Copyright
©The Author(s) 2026.
World J Clin Cases. Feb 26, 2026; 14(6): 117269
Published online Feb 26, 2026. doi: 10.12998/wjcc.v14.i6.117269
Published online Feb 26, 2026. doi: 10.12998/wjcc.v14.i6.117269
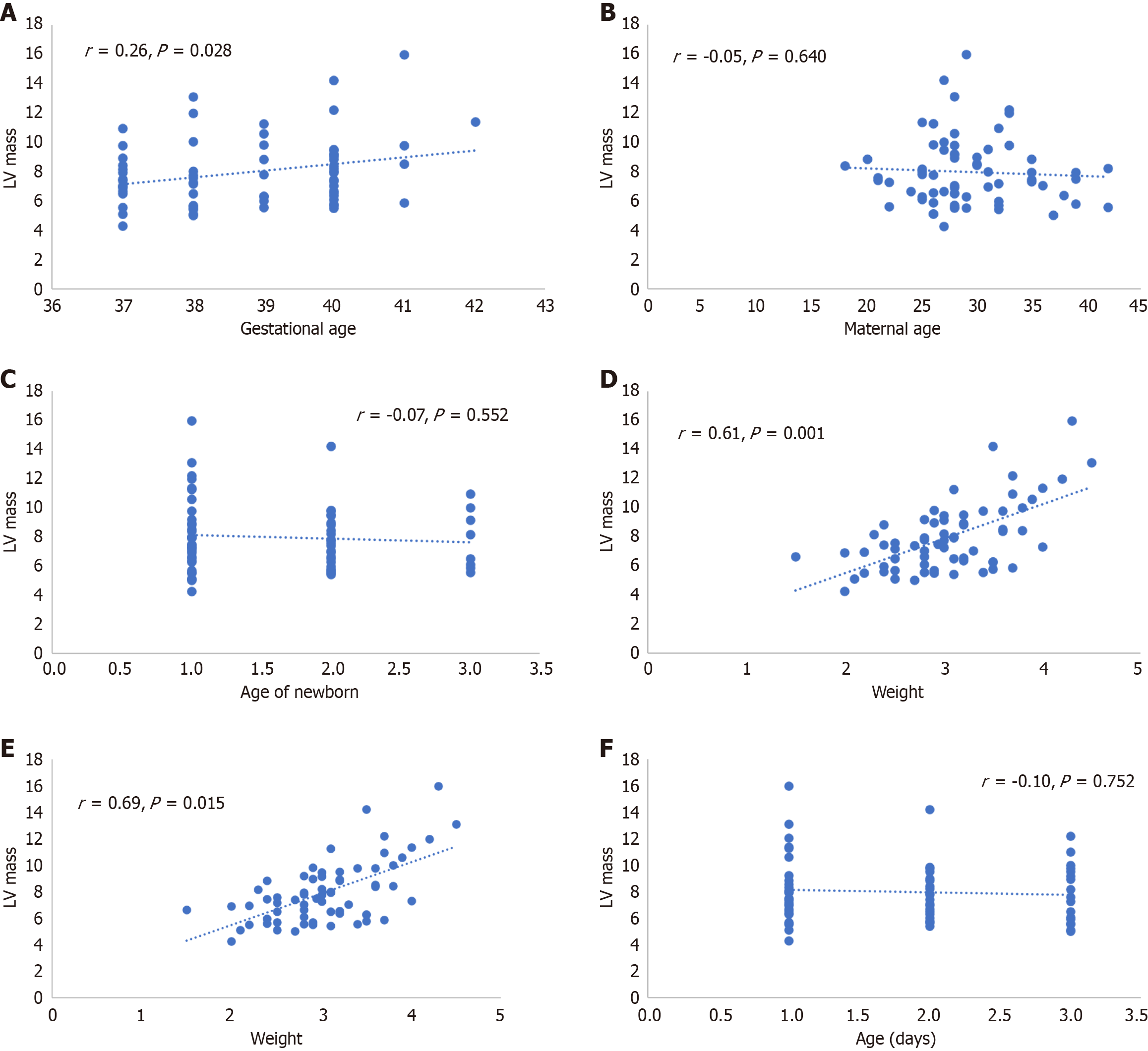
Figure 1 Scatter diagram.
A: Correlation of left ventricular (LV) mass and gestational age; B: Correlation of LV mass and maternal age; C: Correlation of LV mass and age of newborn; D: Correlation of LV mass and weight of newborn; E: Correlation of LV mass and weight of new-born without asphyxia; F: Correlation of LV mass and age of newborn without asphyxia. LV: Left ventricular.
- Citation: Chinawa JM, Ani OS, Odetunde OI. Left ventricular mass in newborn with perinatal asphxia: Assessment of allometric relations and impact of birth weight. World J Clin Cases 2026; 14(6): 117269
- URL: https://www.wjgnet.com/2307-8960/full/v14/i6/117269.htm
- DOI: https://dx.doi.org/10.12998/wjcc.v14.i6.117269
