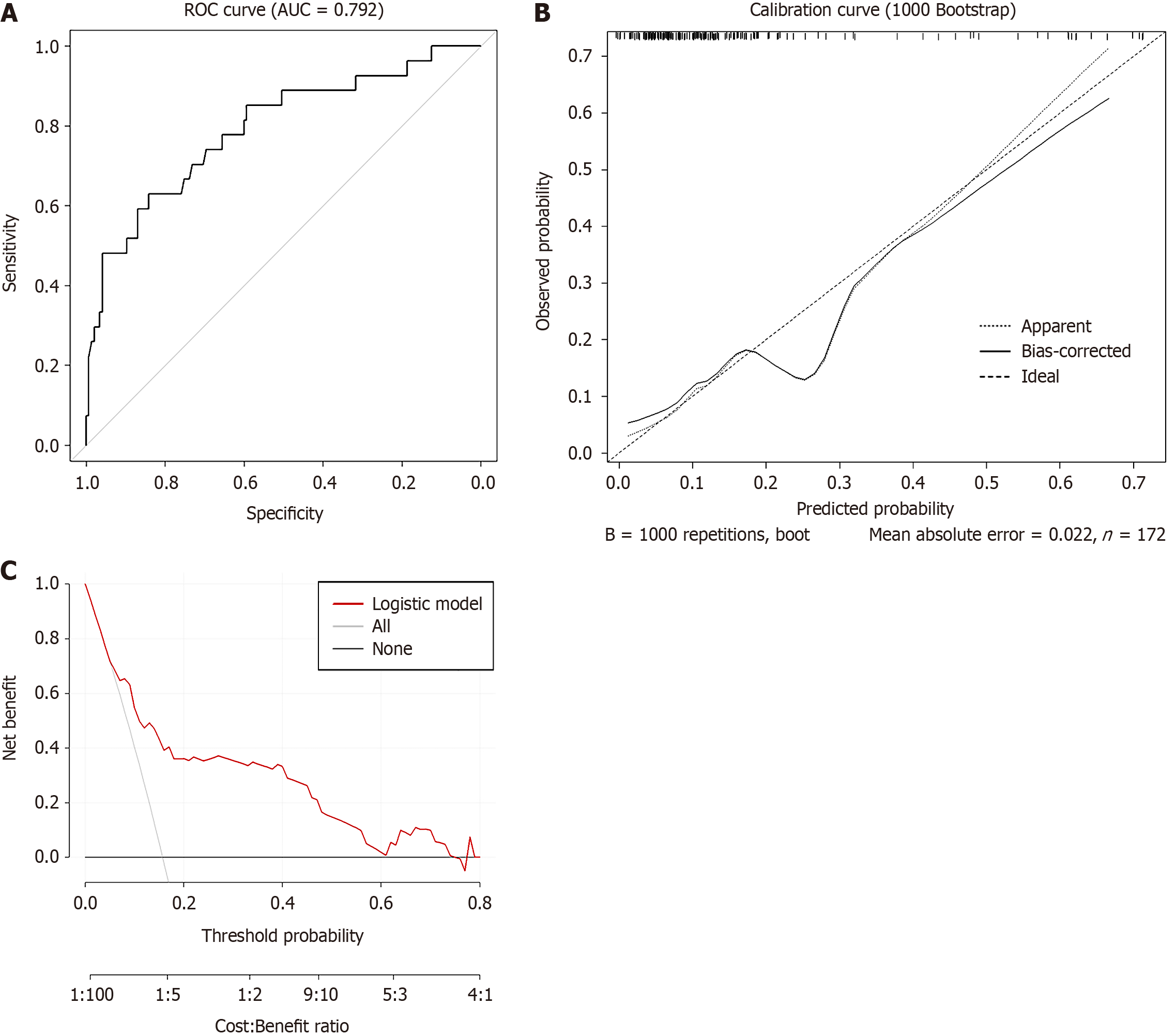
Figure 2 Model validation.
A: The area under the receiver operator characteristic curve of the prediction model; B: Bootstrap resampling (1000 times) for the prediction model; C: Decision curve analysis. AUC: Area under the receiver operator characteristic curve; ROC: Receiver operating characteristic.
- Citation: Sun GY, Gao TJ, Sun Y, Jia W, Yang Z. Risk factors with nomogram construction for moderate to severe pain after endoscopic full-thickness resection. World J Gastroenterol 2025; 31(44): 112576
- URL: https://www.wjgnet.com/1007-9327/full/v31/i44/112576.htm
- DOI: https://dx.doi.org/10.3748/wjg.v31.i44.112576
