Copyright
©The Author(s) 2025.
World J Clin Cases. Dec 16, 2025; 13(35): 112965
Published online Dec 16, 2025. doi: 10.12998/wjcc.v13.i35.112965
Published online Dec 16, 2025. doi: 10.12998/wjcc.v13.i35.112965
Figure 1 Flow chart of patient selection for study cohorts.
ERCP: Endoscopic retrograde cholangiopancreatography; CD: Celiac disease.
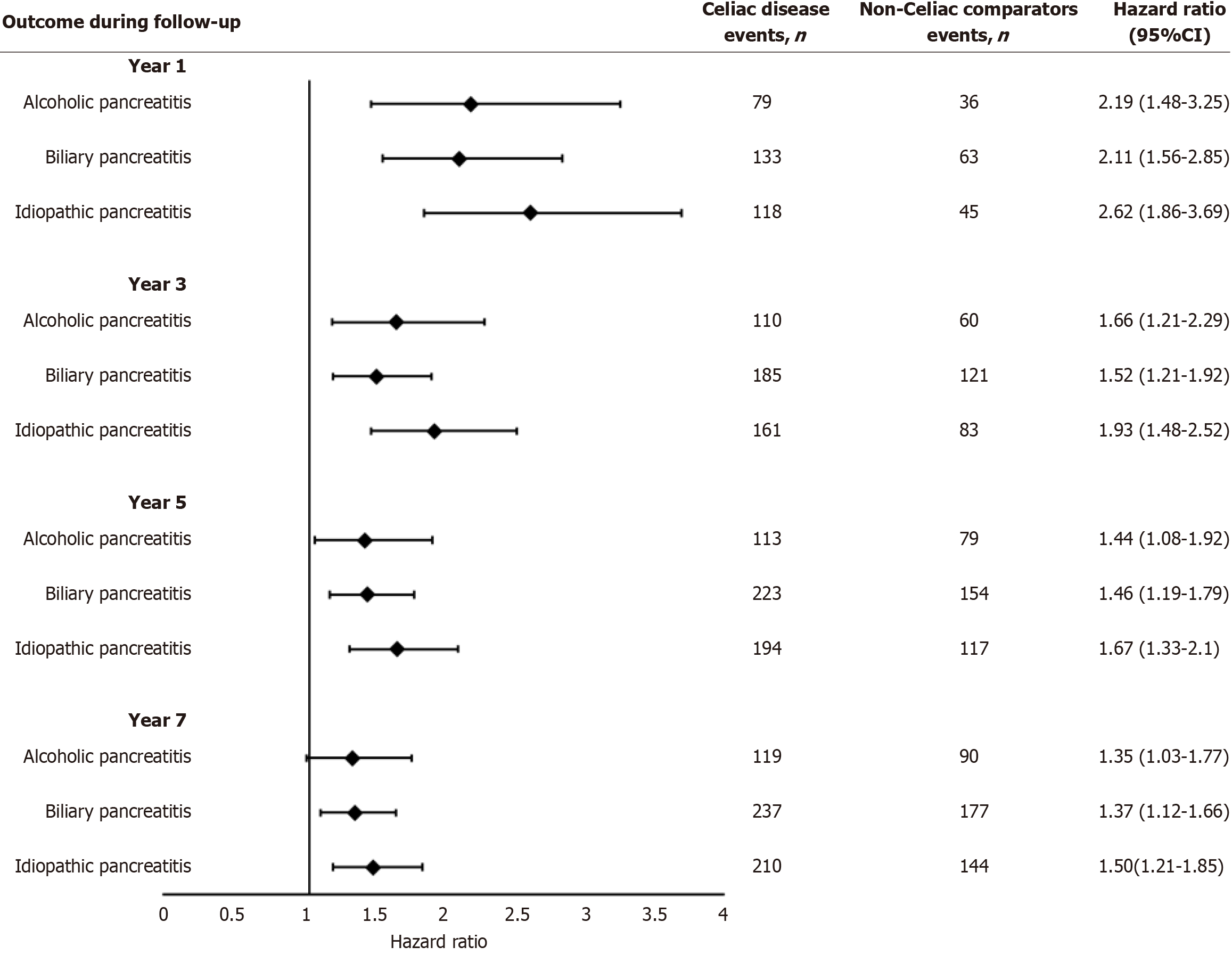
Figure 2 Forest plot of hazard ratios for alcoholic, biliary, and idiopathic pancreatitis in the celiac disease cohort vs the non-celiac cohort (years 1-7).
CI: Confidence interval.
Figure 3 Incidence of pancreatitis in celiac disease vs non-celiac disease cohorts.
A: Incidence of acute pancreatitis in celiac disease vs non-celiac disease cohorts; B: Incidence of chronic pancreatitis in celiac disease vs non-celiac disease cohorts. HR: Hazard ratio; CI: Confidence interval; CD: Celiac disease.
- Citation: Krishnan A, Teran D, Mukherjee D. Risk of incident pancreatitis in patients with celiac disease: A population-based matched retrospective cohort study. World J Clin Cases 2025; 13(35): 112965
- URL: https://www.wjgnet.com/2307-8960/full/v13/i35/112965.htm
- DOI: https://dx.doi.org/10.12998/wjcc.v13.i35.112965
