Copyright
©The Author(s) 2025.
World J Cardiol. Dec 26, 2025; 17(12): 112141
Published online Dec 26, 2025. doi: 10.4330/wjc.v17.i12.112141
Published online Dec 26, 2025. doi: 10.4330/wjc.v17.i12.112141
Figure 1 Flow-chart of the enrolment of coronary heart disease patients with serial electrocardiogram evaluations.
PCI: Percutaneous coronary intervention; CAD: Coronary heart disease.
Figure 2 The changes of certain composite parameters in three clusters.
A: Uscore; B: Complex serious cardiovascular events risk assessment. 1-Uscore: Uscore index values prior stunting, 2-Uscore: After stunting; 1-CA CVE: Prior to the stenting “Complex serious cardiovascular events risk assessment” (blue); 2-CA CVECVE: After the stenting “Complex serious cardiovascular events risk assessment” (red).
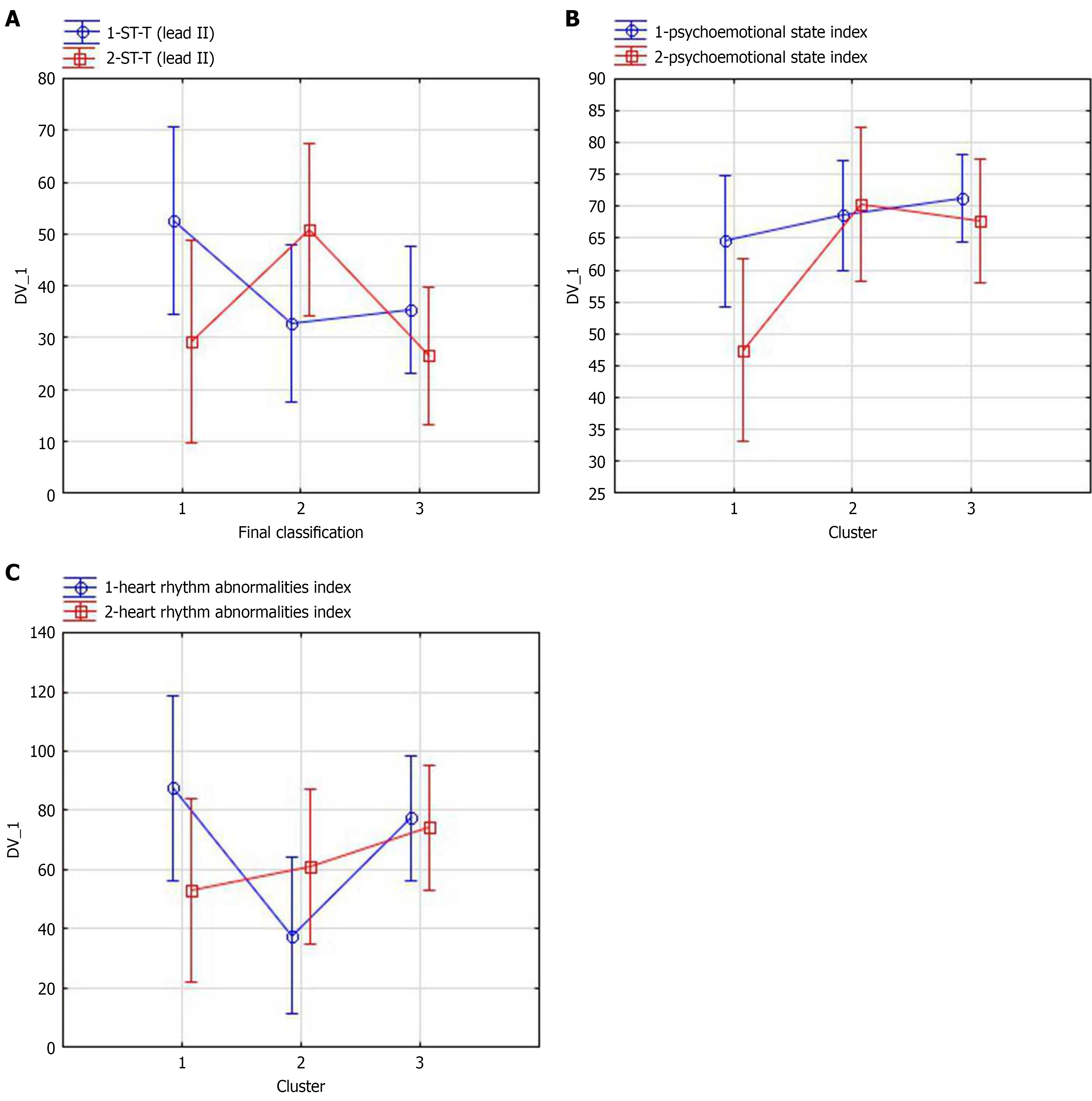
Figure 3 Index changes in three clusters prior to (blue) and after (red) stenting.
A: Changes of integral characteristic of interval ST-T shape in lead II; 1-ST-T (lead II): Prior to the stenting integral characteristic of interval ST-T shape in lead II; 2-ST-T (lead II): After the stenting integral characteristic of interval ST-T shape in lead II; B: Psychoemotional state; C: Heart rhythm abnormalities.
- Citation: Chaikovsky IA, Dziuba DO, Kryvova OA, Malakhov KS, Romanchuk OP, Todurov BM, Loskutov ОA. Mild myocardial injury during percutaneous coronary intervention based on minor changes on electrocardiogram and heart rate variability. World J Cardiol 2025; 17(12): 112141
- URL: https://www.wjgnet.com/1949-8462/full/v17/i12/112141.htm
- DOI: https://dx.doi.org/10.4330/wjc.v17.i12.112141
