BPG is committed to discovery and dissemination of knowledge
Retrospective Study Open Access
©The Author(s) 2025. Published by Baishideng Publishing Group Inc. All rights reserved.
World J Gastrointest Surg. Oct 27, 2025; 17(10): 110801
Published online Oct 27, 2025. doi: 10.4240/wjgs.v17.i10.110801
Clinical significance of systemic inflammation response index and platelet–lymphocyte ratio in patients with stage I-III gastric cancer
En-Ze Zhou, Wen-Xiu Han, A-Man Xu, Zhi-Jian Wei, Department of General Surgery, The First Affiliated Hospital of Anhui Medical University, Hefei 230032, Anhui Province, China
Li-Xiang Zhang, Department of Gastroenterology, The First Affiliated Hospital of Anhui Medical University, Hefei 230032, Anhui Province, China
ORCID number: Zhi-Jian Wei (0009-0001-1902-6150).
Co-first authors: En-Ze Zhou and Li-Xiang Zhang.
Co-corresponding authors: A-Man Xu and Zhi-Jian Wei.
Author contributions: Zhou EZ drafted the initial version of the paper; Zhang LX was in charge of collecting and analyzing all data as well as drawing the charts; Zhou EZ and Zhang LX have made crucial and indispensable contributions towards the completion of the project and thus qualified as the co-first authors of the paper; Han WX reviewed and revised the paper; Xu AM and Wei ZJ conceptualized and designed this study, played important and indispensable roles in the experimental design, data interpretation and manuscript preparation as the co-corresponding authors; all authors read and approved the final paper.
Supported by Key Projects of Anhui Provincial Department of Education, No. 2023AH053330.
Institutional review board statement: Our study was approved by The Ethics Committee of The First Affiliated Hospital of Anhui Medical University, No. PJ 2025-01-61.
Informed consent statement: This study protocol is exempt from obtaining informed consent and has been approved by The Ethics Committee of The First Affiliated Hospital of Anhui Medical University.
Conflict-of-interest statement: All of the authors read and approved the final version of the manuscript to be published.
Data sharing statement: For this study, the data supporting the research findings can be obtained from the corresponding author upon reasonable request.
Corresponding author: Zhi-Jian Wei, Chief Physician, Department of General Surgery, The First Affiliated Hospital of Anhui Medical University, No. 218 Jixi Road, Hefei 230032, Anhui Province, China. zhou11012025@163.com
Received: June 16, 2025
Revised: July 3, 2025
Accepted: August 13, 2025
Published online: October 27, 2025
Processing time: 130 Days and 15 Hours

Abstract
BACKGROUND

Gastric cancer (GC) has a relatively high incidence and mortality rate. Surgery is the primary treatment; however, the survival rate of patients remains low. Therefore, there is an urgent need to identify simple and feasible prognostic indicators for GC. As an inflammation-related biomarker, the systemic inflammation response index (SIRI), platelet-to-lymphocyte ratio (PLR), and SIRI-PLR can be obtained from routine blood tests. Compared with existing prognostic indicators, which are expensive and rely on complex analyses, SIRI-PLR offers extremely high convenience and cost-effectiveness.

AIM

To explore the impact of SIRI-PLR on the prognosis of patients with stage I–III GC after surgery and construct a nomogram.

METHODS

We retrospectively analyzed the clinical and pathological data of patients with GC who underwent radical surgery at The First Affiliated Hospital of Anhui Medical University between January 2014 and December 2017. A total of 1071 patients with clear clinical prognoses were selected. Univariate and multivariate Cox regression analyses were performed to identify independent prognostic factors associated with overall survival in patients with GC, and a nomogram prediction model was constructed.

RESULTS

Multivariate Cox regression analysis revealed that age, tumor size, T stage, N stage, SIRI-PLR, and carcinoembryonic antigen were independent prognostic factors. The areas under the curve of the nomogram for training and validation sets were 0.821 and 0.848, respectively. Calibration plots and decision curve analyses demonstrated that the nomogram exhibited good predictive performance and clinical utility in training and validation cohorts.

CONCLUSION

Preoperative SIRI-PLR was significantly associated with the prognosis of patients with stage I–III GC following radical gastrectomy. Our nomogram could serve as an essential tool for clinicians to predict the postoperative prognosis of patients with stage I–III GC.

Key Words: Gastric cancer; Radical gastrectomy; Systemic inflammation response index-platelet-to-lymphocyte ratio; Prognosis; Nomogram

Core Tip: In this study, 1071 patients with stage I-III gastric cancer who underwent radical gastrectomy at The First Affiliated Hospital of Anhui Medical University were followed up, and relevant clinicopathological factors were collected. A new scoring system called systemic inflammation response index (SIRI)-platelet-to-lymphocyte ratio (PLR) was calculated. Through univariate and multivariate Cox regression analyses, six indicators significantly associated with survival were identified: Age, tumor size, T stage, N stage, SIRI-PLR, and carcinoembryonic antigen. A nomogram model was then constructed and validated.



INTRODUCTION

Gastric cancer (GC) is the fifth most common cancer and the fifth leading cause of cancer-related deaths worldwide, making it a significant global concern[1]. Similarly, in China, GC is the fifth most prevalent cancer and the third leading cause of cancer-related deaths. It is characterized by insidious progression, low rates of early detection, and a poor prognosis[2]. GC incidence is influenced by various factors, including genetic susceptibility, dietary habits (such as high salt intake and smoked food consumption), Helicobacter pylori infection, smoking, excessive alcohol consumption, and Epstein-Barr virus infection[3]. Although screening has improved the early detection of GC, many patients are still diagnosed at advanced stages due to the lack of obvious early symptoms. This often results in poor treatment outcomes. Additionally, the lack of a systematic GC screening program remains a major global barrier to early lesion detection[4]. Therefore, enhancing early screening and prevention efforts for GC remains a priority. Early screening methods, such as gastroscopy and serum biomarker detection, can facilitate the timely identification of tumors and enable precise treatment, significantly improving cure and survival rates[5]. The key to treating early-stage GC is tumor resection combined with adjuvant therapies, such as chemotherapy and radiotherapy, to control cancer spread and reduce recurrence and metastasis risk[6]. Consequently, advancing and promoting early diagnostic techniques are critical for reducing GC-related mortality and improving life quality for patients.

Hematological indicators play a vital role in the prognostic assessment of cancer and serve as practical tools to reflect the inflammatory immune status, nutritional condition, and tumor burden in patients with cancer[7]. Recently, the relationship between perioperative inflammatory markers and the postoperative prognosis of patients undergoing radical gastrectomy for GC has attracted considerable attention[8]. Preoperative inflammatory markers, such as the platelet-to-lymphocyte ratio (PLR), neutrophil-to-lymphocyte ratio (NLR), and lymphocyte-to-monocyte ratio (LMR), are closely associated with the postoperative prognosis of patients with GC[9]. High levels of these inflammatory markers typically indicate an inflammatory response in the body, which is associated with poorer overall survival (OS) and disease-free survival[10]. These elevated markers are associated with tumor malignancy, lymph node metastasis, and microvascular invasion. Preoperative inflammatory marker assessment not only helps in identifying high-risk patients but also provides essential information for postoperative treatment decisions, further promoting the development of personalized treatment strategies[11].

The systemic inflammation response index (SIRI) and PLR are important biomarkers reflecting systemic inflammation and immune status with significant clinical value in cancer prognosis[12]. Both SIRI and PLR have broad potential for cancer prognosis. As markers of systemic inflammation and immune status, they can provide valuable information regarding survival, prognosis, and recurrence and metastasis risks in patients with cancer[13,14]. Previous studies have often focused on analyzing SIRI and PLR individually. Combining these two markers may improve sensitivity and specificity. The combined use of SIRI and PLR theoretically allows for a more comprehensive assessment of the immune-inflammatory microenvironment in patients with cancer, thereby offering strong support for clinical decision-making. Accordingly, the SIRI-PLR scoring system was developed. The preoperative prognosis of patients with GC is currently assessed through a comprehensive analysis combining TNM staging, pathological features, tumor markers, inflammatory and immune indicators, imaging results, and the overall patient condition. Among these, inflammatory and immune indicators are easier to obtain than other indicators. The SIRI-PLR in this study can be derived from routine blood test results and has the advantages of low cost and easy analysis, making it applicable in primary hospitals.

Recent studies have confirmed the prognostic value of the SIRI-PLR in cancer. An elevated SIRI-PLR score can serve as an independent prognostic factor for patients with upper urinary tract urothelial carcinoma, demonstrating a stronger prognostic ability than NLR, PLR, LMR, and SIRI alone, especially in predicting the survival rate of patients with upper urinary tract urothelial carcinoma after radical nephroureterectomy[15]. Another study validated the potential of the SIRI-PLR scoring system in assessing the prognosis of gastroesophageal junction cancer (AEG) and upper GC (UGC) and revealed that this index effectively distinguished patients with cancer with different prognoses. Furthermore, it could supplement the American Joint Committee on Cancer 8th edition guidelines, assisting clinicians in determining personalized treatment strategies for patients with AEG and UGC. Currently, no published studies exist on the clinical value and predictive significance of the SIRI-PLR scoring system in patients with stage I–III GC undergoing radical gastrectomy. Therefore, this study primarily explored the SIRI-PLR potential, a combined scoring system incorporating lymphocytes, neutrophils, monocytes, and platelets, which covers a more comprehensive range of clinical immune factors. This system holds promise for more accurate prediction of GC prognosis, aiding clinicians in selecting the most appropriate surgical approach for patients with GC and developing personalized treatment plans[16].

MATERIALS AND METHODS
Data

Our study was a retrospective clinical investigation, with medical history data primarily collected from The Medical Records Department of The First Affiliated Hospital of Anhui Medical University. Clinical data of patients with GC who underwent radical surgery at our hospital between 2014 and 2017 were collected for analysis. Figure 1 presents a general flowchart of the study. The Ethics Committee of The First Affiliated Hospital of Anhui Medical University approved this study.

Figure 1
Figure 1 Flow diagram of the study design. DCA: Decision curve analysis; ROC: Receiver operating characteristic.

A total of 1263 patients with GC who underwent radical surgery during this period were included, and 1071 patients with clear clinical prognoses were selected based on the inclusion and exclusion criteria. The inclusion criteria were as follows: (1) Patients who underwent radical gastrectomy for GC; (2) Patients with a clear pathological GC diagnosis; (3) Patients with complete preoperative laboratory examinations; and (4) Patients with complete clinicopathological data and postoperative follow-up information. The exclusion criteria included the following: (1) Infectious diseases history within 7 days before surgery; (2) Incomplete clinical and follow-up data; (3) Immune or hematological diseases history before surgery; (4) Death during the perioperative period; (5) Patients who died within 1 month after surgery; (6) Patients who received neoadjuvant chemotherapy or radiotherapy of surgery; (7) Patients with other primary malignancies; and (8) Other conditions deemed unsuitable for inclusion in the study.

Research methods

Clinical information, including age, sex, surgical approach (open, laparoscopic, and robotic), tumor location, pathological type, differentiation degree, tumor size, TNM staging, survival status, and OS time, was collected from electronic medical records and laboratory test systems. Peripheral blood samples were collected within one week before surgery, and laboratory test data included the absolute neutrophil and lymphocyte, monocyte, white blood cell, red blood cell, and platelet counts, SIRI, PLR, systemic immune-inflammation index (SII), NLR, and carcinoembryonic antigen (CEA). These clinical and laboratory markers were used to evaluate the immune-inflammatory status of the patients and predict their prognosis.

Follow-up

Patient follow-up data were obtained during outpatient visits and telephone follow-ups. In the first year, patients were followed up every 3 months, and from the second year onward, follow-up was conducted every 6 months. Routine examinations included physical examinations, laboratory tests, and whole-abdominal computed tomography (CT) scans. The follow-up endpoint was OS. The follow-up cutoff date was September 2024. Personal information of the patients, such as age, name, and contact details, was obtained primarily through medical record reviews.

Statistical analysis

A retrospective analysis of general and clinical data from 1071 patients who underwent radical surgery at The First Affiliated Hospital of Anhui Medical University between 2014 and 2017 was conducted using the Statistical Package for the Social Sciences software (version 27.0). These patients were selected based on predefined inclusion criteria and had clear clinical prognoses. SIRI and PLR were calculated as follows: (1) SIRI was defined as the neutrophil count´ monocyte count/Lymphocyte count; and (2) PLR was defined as the platelet count/Lymphocyte count. Receiver operating characteristic (ROC) curve analysis was performed using OS as the endpoint, and the Youden index (sensitivity + specificity − 1) was used to determine the cutoff values for SIRI, PLR, NLR, SII, and CEA.

Preoperative laboratory examination data included neutrophil, lymphocyte, monocyte, and platelet counts, and other hematological parameters. From these, the SIRI and PLR were calculated, and the optimal cutoff values for both indicators were determined using the ROC curves. The optimal cutoff values for SIRI and PLR were 0.55 and 140.35, respectively. Based on these cutoff values, all patients were divided into three groups: (1) Those with SIRI ≤ 0.55 and PLR ≤ 140.35 in the score 0 group; (2) Those with SIRI ≤ 0.55 and PLR > 140.35 and SIRI > 0.55 and PLR ≤ 140.35 in the score 1 group; and (3) Those with SIRI > 0.55 and PLR > 140.35 in the score 2 group.

Categorical data were compared using the χ² and Fisher’s exact tests, and a comparative analysis of general clinical data and pathological features among the groups was performed. Univariate and multivariate Cox regression analyses were used to identify independent prognostic factors influencing OS in patients with GC. Using R software (version 4.3.3) and its packages “rms”, “foreign”, and “survival”, a predictive model was constructed and evaluated. Independent risk factors, including age, tumor size, T stage, N stage, SIRI-PLR, and CEA scores, were incorporated into the Cox regression predictive model (using the minimum value group as the reference). Each independent risk factor was categorized into subgroups, and corresponding scores were assigned. The scores for all factors were summed to obtain the total score. The corresponding OS rate was estimated based on the total score, and a nomogram prediction model was constructed. The Kaplan–Meier method was used to assess survival differences between different subgroups. The C-index, area under the ROC curve (AUC), and calibration curves were used to validate the nomogram model's effectiveness. A clinical decision curve analysis was used to evaluate the clinical prediction efficiency of the nomogram.

RESULTS
Patient characteristics

Patient characteristics included age, sex, surgical method, tumor location, pathological type, differentiation grade, tumor size, TNM stage, survival status, OS, and laboratory examination data from peripheral blood samples collected within one week before surgery. Among the 1263 patients, 1071 were selected based on the inclusion criteria. These 1071 patients were randomly divided into training and validation groups in a 7:3 ratio, with 751 and 320 patients, respectively. Age was categorized into two groups: (1) ≤ years; and (2) > 65 years. Tumor size was divided into two groups based on a cutoff of 5 cm: (1) ≤ 5 cm; and (2) > 5 cm.

Correlations between SIRI-PLR and the clinicopathological characteristics of GC

By analyzing the correlation between different SIRI-PLR score groups (0, 1, and 2 points) and common clinicopathological features, as illustrated in Table 1, it was found that in the training group, SIRI-PLR scores were significantly associated with sex, tumor size, T stage, NLR, and SII (P = 0.033, P < 0.001, P < 0.001, P < 0.001, and P < 0.001, respectively). In the validation group, SIRI-PLR scores were significantly correlated with the surgical approach, T stage, N stage, NLR, and SII (P = 0.03, P = 0.038, P = 0.031, P < 0.001, and P < 0.001, respectively).

Table 1 Characteristics of training and validation cohorts.
Clinicopathologic factors
Training set
P value
Validation set
P value
Score 0
Score 1
Score 2
Statistic
Score 0
Score 1
Score 2
Statistic
Sexχ² = 6.850.033χ² = 5.660.059
Male1252451995011380
Female576560262922
Age (years)χ² = 1.460.481χ² = 3.800.15
≤ 65112190147517658
> 6570120112256644
Surgical approach-0.176-0.03
Open1542772346312988
Laparoscopic27322281114
Robotic131520
Tumor locationχ² = 8.540.074χ² = 0.740.946
Cardia and fundus of stomach98160123366748
Gastric body276468132421
Pylorus578668275133
Tumor siteχ² = 13.260.103-0.072
Lesser curvature side1482461936711477
Greater curvature side2031235197
Anterior wall71515136
Posterior wall31416148
Total stomach4412224
Pathological typeχ² = 0.100.952χ² = 0.950.622
Adenocarcinoma1732932467113695
Others91713567
Differentiation degree-0.1751-0.196
Poorly differentiated130235177609268
Moderately differentiated507281164833
Highly differentiated231021
Tumor sizeχ² = 68.59< 0.001χ² = 2.260.323
≤ 51432311195210264
> 53979140244038
T stageχ² = 28.96< 0.001χ² = 13.330.038
T1375821193113
T222311514198
T31540278138
T4108181196357973
N stageχ² = 10.620.101χ² = 13.840.031
N07312983436438
N132514273317
N2386352101915
N3396782162632
Neutrophil-to-lymphocyte ratioχ² = 183.54< 0.001χ² = 80.27< 0.001
≤ 2.981812761327612651
> 2.9813412701651
Systemic immune-inflammation indexχ² = 344.47< 0.001χ² = 153.51< 0.001
≤ 560.54182267687612526
> 560.5404319101776
Carcinoembryonic antigenχ² = 2.390.303χ² = 2.060.358
≤ 4.021302111675210668
> 4.02529992243634

The relationship between the preoperative SIRI-PLR score and GC prognosis was analyzed statistically. Kaplan–Meier survival curves demonstrated that an increase in the preoperative SIRI-PLR score was associated with a poor prognosis in GC. The log-rank test was used to compare survival rate differences between groups. Patients with a SIRI-PLR score of 2 had significantly lower OS than those with SIRI-PLR scores of 0 and 1, with a statistically significant difference (P < 0.05), as illustrated by Figure 2.

Figure 2
Figure 2 Kaplan-Meier analysis of overall survival in patients with stage I-III gastric cancer who were divided into three groups according to systemic inflammation response index-platelet-to-lymphocyte ratio in the training cohort. SIRI-PLR: Systemic inflammation response index-platelet-to-lymphocyte ratio.
Nomogram construction

Clinical and pathological factors affecting stage I–III GC prognosis were included in the univariate Cox regression analysis. Age, tumor location, tumor size, T stage, N stage, SIRI-PLR, and CEA level were risk factors influencing GC prognosis (P < 0.05), as illustrated in Table 2. Subsequently, statistically significant factors identified in the univariate analysis were incorporated into multivariate Cox regression analysis. Age, tumor size, T stage, N stage, SIRI-PLR, and CEA level were independent risk factors for GC prognosis (P < 0.05), as demonstrated in Table 2. Consequently, a nomogram was constructed. The nomogram displayed the values for individual patients with GC on each variable axis, as illustrated in Figure 3. A line was drawn upward to determine the number of points corresponding to each variable value. Subsequently, the sum of these points was placed on the total score axis, and a line was drawn downward to the survival axis to determine the probabilities of 1-year, 2-year, and 3-year survival rates after radical gastrectomy.

Figure 3
Figure 3 Construct a nomogram for predicting the postoperative overall survival of patients with stage I-III gastric cancer. SIRI-PLR: Systemic inflammation response index-platelet-to-lymphocyte ratio; CEA: Carcinoembryonic antigen.
Table 2 Univariate and multivariate analyses for predicting the survival outcomes of the training cohort.
Clinicopathologic factorsUnivariate analysis
Multivariate analysis
Exp(B)
95.0%CI of Exp(B)
P value
Exp(B)
95.0%CI of Exp(B)
P value
Sex0.961 0.749-1.233 0.752
Age1.431 1.157-1.770 0.001 1.364 1.098-1.693 0.005
Surgical approach0.396
Open1.000
Laparoscopic0.788 0.545-1.140 0.206
Robotic0.730 0.234-2.276 0.587
Tumor location0.023 0.058
Cardia and fundus of stomach1.000 1.000
Gastric body1.257 0.965-1.638 0.090 1.386 1.056-1.818 0.019
Pylorus0.825 0.639-1.066 0.141 1.176 0.899-1.537 0.237
Tumor site0.419
Lesser curvature side1.000
Greater curvature side1.242 0.891-1.732 0.201
Anterior wall0.638 0.340-1.200 0.164
Posterior wall1.004 0.587-1.719 0.987
Total stomach1.107 0.570-2.151 0.764
Pathological type0.834 0.505-1.378 0.479
Differentiation degree0.202
Poorly differentiated1.000
Moderately differentiated0.800 0.627-1.022 0.074
Highly differentiated0.000 0.000-2.60E+1070.933
Tumor size2.345 1.896-2.901 0.000 1.283 1.014-1.623 0.038
T stage0.000 0.000
T11.000 1.000
T22.176 1.057-4.480 0.035 1.699 0.820-3.523 0.154
T34.776 2.514-9.075 0.000 2.468 1.261-4.830 0.008
T47.137 4.092-12.449 0.000 3.480 1.924-6.296 0.000
N stage0.000 0.000
N01.000 1.000
N12.116 1.474-3.037 0.000 1.508 1.040-2.186 0.030
N23.214 2.321-4.449 0.000 2.064 1.470-2.897 0.000
N34.777 3.564-6.403 0.000 2.491 1.805-3.440 0.000
Systemic inflammation response index-platelet-to-lymphocyte ratio0.000 0.013
01.000 1.000
11.421 1.040-1.943 0.028 1.444 1.051-1.982 0.023
22.297 1.691-3.120 0.000 1.759 1.204-2.571 0.004
Neutrophil-to-lymphocyte ratio1.463 1.153-1.857 0.002 0.912 0.677-1.229 0.545
Systemic immune-inflammation index1.669 1.343-2.074 0.000 1.037 0.750-1.434 0.825
Carcinoembryonic antigen2.512 2.030-3.109 0.000 2.049 1.643-2.556 0.000
SIRI-PLR's ability to predict stage I–III GC prognosis after surgery

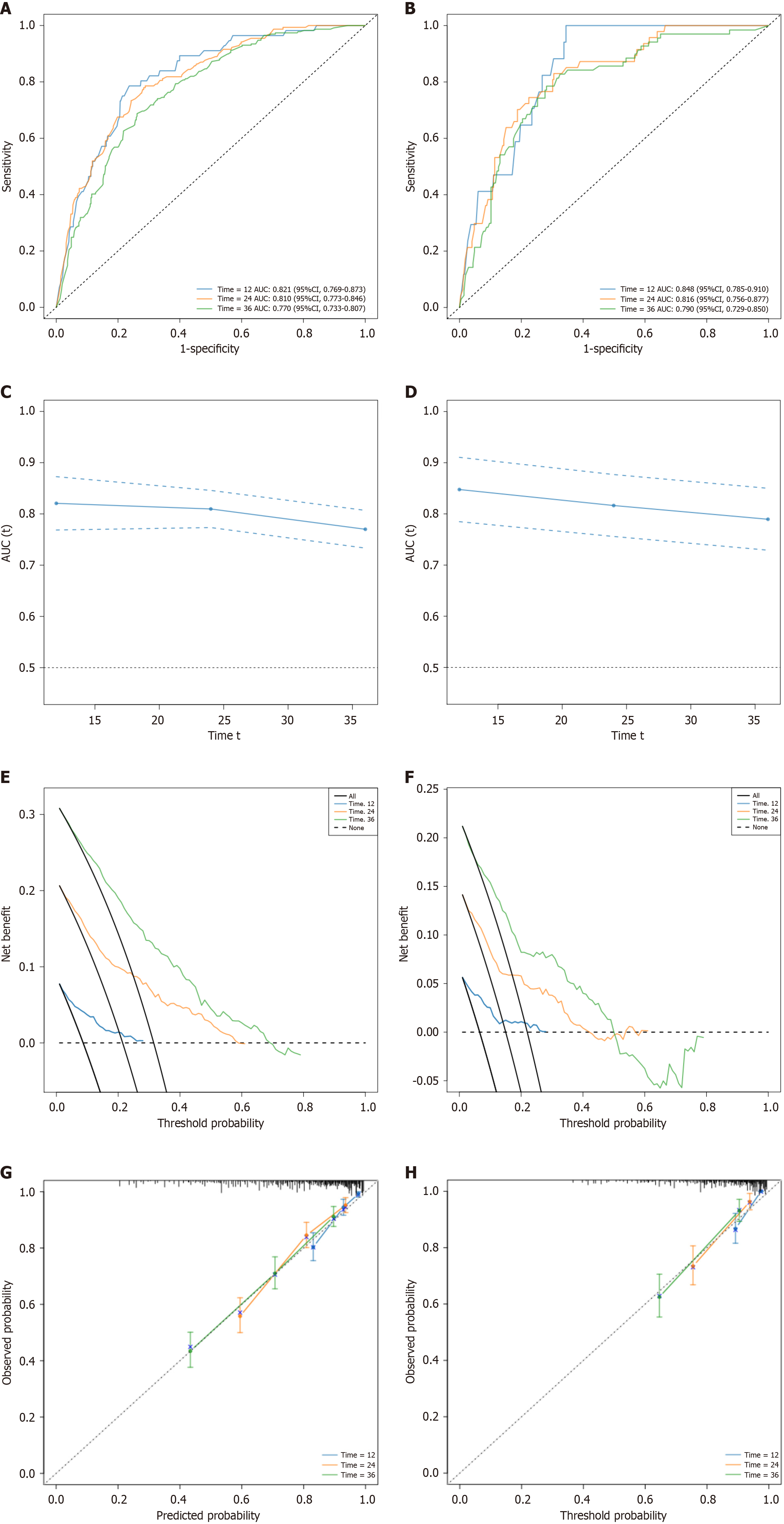
Calibration curves for predicting 1-year, 2-year, and 3-year survival rates were illustrated in Figure 4. In the training group, the AUCs were 0.821 (95%CI: 0.769–0.873), 0.810 (95%CI: 0.773–0.846), and 0.770 (95%CI: 0.733–0.807). In the validation group, the AUCs were 0.848 (95%CI: 0.785–0.910), 0.816 (95%CI: 0.756–0.877), and 0.790 (95%CI: 0.729–0.850) (Figure 4A and B). The predictive performance of the model was evaluated using C-index and calibration curves. The concordance index was 0.757, and the standard error was 0.025 (Figure 4C and D). Decision curve analysis was used to evaluate the clinical benefits of the model (Figure 4E and F). Additionally, the calibration curves for 1-year, 2-year, and 3-year OS rates were closely aligned with the reference line (diagonal line), indicating good predictive performance (Figure 4G and H). Consequently, SIRI-PLR, in combination with the currently available clinical parameters, may facilitate patient risk stratification and clinical decision-making.

Figure 4
Figure 4 Receiver operating characteristic curve. A: Receiver operating characteristic (ROC) curve of Nomogram model predicting 1-year, 2-year, and 3-year prognosis of patients in the training set; B: ROC curve of Nomogram model predicting 1-year, 2-year, and 3-year prognosis of patients in the validation set; C: C-index of the training group; D: C-index of the validation group; E: The decision analysis curve of the training group; F: The decision analysis curve of the validation group; G: Calibration curves for predicting 1-year, 2-year, and 3-year overall survival (OS) rates of patients with stage I-III gastric cancer (GC) in the training cohort. The actual OS rates are plotted on the Y-axis, while the OS rates predicted by the nomogram are plotted on the X-axis; H: Calibration curves for predicting the 1-year, 2-year, and 3-year OS rates of patients with stage I-III GC in the validation cohort. AUC: Area under the receiver operating characteristic curve.
DISCUSSION

Significant progress has been made in GC diagnostic methods, including imaging, endoscopy, and tumor marker detection[6,17,18]. Emerging technologies, such as liquid biopsy and genetic testing, have recently provided new possibilities for the early diagnosis and precise treatment of GC[19,20]. Radical gastrectomy remains the primary treatment[21], especially for early-stage GC, in which complete resection of the tumor and associated lymph nodes can lead to a cure[22]. For locally advanced or metastatic GC, prognosis is influenced by several factors, including patient age, overall health, tumor stage, differentiation, and lymph node metastasis. Postoperative adjuvant chemotherapy or targeted therapy has been illustrated to improve survival and reduce recurrence rates significantly[23]. Preoperative hematological markers are closely related to the surgical prognosis of patients with GC, making them vital for prognostic research. Elevated white blood cell counts, low hemoglobin levels, high platelet counts, and increased C-reactive protein levels indicate a higher risk of postoperative complications, recurrence, and mortality[24]. Recently, there has been growing attention on combining multiple hematological markers and developing scoring systems, such as the prognostic and geriatric nutritional risk index, to improve prognosis prediction accuracy[25]. These studies support personalized treatment plans for patients with GC, aid in the early identification of high-risk patients, and optimize treatment strategies. However, despite the widespread recognition of the potential of hematological markers in GC prognosis, further multi-center, large-sample clinical studies are needed to validate their clinical application and standardize protocols.

This study retrospectively analyzed 1071 patients diagnosed with stage I–III GC at our hospital who underwent radical gastrectomy. Routine preoperative blood test indices, general patient data, and pathological findings were collected. The optimal cutoff values for SIRI, PLR, NLR, SII, and CEA were calculated. These indices were divided into high and low groups, and SIRI-PLR scores were calculated. An analysis of the relationship between SIRI-PLR scores and survival outcomes revealed statistically significant differences in OS distribution between the preoperative SIRI-PLR groups. We also investigated the relationship between the above indices and GC pathological features. In the training cohort, the SIRI-PLR scores were significantly associated with sex, tumor size, T stage, NLR, and SII. In the validation cohort, SIRI-PLR scores were significantly associated with the surgical approach, T stage, N stage, NLR, and SII. Univariate Cox regression analysis of factors affecting patient survival revealed that age, tumor location, tumor size, T stage, N stage, SIRI-PLR, and CEA level were significant risk factors for advanced GC prognosis (P < 0.05). Incorporating these significant factors into a multivariate Cox regression model demonstrated that age, tumor size, T stage, N stage, SIRI-PLR, and CEA level were independent prognostic factors for GC (P < 0.05).

Specifically, the differences between patients with GC aged > 65 years and those aged ≤ 65 years were significant, highlighting the prognostic significance of age. This aligns with the views of other researchers, who attributed rising cancer mortality rates to an aging population[26]. China, with one of the fastest aging populations in the world, reported approximately 260 million people aged ≥ 60 years by the end of 2020. The annual growth is projected to reach 10 million in the next five years[27]. Therefore, there is an urgent need to improve the survival outcomes of older patients with GC to effectively alleviate the cancer burden in China. Additionally, tumor location and the differentiation degree had no significant impact on GC prognosis in our study. Kaplan–Meier survival curves further demonstrated that high SIRI-PLR scores indicated poor survival outcomes in patients with GC. Patients with a SIRI-PLR score of two had significantly lower survival rates (P < 0.005) than those with scores of zero or one. These findings emphasize the importance of SIRI-PLR as a prognostic indicator in GC and suggest that specific efforts are needed to improve the survival of older and high-risk patients with elevated SIRI-PLR scores.

The anatomical location of tumors not only affects clinical presentation and staging at diagnosis but is also closely associated with patient prognosis[28]. For example, differences in colorectal cancer prognosis can be partially attributed to variations in the anatomical location of the tumor[29]. The ascending colon generally exhibits a poorer prognosis than the descending colon. This discrepancy is believed to be linked to lower immune cell infiltration, higher genetic mutation burden, and distinct microenvironmental conditions in the right colon[30]. In lung cancer, significant differences in survival outcomes have been observed based on tumor location, such as between the upper and lower lobes of the lungs[31]. Lower lobe tumors are often associated with worse survival prognoses, which may be linked to the lower prevalence of epidermal growth factor receptor mutations in this region[32]. Similarly, in breast cancer, tumor location affects prognosis, with tumors located in the outer lower quadrant generally associated with better outcomes[33]. In this study, multivariate analysis results exhibited that tumor location was not an independent prognostic factor for GC. This finding may be attributed to the inclusion criteria and substantial differences in the sample sizes among the groups. Additionally, the SIRI-PLR influence on prognosis cannot be ruled out as a contributing factor to this observation. Further studies with larger and more balanced sample sizes are required to explore tumor location role in GC prognosis.

As classic inflammation-related biomarkers, NLR and SII have been confirmed by numerous studies to be closely associated with GC prognosis[34]. In our study, SIRI-PLR was significantly correlated with NLR and SII in both the training and validation cohorts, as illustrated in Table 1, suggesting that SIRI-PLR may also be closely related to GC prognosis, like NLR and SII. Based on this, we further analyzed the data and in univariate analysis, SIRI-PLR, NLR, and SII were all significantly associated with prognosis (Table 2). In multivariate analysis, among inflammation-related biomarkers, only SIRI-PLR exhibited statistical significance with a P value of 0.013 (P < 0.05). This may indicate that SIRI-PLR has a better predictive ability for GC prognosis than NLR and SII. However, multi-center data are currently needed for further validation.

SIRI integrates white blood cells, platelets, and lymphocytes ratios effectively reflecting systemic inflammatory responses in the body[35]. Chronic inflammation can promote tumor cell proliferation, angiogenesis, and immune escape[36]. The PLR reflects the PLR count and is closely associated with tumor growth, metastasis, and angiogenesis[37,38]. A decrease in lymphocyte count allows tumor cells to evade immune recognition[39,40]. Studies have demonstrated that elevated PLR often indicates severe immunosuppression and chronic inflammation, suggesting a high risk of postoperative recurrence[41]. Besides, high SIRI and PLR levels are associated with an increased incidence of postoperative complications, including infections and poor wound healing, making them valuable for assessing the postoperative recovery potential of the patient[42]. As an inflammation-related biomarker combining SIRI and PLR, SIRI-PLR has recently garnered significant attention for its role in the postoperative prognostic evaluation of patients with GC.

SIRI and PLR can be obtained preoperatively through routine blood tests, offering high convenience and cost-effectiveness. Unlike traditional tumor biomarkers, these indices not only reflect the local pathological characteristics of the tumor but also capture changes in systemic inflammation and immune status[43]. These tools are essential for predicting postoperative prognosis, particularly recurrence and survival rates. Many studies have demonstrated that elevated preoperative SIRI-PLR scores are associated with poor postoperative prognosis in GC, providing critical early warning signals for clinicians to enhance postoperative management and develop individualized treatment strategies[44]. Compared with complex imaging techniques and biomarker tests, the SIRI-PLR scoring system relies solely on routine blood count tests, offering a noninvasive, simple, and low-cost solution. As auxiliary tools, they provide convenient prognostic information to support timely and effective clinical decision-making[45]. SIRI-PLR may provide comprehensive information for prognostic evaluation after radical GC surgery[46]. For example, SIRI-PLR can be used as a combined indicator, along with other clinical factors (including tumor stage and surgical margin status), to achieve high sensitivity and specificity in predicting postoperative recurrence, metastasis, and survival. An elevated SIRI-PLR score may reflect the tumor's dependence on the inflammatory microenvironment, indicating a higher metastatic potential and reduced immune response capacity. These markers can help identify high-risk patients, allowing the implementation of tailored treatment strategies and improving clinical outcomes[16].

Our study had several strengths. First, we systematically recorded and analyzed the baseline characteristics, hematological parameters, and follow-up data of patients with GC who underwent radical surgery. This allowed us to identify the variables that were significantly associated with patient prognosis. Based on these findings, we developed a predictive model for GC prognosis using preoperative hematological parameters and clinical data. Nomogram prediction model validity was further verified, and SIRI-PLR predictive value was confirmed in an independent cohort. Second, this is the first study to introduce SIRI-PLR as a prognostic evaluation tool for patients with stage I–III GC after radical surgery. This novel approach highlights SIRI-PLR utility as a reliable and innovative prognostic biomarker for this specific patient population. Finally, the SIRI-PLR offers notable practical advantages. It is noninvasive, easy to assess, highly reproducible, cost-effective, and feasible for routine clinical use. SIRI-PLR demonstrates high accuracy in predicting postoperative prognosis in patients undergoing radical gastrectomy for GC, making it a convenient and valuable tool for individualized patient management.

Despite its strengths, this study has some limitations. This was a single-center retrospective study, which may introduce bias, and using retrospectively collected data could lead to errors or misclassification. Additionally, the predictive model was validated internally due to the absence of multi-center data, limiting its generalizability. Future research should incorporate multi-center datasets for external validation and include additional inflammation-related markers, such as CD4+ T cell and CD8+ T cell, and COX-2, enhancing the accuracy and comprehensiveness of the model.

CONCLUSION

SIRI-PLR, an inflammation-related biomarker, offers multiple advantages for the prognostic evaluation of patients with GC following radical surgery. This marker not only reflects the systemic inflammatory and immune status of the body but also provides an effective basis for preoperative prognosis, aiding clinicians in developing personalized treatment strategies. SIRI-PLR is a prognostic indicator with great potential; however, multi-center prospective studies are needed to verify its generalizability. As research advances, SIRI-PLR is likely to become a tool for postoperative prognostic assessment of GC.

References
1.  Bray F, Laversanne M, Sung H, Ferlay J, Siegel RL, Soerjomataram I, Jemal A. Global cancer statistics 2022: GLOBOCAN estimates of incidence and mortality worldwide for 36 cancers in 185 countries. CA Cancer J Clin. 2024;74:229-263.  [RCA]  [PubMed]  [DOI]  [Full Text]  [Cited by in Crossref: 16785]  [Cited by in RCA: 14770]  [Article Influence: 7385.0]  [Reference Citation Analysis (21)]
2.  Han B, Zheng R, Zeng H, Wang S, Sun K, Chen R, Li L, Wei W, He J. Cancer incidence and mortality in China, 2022. J Natl Cancer Cent. 2024;4:47-53.  [RCA]  [PubMed]  [DOI]  [Full Text]  [Full Text (PDF)]  [Cited by in Crossref: 1395]  [Cited by in RCA: 1423]  [Article Influence: 711.5]  [Reference Citation Analysis (5)]
3.  Machlowska J, Baj J, Sitarz M, Maciejewski R, Sitarz R. Gastric Cancer: Epidemiology, Risk Factors, Classification, Genomic Characteristics and Treatment Strategies. Int J Mol Sci. 2020;21:4012.  [RCA]  [PubMed]  [DOI]  [Full Text]  [Full Text (PDF)]  [Cited by in Crossref: 1170]  [Cited by in RCA: 1004]  [Article Influence: 167.3]  [Reference Citation Analysis (12)]
4.  Conti CB, Agnesi S, Scaravaglio M, Masseria P, Dinelli ME, Oldani M, Uggeri F. Early Gastric Cancer: Update on Prevention, Diagnosis and Treatment. Int J Environ Res Public Health. 2023;20:2149.  [RCA]  [PubMed]  [DOI]  [Full Text]  [Full Text (PDF)]  [Cited by in Crossref: 143]  [Cited by in RCA: 116]  [Article Influence: 38.7]  [Reference Citation Analysis (0)]
5.  Smyth EC, Nilsson M, Grabsch HI, van Grieken NC, Lordick F. Gastric cancer. Lancet. 2020;396:635-648.  [RCA]  [PubMed]  [DOI]  [Full Text]  [Cited by in Crossref: 4042]  [Cited by in RCA: 3457]  [Article Influence: 576.2]  [Reference Citation Analysis (13)]
6.  Young E, Philpott H, Singh R. Endoscopic diagnosis and treatment of gastric dysplasia and early cancer: Current evidence and what the future may hold. World J Gastroenterol. 2021;27:5126-5151.  [PubMed]  [DOI]  [Full Text]
7.  Song M, Rabkin CS, Ito H, Oze I, Koyanagi YN, Pfeiffer RM, Kasugai Y, Matsuo K, Camargo MC. Circulating immune- and inflammation-related biomarkers and early-stage noncardia gastric cancer risk. Eur J Cancer Prev. 2022;31:270-273.  [RCA]  [PubMed]  [DOI]  [Full Text]  [Cited by in Crossref: 1]  [Cited by in RCA: 6]  [Article Influence: 1.5]  [Reference Citation Analysis (0)]
8.  Ma M, Zheng Z, Zeng Z, Li J, Ye X, Kang W. Perioperative Enteral Immunonutrition Support for the Immune Function and Intestinal Mucosal Barrier in Gastric Cancer Patients Undergoing Gastrectomy: A Prospective Randomized Controlled Study. Nutrients. 2023;15:4566.  [RCA]  [PubMed]  [DOI]  [Full Text]  [Full Text (PDF)]  [Cited by in Crossref: 26]  [Cited by in RCA: 24]  [Article Influence: 8.0]  [Reference Citation Analysis (0)]
9.  Tan S, Zheng Q, Zhang W, Zhou M, Xia C, Feng W. Prognostic value of inflammatory markers NLR, PLR, and LMR in gastric cancer patients treated with immune checkpoint inhibitors: a meta-analysis and systematic review. Front Immunol. 2024;15:1408700.  [RCA]  [PubMed]  [DOI]  [Full Text]  [Full Text (PDF)]  [Cited by in RCA: 62]  [Reference Citation Analysis (1)]
10.  Yu L, Jiang R, Chen W, Liu Y, Wang G, Gong X, Wang Y. Novel prognostic indicator combining inflammatory indicators and tumor markers for gastric cancer. World J Surg Oncol. 2023;21:50.  [RCA]  [PubMed]  [DOI]  [Full Text]  [Cited by in RCA: 11]  [Reference Citation Analysis (0)]
11.  Pikuła A, Skórzewska M, Pelc Z, Mlak R, Gęca K, Sędłak K, Ciseł B, Kwietniewska M, Rawicz-Pruszyński K, Polkowski WP. Prognostic Value of Systemic Inflammatory Response Markers in Patients Undergoing Neoadjuvant Chemotherapy and Gastrectomy for Advanced Gastric Cancer in the Eastern European Population. Cancers (Basel). 2022;14:1997.  [RCA]  [PubMed]  [DOI]  [Full Text]  [Full Text (PDF)]  [Cited by in Crossref: 1]  [Cited by in RCA: 17]  [Article Influence: 4.3]  [Reference Citation Analysis (0)]
12.  Gavriilidis P, Pawlik TM. Inflammatory indicators such as systemic immune inflammation index (SIII), systemic inflammatory response index (SIRI), neutrophil-to-lymphocyte ratio (NLR) and platelet-to-lymphocyte ratio (PLR) as prognostic factors of curative hepatic resections for hepatocellular carcinoma. Hepatobiliary Surg Nutr. 2024;13:509-511.  [RCA]  [PubMed]  [DOI]  [Full Text]  [Full Text (PDF)]  [Cited by in Crossref: 39]  [Cited by in RCA: 34]  [Article Influence: 17.0]  [Reference Citation Analysis (0)]
13.  Zhang S, Cheng T. Prognostic and clinicopathological value of systemic inflammation response index (SIRI) in patients with breast cancer: a meta-analysis. Ann Med. 2024;56:2337729.  [RCA]  [PubMed]  [DOI]  [Full Text]  [Cited by in Crossref: 2]  [Cited by in RCA: 48]  [Article Influence: 24.0]  [Reference Citation Analysis (0)]
14.  Nøst TH, Alcala K, Urbarova I, Byrne KS, Guida F, Sandanger TM, Johansson M. Systemic inflammation markers and cancer incidence in the UK Biobank. Eur J Epidemiol. 2021;36:841-848.  [RCA]  [PubMed]  [DOI]  [Full Text]  [Full Text (PDF)]  [Cited by in Crossref: 465]  [Cited by in RCA: 404]  [Article Influence: 80.8]  [Reference Citation Analysis (5)]
15.  Zheng Y, Chen Y, Chen J, Chen W, Pan Y, Bao L, Gao X. Combination of Systemic Inflammation Response Index and Platelet-to-Lymphocyte Ratio as a Novel Prognostic Marker of Upper Tract Urothelial Carcinoma After Radical Nephroureterectomy. Front Oncol. 2019;9:914.  [RCA]  [PubMed]  [DOI]  [Full Text]  [Full Text (PDF)]  [Cited by in Crossref: 10]  [Cited by in RCA: 38]  [Article Influence: 5.4]  [Reference Citation Analysis (0)]
16.  Fang T, Yin X, Wang Y, Zhang L, Yang S, Jiang X, Xue Y. Clinical significance of systemic inflammation response index and platelet-lymphocyte ratio in patients with adenocarcinoma of the esophagogastric junction and upper gastric cancer. Heliyon. 2024;10:e26176.  [RCA]  [PubMed]  [DOI]  [Full Text]  [Full Text (PDF)]  [Cited by in RCA: 6]  [Reference Citation Analysis (0)]
17.  Chen Q, Zhang L, Liu S, You J, Chen L, Jin Z, Zhang S, Zhang B. Radiomics in precision medicine for gastric cancer: opportunities and challenges. Eur Radiol. 2022;32:5852-5868.  [RCA]  [PubMed]  [DOI]  [Full Text]  [Cited by in Crossref: 88]  [Cited by in RCA: 69]  [Article Influence: 17.3]  [Reference Citation Analysis (0)]
18.  Matsuoka T, Yashiro M. Novel biomarkers for early detection of gastric cancer. World J Gastroenterol. 2023;29:2515-2533.  [PubMed]  [DOI]  [Full Text]
19.  Pinheiro Ddo R, Ferreira WA, Barros MB, Araújo MD, Rodrigues-Antunes S, Borges Bdo N. Perspectives on new biomarkers in gastric cancer: diagnostic and prognostic applications. World J Gastroenterol. 2014;20:11574-11585.  [RCA]  [PubMed]  [DOI]  [Full Text]  [Full Text (PDF)]  [Cited by in CrossRef: 23]  [Cited by in RCA: 30]  [Article Influence: 2.5]  [Reference Citation Analysis (0)]
20.  Ma S, Zhou M, Xu Y, Gu X, Zou M, Abudushalamu G, Yao Y, Fan X, Wu G. Clinical application and detection techniques of liquid biopsy in gastric cancer. Mol Cancer. 2023;22:7.  [RCA]  [PubMed]  [DOI]  [Full Text]  [Full Text (PDF)]  [Cited by in Crossref: 165]  [Cited by in RCA: 135]  [Article Influence: 45.0]  [Reference Citation Analysis (2)]
21.  Li GZ, Doherty GM, Wang J. Surgical Management of Gastric Cancer: A Review. JAMA Surg. 2022;157:446-454.  [RCA]  [PubMed]  [DOI]  [Full Text]  [Cited by in Crossref: 230]  [Cited by in RCA: 209]  [Article Influence: 52.3]  [Reference Citation Analysis (2)]
22.  Souza WP, Pereira MA, Cardili L, Zilberstein B, Ribeiro-Junior U, Ramos MFKP. Evaluation of the endoscopic cure criteria in patients undergoing surgery for early gastric cancer. J Surg Oncol. 2024;130:743-749.  [RCA]  [PubMed]  [DOI]  [Full Text]  [Cited by in Crossref: 3]  [Cited by in RCA: 3]  [Article Influence: 1.5]  [Reference Citation Analysis (1)]
23.  Ajani JA, D'Amico TA, Bentrem DJ, Chao J, Cooke D, Corvera C, Das P, Enzinger PC, Enzler T, Fanta P, Farjah F, Gerdes H, Gibson MK, Hochwald S, Hofstetter WL, Ilson DH, Keswani RN, Kim S, Kleinberg LR, Klempner SJ, Lacy J, Ly QP, Matkowskyj KA, McNamara M, Mulcahy MF, Outlaw D, Park H, Perry KA, Pimiento J, Poultsides GA, Reznik S, Roses RE, Strong VE, Su S, Wang HL, Wiesner G, Willett CG, Yakoub D, Yoon H, McMillian N, Pluchino LA. Gastric Cancer, Version 2.2022, NCCN Clinical Practice Guidelines in Oncology. J Natl Compr Canc Netw. 2022;20:167-192.  [RCA]  [PubMed]  [DOI]  [Full Text]  [Cited by in Crossref: 1400]  [Cited by in RCA: 1229]  [Article Influence: 307.3]  [Reference Citation Analysis (5)]
24.  Kim JH, Bae YJ, Jun KH, Chin HM. The prevalence and clinical significance of postgastrectomy anemia in patients with early-stage gastric cancer: A retrospective cohort study. Int J Surg. 2018;52:61-66.  [RCA]  [PubMed]  [DOI]  [Full Text]  [Cited by in Crossref: 12]  [Cited by in RCA: 19]  [Article Influence: 2.4]  [Reference Citation Analysis (0)]
25.  An S, Eo W, Lee S. Comparison of the Clinical Value of the Geriatric Nutritional Risk Index and Prognostic Nutritional Index as Determinants of Survival Outcome in Patients with Gastric Cancer. J Cancer. 2022;13:3348-3357.  [RCA]  [PubMed]  [DOI]  [Full Text]  [Full Text (PDF)]  [Cited by in RCA: 13]  [Reference Citation Analysis (0)]
26.  Mahiddine K, Blaisdell A, Ma S, Créquer-Grandhomme A, Lowell CA, Erlebacher A. Relief of tumor hypoxia unleashes the tumoricidal potential of neutrophils. J Clin Invest. 2020;130:389-403.  [RCA]  [PubMed]  [DOI]  [Full Text]  [Cited by in Crossref: 45]  [Cited by in RCA: 123]  [Article Influence: 20.5]  [Reference Citation Analysis (0)]
27.  Blaisdell A, Crequer A, Columbus D, Daikoku T, Mittal K, Dey SK, Erlebacher A. Neutrophils Oppose Uterine Epithelial Carcinogenesis via Debridement of Hypoxic Tumor Cells. Cancer Cell. 2015;28:785-799.  [RCA]  [PubMed]  [DOI]  [Full Text]  [Cited by in Crossref: 96]  [Cited by in RCA: 146]  [Article Influence: 13.3]  [Reference Citation Analysis (0)]
28.  Cai Z, Tang X, Liang H, Yang R, Yan T, Guo W. Prognosis and risk factors for malignant peripheral nerve sheath tumor: a systematic review and meta-analysis. World J Surg Oncol. 2020;18:257.  [RCA]  [PubMed]  [DOI]  [Full Text]  [Full Text (PDF)]  [Cited by in Crossref: 14]  [Cited by in RCA: 79]  [Article Influence: 13.2]  [Reference Citation Analysis (0)]
29.  Barton MK. Primary tumor location found to impact prognosis and response to therapy in patients with metastatic colorectal cancer. CA Cancer J Clin. 2017;67:259-260.  [RCA]  [PubMed]  [DOI]  [Full Text]  [Cited by in Crossref: 13]  [Cited by in RCA: 21]  [Article Influence: 2.3]  [Reference Citation Analysis (0)]
30.  Wang QY, Zhong WT, Xiao Y, Lin GL, Lu JY, Xu L, Zhang GN, Du JF, Wu B. Pan-immune-inflammation value as a prognostic biomarker for colon cancer and its variation by primary tumor location. World J Gastroenterol. 2024;30:3823-3836.  [RCA]  [PubMed]  [DOI]  [Full Text]  [Full Text (PDF)]  [Cited by in RCA: 13]  [Reference Citation Analysis (1)]
31.  Xie X, Li X, Tang W, Xie P, Tan X. Primary tumor location in lung cancer: the evaluation and administration. Chin Med J (Engl). 2021;135:127-136.  [RCA]  [PubMed]  [DOI]  [Full Text]  [Cited by in Crossref: 50]  [Cited by in RCA: 42]  [Article Influence: 8.4]  [Reference Citation Analysis (0)]
32.  Lee HW, Park YS, Park S, Lee CH. Poor prognosis of NSCLC located in lower lobe is partly mediated by lower frequency of EGFR mutations. Sci Rep. 2020;10:14933.  [RCA]  [PubMed]  [DOI]  [Full Text]  [Full Text (PDF)]  [Cited by in Crossref: 4]  [Cited by in RCA: 14]  [Article Influence: 2.3]  [Reference Citation Analysis (0)]
33.  Siotos C, McColl M, Psoter K, Gilmore RC, Sebai ME, Broderick KP, Jacobs LK, Irwin S, Rosson GD, Habibi M. Tumor Site and Breast Cancer Prognosis. Clin Breast Cancer. 2018;18:e1045-e1052.  [RCA]  [PubMed]  [DOI]  [Full Text]  [Cited by in Crossref: 13]  [Cited by in RCA: 34]  [Article Influence: 4.3]  [Reference Citation Analysis (0)]
34.  Jing Y, Ren M, Li X, Sun X, Xiao Y, Xue J, Liu Z. The Effect of Systemic Immune-Inflammatory Index (SII) and Prognostic Nutritional Index (PNI) in Early Gastric Cancer. J Inflamm Res. 2024;17:10273-10287.  [RCA]  [PubMed]  [DOI]  [Full Text]  [Full Text (PDF)]  [Cited by in RCA: 25]  [Reference Citation Analysis (0)]
35.  Schietroma M, Romano L, Schiavi D, Pessia B, Mattei A, Fiasca F, Carlei F, Giuliani A. Systemic inflammation response index (SIRI) as predictor of anastomotic leakage after total gastrectomy for gastric cancer. Surg Oncol. 2022;43:101791.  [RCA]  [PubMed]  [DOI]  [Full Text]  [Cited by in RCA: 24]  [Reference Citation Analysis (0)]
36.  Fu K, Cheung AHK, Wong CC, Liu W, Zhou Y, Wang F, Huang P, Yuan K, Coker OO, Pan Y, Chen D, Lam NM, Gao M, Zhang X, Huang H, To KF, Sung JJY, Yu J. Streptococcus anginosus promotes gastric inflammation, atrophy, and tumorigenesis in mice. Cell. 2024;187:882-896.e17.  [RCA]  [PubMed]  [DOI]  [Full Text]  [Cited by in Crossref: 215]  [Cited by in RCA: 188]  [Article Influence: 94.0]  [Reference Citation Analysis (1)]
37.  Orellana R, Kato S, Erices R, Bravo ML, Gonzalez P, Oliva B, Cubillos S, Valdivia A, Ibañez C, Brañes J, Barriga MI, Bravo E, Alonso C, Bustamente E, Castellon E, Hidalgo P, Trigo C, Panes O, Pereira J, Mezzano D, Cuello MA, Owen GI. Platelets enhance tissue factor protein and metastasis initiating cell markers, and act as chemoattractants increasing the migration of ovarian cancer cells. BMC Cancer. 2015;15:290.  [RCA]  [PubMed]  [DOI]  [Full Text]  [Full Text (PDF)]  [Cited by in Crossref: 87]  [Cited by in RCA: 90]  [Article Influence: 8.2]  [Reference Citation Analysis (0)]
38.  Coupland LA, Parish CR. Platelets, selectins, and the control of tumor metastasis. Semin Oncol. 2014;41:422-434.  [RCA]  [PubMed]  [DOI]  [Full Text]  [Cited by in Crossref: 60]  [Cited by in RCA: 54]  [Article Influence: 4.5]  [Reference Citation Analysis (1)]
39.  Quigley DA, Kristensen V. Predicting prognosis and therapeutic response from interactions between lymphocytes and tumor cells. Mol Oncol. 2015;9:2054-2062.  [RCA]  [PubMed]  [DOI]  [Full Text]  [Full Text (PDF)]  [Cited by in Crossref: 109]  [Cited by in RCA: 109]  [Article Influence: 9.9]  [Reference Citation Analysis (0)]
40.  Nakamoto S, Ohtani Y, Sakamoto I, Hosoda A, Ihara A, Naitoh T. Systemic Immune-Inflammation Index Predicts Tumor Recurrence after Radical Resection for Colorectal Cancer. Tohoku J Exp Med. 2023;261:229-238.  [RCA]  [PubMed]  [DOI]  [Full Text]  [Cited by in Crossref: 63]  [Cited by in RCA: 56]  [Article Influence: 18.7]  [Reference Citation Analysis (0)]
41.  Yang M, Lin SQ, Liu XY, Tang M, Hu CL, Wang ZW, Zhang Q, Zhang X, Song MM, Ruan GT, Zhang XW, Liu T, Xie HL, Zhang HY, Liu CA, Zhang KP, Li QQ, Li XR, Ge YZ, Liu YY, Chen Y, Zheng X, Shi HP. Association between C-reactive protein-albumin-lymphocyte (CALLY) index and overall survival in patients with colorectal cancer: From the investigation on nutrition status and clinical outcome of common cancers study. Front Immunol. 2023;14:1131496.  [RCA]  [PubMed]  [DOI]  [Full Text]  [Full Text (PDF)]  [Cited by in RCA: 135]  [Reference Citation Analysis (0)]
42.  Ren JY, Wang D, Zhu LH, Liu S, Yu M, Cai H. Combining systemic inflammatory response index and albumin fibrinogen ratio to predict early serious complications and prognosis after resectable gastric cancer. World J Gastrointest Oncol. 2024;16:732-749.  [RCA]  [PubMed]  [DOI]  [Full Text]  [Full Text (PDF)]  [Cited by in RCA: 7]  [Reference Citation Analysis (4)]
43.  Ying HQ, Liao YC, Sun F, Peng HX, Cheng XX. The Role of Cancer-Elicited Inflammatory Biomarkers in Predicting Early Recurrence Within Stage II-III Colorectal Cancer Patients After Curable Resection. J Inflamm Res. 2021;14:115-129.  [RCA]  [PubMed]  [DOI]  [Full Text]  [Full Text (PDF)]  [Cited by in Crossref: 25]  [Cited by in RCA: 27]  [Article Influence: 5.4]  [Reference Citation Analysis (4)]
44.  Chen L, Chen Y, Zhang L, Xue Y, Zhang S, Li X, Song H. In Gastric Cancer Patients Receiving Neoadjuvant Chemotherapy Systemic Inflammation Response Index is a Useful Prognostic Indicator. Pathol Oncol Res. 2021;27:1609811.  [RCA]  [PubMed]  [DOI]  [Full Text]  [Full Text (PDF)]  [Cited by in Crossref: 32]  [Cited by in RCA: 28]  [Article Influence: 5.6]  [Reference Citation Analysis (0)]
45.  Yamamoto T, Kawada K, Obama K. Inflammation-Related Biomarkers for the Prediction of Prognosis in Colorectal Cancer Patients. Int J Mol Sci. 2021;22:8002.  [RCA]  [PubMed]  [DOI]  [Full Text]  [Full Text (PDF)]  [Cited by in Crossref: 397]  [Cited by in RCA: 337]  [Article Influence: 67.4]  [Reference Citation Analysis (8)]
46.  Röcken C. Predictive biomarkers in gastric cancer. J Cancer Res Clin Oncol. 2023;149:467-481.  [RCA]  [PubMed]  [DOI]  [Full Text]  [Full Text (PDF)]  [Cited by in Crossref: 150]  [Cited by in RCA: 121]  [Article Influence: 40.3]  [Reference Citation Analysis (8)]
Footnotes

Provenance and peer review: Unsolicited article; Externally peer reviewed.

Peer-review model: Single blind

Specialty type: Gastroenterology and hepatology

Country of origin: China

Peer-review report’s classification

Scientific Quality: Grade A, Grade A

Novelty: Grade A, Grade B

Creativity or Innovation: Grade A, Grade A

Scientific Significance: Grade A, Grade A

Open Access: This article is an open-access article that was selected by an in-house editor and fully peer-reviewed by external reviewers. It is distributed in accordance with the Creative Commons Attribution NonCommercial (CC BY-NC 4.0) license, which permits others to distribute, remix, adapt, build upon this work non-commercially, and license their derivative works on different terms, provided the original work is properly cited and the use is non-commercial. See: https://creativecommons.org/Licenses/by-nc/4.0/

P-Reviewer: Guo SB, PhD, China S-Editor: Luo ML L-Editor: A P-Editor: Zhao YQ

Write to the Help Desk