BPG is committed to discovery and dissemination of knowledge
Retrospective Study Open Access
Copyright ©The Author(s) 2025. Published by Baishideng Publishing Group Inc. All rights reserved.
World J Gastrointest Surg. Oct 27, 2025; 17(10): 110695
Published online Oct 27, 2025. doi: 10.4240/wjgs.v17.i10.110695
Influencing factors and predictive model of the early postoperative recurrence of colorectal cancer with obstruction
Jie Qiu, Jian-Zhong Wu, Zhi-Gang Gu, Jia-Wei Qian, Tao Shen, Department of Gastrointestinal Surgery, Suzhou Ninth Hospital Affiliated to Soochow University (Suzhou Ninth People's Hospital), Suzhou 215200, Jiangsu Province, China
ORCID number: Tao Shen (0009-0003-2494-2924).
Author contributions: Qiu J and Shen T research and write a manuscript; Wu JZ, Gu ZG and Qian JW contributed to conceiving the research and analyzing data; Qiu J and Shen T conducted the analysis and provided guidance for the research; all authors reviewed and approved the final manuscript.
Institutional review board statement: This study has been approved by the Ethics Committee of Suzhou Ninth People's Hospital.
Informed consent statement: Due to the retrospective and de-identified nature of this study, written informed consent was waived.
Conflict-of-interest statement: All authors declare that there is no conflict of interest.
Data sharing statement: No additional data are available.
Open Access: This article is an open-access article that was selected by an in-house editor and fully peer-reviewed by external reviewers. It is distributed in accordance with the Creative Commons Attribution NonCommercial (CC BY-NC 4.0) license, which permits others to distribute, remix, adapt, build upon this work non-commercially, and license their derivative works on different terms, provided the original work is properly cited and the use is non-commercial. See: https://creativecommons.org/Licenses/by-nc/4.0/
Corresponding author: Tao Shen, Department of Gastrointestinal Surgery, Suzhou Ninth Hospital affiliated to Soochow University (Suzhou Ninth People's Hospital), No. 2666 Ludang Road, Wujiang District, Suzhou 215200, Jiangsu Province, China. szjyshentao@163.com
Received: June 27, 2025
Revised: July 30, 2025
Accepted: August 13, 2025
Published online: October 27, 2025
Processing time: 118 Days and 23.9 Hours

Abstract
BACKGROUND

In cases of colorectal cancer (CRC) with obstruction, patients experience local tissue edema due to intestinal obstruction. This condition stimulates the accumulation of inflammatory factors, activates cancer cells, and increases the risk of tumor recurrence. At present, analyses and evaluation tools for factors influencing early postoperative recurrence in patients with CRC and obstruction are limited.

AIM

To explore the influencing factors and construct a predictive model of the early postoperative recurrence of CRC with obstruction.

METHODS

Data from 181 patients with CRC and obstruction who underwent surgery in the Department of Gastrointestinal Surgery, Suzhou Ninth Hospital Affiliated to Soochow University, between January 2017 and May 2023 were retrospectively collected. Patients with CRC and obstruction were divided into a recurrence group and a non-recurrence group based on whether recurrence occurred during the 2-year follow-up after surgery. Datasets from the two groups were compared. Subsequently, multiple logistic regression was employed to analyze the influencing factors of the early postoperative recurrence of CRC with obstruction. The nomogram prediction model was drawn using R software, and its performance was evaluated by the goodness of fit test and receiver operating characteristic (ROC) curve analysis. The clinical benefit rate of the model was evaluated by decision curves.

RESULTS

Among the 181 patients with CRC and obstruction, 52 (28.73%) experienced tumor recurrence within 2 years after surgery. Significant differences were observed in preoperative carcinoembryonic antigen (CEA), preoperative systemic immune-inflammation index (SII), tumor, node, and metastasis (TNM) stage, differentiation degree, nerve infiltration, and Ki-67 expression between the recurrence and non-recurrence groups (P < 0.05). Multivariate logistic regression analysis showed that high preoperative CEA (OR = 2.094, P = 0.008), high preoperative SII (OR = 2.795, P < 0.001), TNM stage III (OR = 1.644, P = 0.027), poor differentiation (OR = 1.861, P = 0.035), and high Ki-67 expression (OR = 2.467, P = 0.001) were all influencing factors for early postoperative recurrence of CRC with obstruction. The area under the ROC curve of the nomograph model constructed based on this was 0.890, the goodness of fit deviation test was conducted (χ2 = 3.903, P = 0.866), and the decision curve display model demonstrated practical value in clinical practice.

CONCLUSION

The early recurrence rate of CRC with obstruction is high. CEA, SII, TNM staging, differentiation degree, and Ki-67 expression are factors related to early postoperative recurrence. A nomogram prediction model incorporating these factors can effectively evaluate the risk of early postoperative recurrence in patients with CRC.

Key Words: Colorectal cancer; Obstruction; Early recurrence; Influencing factors; Prediction model

Core Tip: Colorectal cancer (CRC) with intestinal obstruction is at risk of recurrence following surgery. This study analyzed factors influencing early postoperative recurrence of CRC with obstruction and constructed a nomogram prediction model. This model provides significant guidance for the clinical evaluation of the early postoperative recurrence risk in patients with CRC and intestinal obstruction and focuses on targeted measures to reduce the early recurrence risk.



INTRODUCTION

Colorectal cancer (CRC) is a common malignant tumor in gastrointestinal surgery and becomes the third most common cancer worldwide[1]. Intestinal obstruction is the initial clinical symptom in some patients with CRC[2]. CRC with obstruction can cause pathophysiological changes such as increased intestinal pressure, intestinal wall edema, and water and electrolyte disorders. Severe cases can be fatal. Thus, urgent and potentially life-saving decompression[3] is necessary to alleviate the symptoms of obstruction and improve the success rate of radical resection of CRC. However, CRC with obstruction is more complicated. Regarding surgical treatment, compared with CRC alone, CRC with obstruction is more prone to tumor metastasis and recurrence after surgery[4] and has a worse prognosis[5]. At present, the American Society of Clinical Oncology guidelines have listed concomitant obstruction as a high-risk factor for recurrence following stage II CRC resection[6]. A study reported significantly higher local recurrence rates in patients with CRC obstruction who underwent surgery, and most patients experience a relapse within 2 years after surgery[7]. Understanding the influencing factors of early postoperative recurrence of CRC with obstruction is helpful for clinicians in implementing measures that can reduce the recurrence risk. Accurately predicting the risk of disease recurrence is essential for implementing targeted measures to reduce recurrence, which requires clarifying factors that contribute to recurrence. This study aimed to explore factors contributing to the early recurrence of CRC with obstruction and construct a prediction model as a reference for postoperative individualized management and prevention of the recurrence of CRC with obstruction.

MATERIALS AND METHODS
Research object

In this retrospective study, data from 181 patients with CRC and obstruction who underwent surgical treatment in the Department of Gastrointestinal Surgery, Suzhou Ninth Hospital Affiliated to Soochow University, between January 2017 and May 2023, were collected.

The inclusion criteria: (1) Conform to the diagnostic criteria of CRC in the Chinese Expert Consensus on Early Diagnosis and Treatment of CRC (2023 Edition)[8] and confirmed by pathology, and imaging examination revealed intestinal obstruction; (2) Complete clinical data; (3) Absence of major cardiovascular disease; and (4) Follow-up for 2 years after surgery and complete follow-up data.

The exclusion criteria: (1) CRC and other malignant tumors present; (2) Non-primary CRC, caused by metastasis from other tumors; and (3) Not a first-time diagnosis of CRC with obstruction, such as intestinal obstruction caused by CRC or other disease recurrence.

Data collection

Patients’ electronic cases, preoperative blood examination sheets, surgical records, pathological examination sheets, postoperative adjuvant treatment measures, and other information were obtained from the hospital information system. The patient’s age, body mass index, sex, preoperative peripheral blood carcinoembryonic antigen (CEA) level, carbohydrate antigen 19-9 (CA19-9) level, SII, surgical method, postoperative radiotherapy and chemotherapy, obstruction site, obstruction type, tumor size, tumor, node, and metastasis (TNM) stage, differentiation degree, pathological type, nerve invasion, tumor microsatellite instability, Ki-67 expression, and other indicators were collected. SII value = platelet count × neutrophil/Lymphocyte[9].

Follow-up method

Each patient was followed up for 2 years after discharge. The follow-up was conducted during hospitalization and outpatient consultation. The patients came to the hospital for review once every 3 months. To assess the patient’s condition, follow-up content included monitoring patients’ tumor markers CEA and CA19-9 indicators (positive criteria, CEA > 5 ng/mL; CA19-9 > 37 U/mL) and imaging examinations (such as chest and abdomen computed tomography (CT), abdominal B ultrasonography, and electronic colonoscopy).

Definition of early recurrence

Recurrence was defined as the detection of CEA or CA19-9 during follow-up and tumors with the same pathology as the primary tumor determined based on CT, magnetic resonance imaging, B-ultrasonography, or biopsy histology[10]. Early postoperative recurrence was defined as recurrence occurring within 2 years after surgery[11]. Patients who experience recurrence during the 2-year postoperative follow-up were included in the recurrence group, whereas those who do not experience recurrence were enrolled in the non-recurrence group.

Statistical procedure

IBM SPSS Statistics version 25.0 (IBM Corp., Armonk, NY, United States) was used to analyze the data, and the number of data cases and their rates (%) were described. The exact χ2 test was conducted to compare cases ≤ 5 in a subgroup, and the Pearson χ2 test was performed to compare cases > 5 in a subgroup. Measurement data are presented as mean ± SD, and the comparison between the two groups was conducted using the t-test. Indexes with P < 0.05 when compared between the two groups were included in the multivariate logistic regression analysis to identify the factors influencing the early postoperative recurrence of CRC with obstruction. The selected influencing factors were used as predictors, and R4.0.3 software was used to visualize them and obtain a nomogram prediction model. Model performance was evaluated by the goodness of fit test and receiver operating characteristic (ROC) curve analysis. The clinical benefit rate of the model was evaluated by decision curves.

RESULTS
Univariate analysis of early postoperative recurrence of CRC with obstruction

Among the 181 patients with CRC and obstruction, 52 (28.73%) had tumor recurrence within 2 years after surgery. Significant differences were noted in preoperative CEA, preoperative SII, TNM stage, differentiation degree, nerve invasion, and Ki-67 expression between the recurrence and non-recurrence group (P < 0.05; Table 1).

Table 1 Univariate analysis of early postoperative recurrence in patients with colorectal cancer with obstruction.
Characteristics
Relapse group (n = 52)
No-recurrent group (n = 129)
t/χ2 value
P value
Age (years)62.55 ± 5.7660.47 ± 8.491.6210.107
BMI (kg/m2)23.58 ± 2.0423.96 ± 2.171.0840.279
Gender0.14010.708
    Male33 (63.46)78 (60.47)
    Female19 (36.54)51 (39.53)
Preoperative CEA (ng/mL) 9.78 ± 2.647.92 ± 1.875.346< 0.001
Preoperative CA199 (U/mL) 27.26 ± 3.3926.47 ± 3.011.5400.125
Preoperative SII387.65 ± 49.52320.65 ± 38.689.699< 0.001
Surgical method1.85310.173
    Radical resection22 (42.31)69 (53.49)
    Palliative resection30 (57.69)60 (46.51)
Postoperative radiotherapy/chemotherapy0.38010.539
    Have34 (65.38)78 (60.47)
    Not have18 (34.62)51 (39.53)
Obstruction site0.55610.757
    Right hemicolon16 (30.77)45 (34.88)
    Left colon19 (36.54)40 (31.01)
    Rectum17 (32.69)44 (34.11)
Obstruction types1.76510.184
    Complete obstruction25 (48.08)76 (58.91)
    Incomplete obstruction27 (51.92)53 (41.09)
Tumor size (cm)5.23 ± 1.394.95 ± 1.021.4980.136
TNM stage10.57920.004
    Phase I5 (9.62)11 (8.52)
    Phase II10 (19.23)57 (44.19)
    Phase III37 (71.15)61 (47.29)
Degree of differentiation9.41920.008
    High4 (7.69)13 (10.08)
    Moderately11 (21.16)56 (43.41)
    Low37 (71.15)60 (46.51)
Pathological type0.91510.339
    Adenocarcinoma25 (48.08)52 (40.31)
    Mucinous adenocarcinoma27 (51.92)77 (59.69)
Perineural invasion4.35910.037
    Have29 (55.77)50 (38.76)
    Not have23 (44.23)79 (61.24)
MSI3.68610.055
    MSI-H17 (32.69)25 (19.38)
    MSI-L/MSS35 (67.31)104 (80.62)
Ki-67 express (%)36.43 ± 9.1726.57 ± 6.638.065< 0.001
Multivariate logistic regression analysis of early postoperative recurrence in patients with CRC and obstruction

Using whether early postoperative tumor recurrence occurred in patients with CRC and obstruction (0 = no; 1 = yes) as the dependent variable, indicators with P < 0.05 in the univariate analysis were used as independent variables, and the values of the relevant indicators are shown in Table 2. Multivariate logistic regression analysis showed that high preoperative CEA, high preoperative SII, TNM stage III, low differentiation degree, and high Ki-67 expression are factors contributing to the early postoperative recurrence in patients with CRC and obstruction (P < 0.05; Table 3).

Table 2 Explanation of variable assignment.
Variable
Data type
Assignment description
Preoperative CEAContinuous variable dataEnter actual value
Preoperative SIIContinuous variable dataEnter actual value
TNM stageCategorical data0 = Phase I; 1 = phase II; 2 = phase III
Degree of differentiationCategorical data0 = High; 1 = moderately; 2 = low
Perineural invasionCategorical data0 = Not have; 1 = have
Ki-67 expressionContinuous variable dataEnter actual value
Table 3 Multivariate logistic regression analysis results of early postoperative recurrence in colorectal cancer patients with obstruction.
Variable
β
SE
χ2
P value
OR (95%CI)
Preoperative CEA0.7390.2797.0160.0082.094 (1.212-3.618)
Preoperative SII1.0280.29012.566< 0.0012.795 (1.584-4.933)
TNM stage was stage III0.4970.2254.8790.0271.644 (1.058-2.554)
Degree of differentiation is low differentiation0.6210.2944.4620.0351.861 (1.046-3.310)
Perineural invasion0.3750.2182.9590.0861.455 (0.949-2.231)
Ki-67 expression0.9030.27410.8610.0012.467 (1.441-4.220)
Construction of a predictive model for early postoperative recurrence risk in patients with CRC and obstruction

Based on the results of the multivariate logistic regression analysis, CEA, SII, TNM stage, differentiation degree, and Ki-67 expression index were used as predictors when constructing a nomogram model for predicting early postoperative recurrence of CRC with obstruction (Figure 1). In the nomogram model, each factor corresponded to a specific score represented by a vertical point on the nomogram axis. The total score was the sum of the scores of each factor. The corresponding vertical decline of the total score indicates the risk of early postoperative recurrence of CRC with obstruction.

Figure 1
Figure 1 Prediction model nomogram expression. CEA: Carcinoembryonic antigen; SII: Systemic immune-inflammation index; TNM: Tumor, node, and metastasis.
Effectiveness of a predictive model for early postoperative recurrence risk in patients with CRC and obstruction

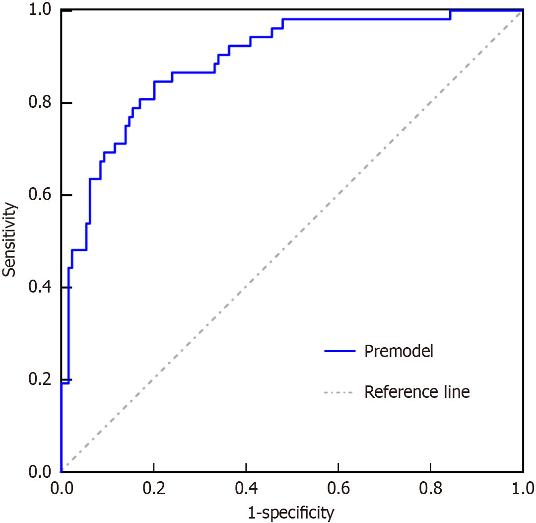
After analysis, the area under the ROC curve of the model was 0.890 (95%CI: 0.823-0.931), indicating that the model has certain predictive ability (Figure 2). The deviation between the predicted and actual values of the goodness of fit test model was not significant (χ2 = 3.903, P = 0.866), indicating the good fit of the model. Decision curve analysis showed that the net benefit rate of the threshold probability range of the prediction model was higher than that of the extreme curve (assuming that all patients will and will not experience a relapse early), indicating that the prediction model has clinical practical value (Figure 3).

Figure 2
Figure 2  Receiver operating characteristic curve analysis of prediction model.
Figure 3
Figure 3  Decision curve analysis of prediction model.
DISCUSSION

The overall recurrence rate after CRC surgery is high[12], of which 30%-50% of CRC recurrence cases occur within the first 2 years after surgery[13]. A study showed that colorectal obstruction significantly increases the risk of postoperative CRC recurrence[14]. Accordingly, in the present study, the tumor recurrence rate of patients with CRC and obstruction within 2 years after surgery was 28.73%. The high rate of the early recurrence of CRC and obstruction may stem from the harsh environment caused by obstruction, such as local tissue edema, resulting in the thinning of the intestinal walls, and deteriorating tissue blood supply. Consequently, toxic substances accumulate, which stimulate the aggregation of inflammatory factors, activate cancer cells, and increase the recurrence rate[15]. In addition, the limitations of emergency surgery, such as the inability to initiate neoadjuvant therapy, difficulty of surgery, low R0 resection rate, and frequent need for a stoma, may also increase the recurrence risk.

CEA is one of the most important and reliable diagnostic and prognostic markers of CRC. It is associated with tumorigenesis, cell adhesion, tumor angiogenesis, molecular signal transduction, and tumor immunity[16]. The accuracy of CEA in predicting postoperative recurrence of CRC depends on its initial level[17]. Iacuzzo et al[18] found that preoperative serum CEA level can stratify the risk of postoperative recurrence in patients with CRC. In the present study, a high preoperative CEA level was found to be a risk factor for early recurrence of CRC with obstruction, suggesting the importance of preoperative serum CEA status in the prognosis of patients with CRC. Another study also showed that the preoperative serum CEA level is a reliable predictive factor for postoperative recurrence of CRC[19], consistent with the results of the present study.

The evasion of immune response and inflammatory cells is crucial in the proliferation and invasion of CRC cells[20]. SII is calculated using neutrophil, lymphocyte, and platelet counts[21] and can reflect the balance between the body’s immune and inflammatory responses[22]. SII was found to predict the overall survival of patients with CRC[23]. However, the effect of SII on early postoperative recurrence of CRC is still unclear. In this study, a high preoperative SII was identified as a risk factor for early postoperative recurrence of CRC with obstruction, indicating the important role of preoperative SII status in postoperative recurrence of CRC. A possible mechanism is that colorectal obstruction triggers neutrophils to release chemokines, which, through chemokine receptors, differentiate into tumor-associated macrophages, producing more inflammatory cytokines and amplifying inflammation. In addition, colorectal obstruction can result in red blood cell aggregation, promote platelet elevation, and incite an inflammatory response. In addition, lymphopenia occurs alongside CRC progression, which mediates the inhibition of immune function and helps cancer cells escape the body’s antitumor immunity[24]. Therefore, the synergistic effect of increases in neutrophil and platelet counts and a decrease of low lymphocyte count will enhance the inflammatory reaction of the body tissue, leading to microenvironment abnormalities, immune suppression, and increased risk of disease recurrence. SII, a composite index, is easily obtainable in clinical settings. Utilizing it to evaluate the risk of early postoperative recurrence in patients with CRC and obstruction may be more comprehensive and accurate.

TNM staging categorizes cancer based on the location of the primary tumor, presence of regional lymph node metastasis, and distant metastasis, providing a more accurate prognosis assessment. A study reported that a higher recurrence rate in patients with stage II/III CRC following radical resection[25]. Liska et al[26] found that the early postoperative recurrence rate of patients with stage III CRC in TNM staging was higher than that of patients with stage II, indicating that the higher the pathological stage of the tumor after surgery, the greater the risk of early recurrence. According to Nors et al[27], the time from surgery to recurrence in patients with stage III CRC is shorter than that in patients with stages I and II, indirectly supporting the findings of this study that TNM staging is an influencing factor for early postoperative recurrence of CRC with obstruction. In addition to TNM staging, the degree of tumor differentiation can serve as a predictive factor for early recurrence risk after CRC surgery[28]. Qaderi et al[29] found that in patients with stage I-III CRC, tumors with poor differentiation are associated with a higher recurrence risk, consistent with the results of the present study. This finding may stem from the concept that the lower the degree of differentiation of malignant tumors, the stronger their infiltration ability. Moreover, tumors with low differentiation often exhibit irregular shapes, such as folding, twisting, irregular edges, or spiky angular shapes[30], resulting in a tendency to grow outward, with active growth characteristics and greater invasiveness. Therefore, the lower the degree of differentiation of the tumor, the more likely it is to relapse. A study found a correlation between tumor differentiation and Ki-67 expression[31]. Ki-67 is a proliferative cell-related antigen, which is widely used for pathological evaluation of the cell proliferation ability of various malignant tumors, such as lung cancer[32] and breast cancer[33]. Ivanecz et al[34] found that Ki-67 overexpression is a positive predictor of CRC metastasis. Luo et al[35] indicated that high Ki-67 expression is significantly correlated with low overall survival rate in patients with CRC. These studies have suggested that high Ki-67 expression can serve as a predictive indicator of poor prognosis in CRC. In the present study, high Ki-67 expression was found to be a risk factor for early postoperative recurrence of CRC with obstruction. This finding confirms the important role of a high Ki-67 expression in the postoperative recurrence of patients with CRC. Therefore, for patients with CRC and obstruction, clinical monitoring of Ki-67 expression must be strengthened to detect recurrence early.

This study constructed a nomogram prediction model to effectively evaluate the risk of early postoperative recurrence of CRC with obstruction and implement accurate postoperative management measures. The analysis revealed that the AUC of the model in evaluating the risk of early postoperative recurrence in patients with CRC was 0.890. The goodness-of-fit deviation test showed that the model fitted well. In the decision curve analysis, the model demonstrated clinical practical value. Therefore, constructing a model evaluating the risk of early postoperative recurrence in patients with CRC and obstruction based on preoperative CEA levels, preoperative SII and TNM stage, degree of differentiation and Ki-67 expression has clinical significance.

This study has some limitations. First, although the sample size meets the basic requirements for statistical analysis, the study followed a retrospective design, and data from all patients with CRC and intestinal obstruction were taken from one hospital, limiting the representativeness of the results. Second, the prediction model constructed was not externally validated; thus, its generalizability still needs further verification. Lastly, the follow-up period was only 2 years, so this time point was defined as “early recurrence.” Thus, further extension of the follow-up period is necessary to demonstrate the long-term prognosis of patients with CRC and intestinal obstruction after surgery. In response to the aforementioned limitations, future studies with a larger sample size employing a prospective and multicenter design, involving external validation, and extending the follow-up period are necessary for further verification of the present results.

CONCLUSION

The early postoperative recurrence rate of CRC with obstruction is high. Among them, high preoperative CEA level, preoperative SII, TNM stage, degree of differentiation, and Ki-67 expression are related to early postoperative recurrence. Accordingly, the constructed nomogram prediction model can be used to effectively evaluate the risk of early postoperative recurrence in patients with CRC, offering significant guidance for clinical practice in implementing measures to reduce the risk in this patient population.

Footnotes

Provenance and peer review: Unsolicited article; Externally peer reviewed.

Peer-review model: Single blind

Specialty type: Gastroenterology and hepatology

Country of origin: China

Peer-review report’s classification

Scientific Quality: Grade C

Novelty: Grade B

Creativity or Innovation: Grade B

Scientific Significance: Grade C

P-Reviewer: Van Doorn L, PhD, Netherlands S-Editor: Qu XL L-Editor: A P-Editor: Zhao YQ

References
1.  Sung H, Ferlay J, Siegel RL, Laversanne M, Soerjomataram I, Jemal A, Bray F. Global Cancer Statistics 2020: GLOBOCAN Estimates of Incidence and Mortality Worldwide for 36 Cancers in 185 Countries. CA Cancer J Clin. 2021;71:209-249.  [RCA]  [PubMed]  [DOI]  [Full Text]  [Cited by in Crossref: 75126]  [Cited by in RCA: 66821]  [Article Influence: 16705.3]  [Reference Citation Analysis (184)]
2.  Yoo RN, Cho HM, Kye BH. Management of obstructive colon cancer: Current status, obstacles, and future directions. World J Gastrointest Oncol. 2021;13:1850-1862.  [RCA]  [PubMed]  [DOI]  [Full Text]  [Full Text (PDF)]  [Cited by in CrossRef: 5]  [Cited by in RCA: 24]  [Article Influence: 6.0]  [Reference Citation Analysis (0)]
3.  CReST Collaborative Group. Colorectal Endoscopic Stenting Trial (CReST) for obstructing left-sided colorectal cancer: randomized clinical trial. Br J Surg. 2022;109:1073-1080.  [RCA]  [PubMed]  [DOI]  [Full Text]  [Cited by in Crossref: 34]  [Cited by in RCA: 41]  [Article Influence: 13.7]  [Reference Citation Analysis (0)]
4.  Cao K, Wang ZJ, Han JG. [Treatment of obstructive colorectal cancer]. Zhonghua Wei Chang Wai Ke Za Zhi. 2023;26:44-50.  [RCA]  [PubMed]  [DOI]  [Full Text]  [Cited by in RCA: 1]  [Reference Citation Analysis (0)]
5.  Lv J, Liu YY, Jia YT, He JL, Dai GY, Guo P, Zhao ZL, Zhang YN, Li ZX. A nomogram model for predicting prognosis of obstructive colorectal cancer. World J Surg Oncol. 2021;19:337.  [RCA]  [PubMed]  [DOI]  [Full Text]  [Full Text (PDF)]  [Cited by in Crossref: 3]  [Cited by in RCA: 56]  [Article Influence: 14.0]  [Reference Citation Analysis (0)]
6.  Baxter NN, Kennedy EB, Bergsland E, Berlin J, George TJ, Gill S, Gold PJ, Hantel A, Jones L, Lieu C, Mahmoud N, Morris AM, Ruiz-Garcia E, You YN, Meyerhardt JA. Adjuvant Therapy for Stage II Colon Cancer: ASCO Guideline Update. J Clin Oncol. 2022;40:892-910.  [RCA]  [PubMed]  [DOI]  [Full Text]  [Cited by in Crossref: 14]  [Cited by in RCA: 192]  [Article Influence: 48.0]  [Reference Citation Analysis (0)]
7.  Biondo S, Gálvez A, Ramírez E, Frago R, Kreisler E. Emergency surgery for obstructing and perforated colon cancer: patterns of recurrence and prognostic factors. Tech Coloproctol. 2019;23:1141-1161.  [RCA]  [PubMed]  [DOI]  [Full Text]  [Cited by in Crossref: 21]  [Cited by in RCA: 48]  [Article Influence: 8.0]  [Reference Citation Analysis (0)]
8.  Expert Group on Early Diagnosis and Treatment of Cancer; Chinese Society of Oncology;  Chinese Medical Association. [Expert consensus on the early diagnosis and treatment of colorectal cancer in China (2023 edition)]. Zhonghua Yi Xue Za Zhi. 2023;103:3896-3908.  [RCA]  [PubMed]  [DOI]  [Full Text]  [Cited by in RCA: 7]  [Reference Citation Analysis (0)]
9.  Ciocan A, Ciocan RA, Al Hajjar N, Gherman CD, Bolboacă SD. Abilities of Pre-Treatment Inflammation Ratios as Classification or Prediction Models for Patients with Colorectal Cancer. Diagnostics (Basel). 2021;11:566.  [RCA]  [PubMed]  [DOI]  [Full Text]  [Full Text (PDF)]  [Cited by in RCA: 11]  [Reference Citation Analysis (0)]
10.  Tsai HL, Chu KS, Huang YH, Su YC, Wu JY, Kuo CH, Chen CW, Wang JY. Predictive factors of early relapse in UICC stage I-III colorectal cancer patients after curative resection. J Surg Oncol. 2009;100:736-743.  [RCA]  [PubMed]  [DOI]  [Full Text]  [Cited by in Crossref: 75]  [Cited by in RCA: 75]  [Article Influence: 4.7]  [Reference Citation Analysis (0)]
11.  Wiesmueller F, Schuetz R, Langheinrich M, Brunner M, Weber GF, Grützmann R, Merkel S, Krautz C. Defining early recurrence in patients with resected primary colorectal carcinoma and its respective risk factors. Int J Colorectal Dis. 2021;36:1181-1191.  [RCA]  [PubMed]  [DOI]  [Full Text]  [Full Text (PDF)]  [Cited by in Crossref: 2]  [Cited by in RCA: 7]  [Article Influence: 1.8]  [Reference Citation Analysis (0)]
12.  Räsänen M, Carpelan-Holmström M, Mustonen H, Renkonen-Sinisalo L, Lepistö A. Pattern of rectal cancer recurrence after curative surgery. Int J Colorectal Dis. 2015;30:775-785.  [RCA]  [PubMed]  [DOI]  [Full Text]  [Cited by in Crossref: 27]  [Cited by in RCA: 38]  [Article Influence: 3.8]  [Reference Citation Analysis (0)]
13.  Guraya SY. Pattern, Stage, and Time of Recurrent Colorectal Cancer After Curative Surgery. Clin Colorectal Cancer. 2019;18:e223-e228.  [RCA]  [PubMed]  [DOI]  [Full Text]  [Cited by in Crossref: 35]  [Cited by in RCA: 83]  [Article Influence: 13.8]  [Reference Citation Analysis (0)]
14.  Juszczyk K, Afzal MZ, Ganguly T, Kelly TL, Zeelie R, Murphy EMA. Evaluating whether KRAS/BRAF mutation status, anaemia and obstruction are associated with recurrence and mortality in non-metastatic colorectal cancer. ANZ J Surg. 2023;93:2457-2463.  [RCA]  [PubMed]  [DOI]  [Full Text]  [Cited by in RCA: 3]  [Reference Citation Analysis (0)]
15.  Fuccio L, Rex D, Ponchon T, Frazzoni L, Dinis-Ribeiro M, Bhandari P, Dekker E, Pellisè M, Correale L, van Hooft J, Jover R, Libanio D, Radaelli F, Alfieri S, Bazzoli F, Senore C, Regula J, Seufferlein T, Rösch T, Sharma P, Repici A, Hassan C. New and Recurrent Colorectal Cancers After Resection: a Systematic Review and Meta-analysis of Endoscopic Surveillance Studies. Gastroenterology. 2019;156:1309-1323.e3.  [RCA]  [PubMed]  [DOI]  [Full Text]  [Cited by in Crossref: 42]  [Cited by in RCA: 41]  [Article Influence: 6.8]  [Reference Citation Analysis (0)]
16.  Dawood ZS, Alaimo L, Lima HA, Moazzam Z, Shaikh C, Ahmed AS, Munir MM, Endo Y, Pawlik TM. Circulating Tumor DNA, Imaging, and Carcinoembryonic Antigen: Comparison of Surveillance Strategies Among Patients Who Underwent Resection of Colorectal Cancer-A Systematic Review and Meta-analysis. Ann Surg Oncol. 2023;30:259-274.  [RCA]  [PubMed]  [DOI]  [Full Text]  [Cited by in Crossref: 1]  [Cited by in RCA: 17]  [Article Influence: 8.5]  [Reference Citation Analysis (0)]
17.  Lee TH, Kim JS, Baek SJ, Kwak JM, Kim J. Diagnostic Accuracy of Carcinoembryonic Antigen (CEA) in Detecting Colorectal Cancer Recurrence Depending on Its Preoperative Level. J Gastrointest Surg. 2023;27:1694-1701.  [RCA]  [PubMed]  [DOI]  [Full Text]  [Cited by in RCA: 11]  [Reference Citation Analysis (0)]
18.  Iacuzzo C, Germani P, Troian M, Cipolat Mis T, Giudici F, Osenda E, Bortul M, de Manzini N. Serum carcinoembryonic antigen pre-operative level in colorectal cancer: revisiting risk stratification. ANZ J Surg. 2021;91:E367-E374.  [RCA]  [PubMed]  [DOI]  [Full Text]  [Cited by in Crossref: 2]  [Cited by in RCA: 6]  [Article Influence: 1.5]  [Reference Citation Analysis (0)]
19.  Takagawa R, Fujii S, Ohta M, Nagano Y, Kunisaki C, Yamagishi S, Osada S, Ichikawa Y, Shimada H. Preoperative serum carcinoembryonic antigen level as a predictive factor of recurrence after curative resection of colorectal cancer. Ann Surg Oncol. 2008;15:3433-3439.  [RCA]  [PubMed]  [DOI]  [Full Text]  [Cited by in Crossref: 98]  [Cited by in RCA: 121]  [Article Influence: 7.1]  [Reference Citation Analysis (0)]
20.  Schmitt M, Greten FR. The inflammatory pathogenesis of colorectal cancer. Nat Rev Immunol. 2021;21:653-667.  [RCA]  [PubMed]  [DOI]  [Full Text]  [Cited by in Crossref: 109]  [Cited by in RCA: 473]  [Article Influence: 118.3]  [Reference Citation Analysis (0)]
21.  Nøst TH, Alcala K, Urbarova I, Byrne KS, Guida F, Sandanger TM, Johansson M. Systemic inflammation markers and cancer incidence in the UK Biobank. Eur J Epidemiol. 2021;36:841-848.  [RCA]  [PubMed]  [DOI]  [Full Text]  [Full Text (PDF)]  [Cited by in Crossref: 154]  [Cited by in RCA: 346]  [Article Influence: 86.5]  [Reference Citation Analysis (1)]
22.  Menyhart O, Fekete JT, Győrffy B. Inflammation and Colorectal Cancer: A Meta-Analysis of the Prognostic Significance of the Systemic Immune-Inflammation Index (SII) and the Systemic Inflammation Response Index (SIRI). Int J Mol Sci. 2024;25:8441.  [RCA]  [PubMed]  [DOI]  [Full Text]  [Full Text (PDF)]  [Cited by in RCA: 44]  [Reference Citation Analysis (0)]
23.  Chen JH, Zhai ET, Yuan YJ, Wu KM, Xu JB, Peng JJ, Chen CQ, He YL, Cai SR. Systemic immune-inflammation index for predicting prognosis of colorectal cancer. World J Gastroenterol. 2017;23:6261-6272.  [RCA]  [PubMed]  [DOI]  [Full Text]  [Full Text (PDF)]  [Cited by in CrossRef: 250]  [Cited by in RCA: 506]  [Article Influence: 63.3]  [Reference Citation Analysis (6)]
24.  Yan Q, Ertao Z, Zhimei Z, Weigang D, Jianjun P, Jianhui C, Chuangqi C. Systemic immune-inflammation index (SII): A More Promising Inflammation-Based Prognostic Marker for Patients with synchronic colorectal peritoneal carcinomatosis. J Cancer. 2020;11:5264-5272.  [RCA]  [PubMed]  [DOI]  [Full Text]  [Full Text (PDF)]  [Cited by in Crossref: 17]  [Cited by in RCA: 53]  [Article Influence: 10.6]  [Reference Citation Analysis (0)]
25.  Liu Z, Lu T, Li J, Wang L, Xu K, Dang Q, Guo C, Liu L, Jiao D, Sun Z, Han X. Development and clinical validation of a novel six-gene signature for accurately predicting the recurrence risk of patients with stage II/III colorectal cancer. Cancer Cell Int. 2021;21:359.  [RCA]  [PubMed]  [DOI]  [Full Text]  [Full Text (PDF)]  [Cited by in Crossref: 22]  [Cited by in RCA: 31]  [Article Influence: 7.8]  [Reference Citation Analysis (0)]
26.  Liska D, Stocchi L, Karagkounis G, Elagili F, Dietz DW, Kalady MF, Kessler H, Remzi FH, Church J. Incidence, Patterns, and Predictors of Locoregional Recurrence in Colon Cancer. Ann Surg Oncol. 2017;24:1093-1099.  [RCA]  [PubMed]  [DOI]  [Full Text]  [Cited by in Crossref: 43]  [Cited by in RCA: 64]  [Article Influence: 7.1]  [Reference Citation Analysis (0)]
27.  Nors J, Iversen LH, Erichsen R, Gotschalck KA, Andersen CL. Incidence of Recurrence and Time to Recurrence in Stage I to III Colorectal Cancer: A Nationwide Danish Cohort Study. JAMA Oncol. 2024;10:54-62.  [RCA]  [PubMed]  [DOI]  [Full Text]  [Full Text (PDF)]  [Cited by in Crossref: 1]  [Cited by in RCA: 82]  [Article Influence: 82.0]  [Reference Citation Analysis (0)]
28.  Xie Z, Zhang Q, Wang X, Chen Y, Deng Y, Lin H, Wu J, Huang X, Xu Z, Chi P. Development and validation of a novel radiomics nomogram for prediction of early recurrence in colorectal cancer. Eur J Surg Oncol. 2023;49:107118.  [RCA]  [PubMed]  [DOI]  [Full Text]  [Cited by in RCA: 10]  [Reference Citation Analysis (0)]
29.  Qaderi SM, Galjart B, Verhoef C, Slooter GD, Koopman M, Verhoeven RHA, de Wilt JHW, van Erning FN. Disease recurrence after colorectal cancer surgery in the modern era: a population-based study. Int J Colorectal Dis. 2021;36:2399-2410.  [RCA]  [PubMed]  [DOI]  [Full Text]  [Full Text (PDF)]  [Cited by in Crossref: 9]  [Cited by in RCA: 57]  [Article Influence: 14.3]  [Reference Citation Analysis (0)]
30.  Pine JK, Morris E, Hutchins GG, West NP, Jayne DG, Quirke P, Prasad KR. Systemic neutrophil-to-lymphocyte ratio in colorectal cancer: the relationship to patient survival, tumour biology and local lymphocytic response to tumour. Br J Cancer. 2015;113:204-211.  [RCA]  [PubMed]  [DOI]  [Full Text]  [Full Text (PDF)]  [Cited by in Crossref: 72]  [Cited by in RCA: 97]  [Article Influence: 9.7]  [Reference Citation Analysis (0)]
31.  Tong G, Zhang G, Liu J, Zheng Z, Chen Y, Niu P, Xu X. Cutoff of 25% for Ki67 expression is a good classification tool for prognosis in colorectal cancer in the AJCC‑8 stratification. Oncol Rep. 2020;43:1187-1198.  [RCA]  [PubMed]  [DOI]  [Full Text]  [Full Text (PDF)]  [Cited by in Crossref: 4]  [Cited by in RCA: 22]  [Article Influence: 4.4]  [Reference Citation Analysis (0)]
32.  Clay V, Papaxoinis G, Sanderson B, Valle JW, Howell M, Lamarca A, Krysiak P, Bishop P, Nonaka D, Mansoor W. Evaluation of diagnostic and prognostic significance of Ki-67 index in pulmonary carcinoid tumours. Clin Transl Oncol. 2017;19:579-586.  [RCA]  [PubMed]  [DOI]  [Full Text]  [Cited by in Crossref: 19]  [Cited by in RCA: 31]  [Article Influence: 3.4]  [Reference Citation Analysis (0)]
33.  Feng X, Li H, Kornaga EN, Dean M, Lees-Miller SP, Riabowol K, Magliocco AM, Morris D, Watson PH, Enwere EK, Bebb G, Paterson A. Low Ki67/high ATM protein expression in malignant tumors predicts favorable prognosis in a retrospective study of early stage hormone receptor positive breast cancer. Oncotarget. 2016;7:85798-85812.  [RCA]  [PubMed]  [DOI]  [Full Text]  [Full Text (PDF)]  [Cited by in Crossref: 9]  [Cited by in RCA: 12]  [Article Influence: 1.3]  [Reference Citation Analysis (0)]
34.  Ivanecz A, Kavalar R, Palfy M, Pivec V, Sremec M, Horvat M, Potrč S. Can we improve the clinical risk score? The prognostic value of p53, Ki-67 and thymidylate synthase in patients undergoing radical resection of colorectal liver metastases. HPB (Oxford). 2014;16:235-242.  [RCA]  [PubMed]  [DOI]  [Full Text]  [Cited by in Crossref: 16]  [Cited by in RCA: 19]  [Article Influence: 1.7]  [Reference Citation Analysis (0)]
35.  Luo ZW, Zhu MG, Zhang ZQ, Ye FJ, Huang WH, Luo XZ. Increased expression of Ki-67 is a poor prognostic marker for colorectal cancer patients: a meta analysis. BMC Cancer. 2019;19:123.  [RCA]  [PubMed]  [DOI]  [Full Text]  [Full Text (PDF)]  [Cited by in Crossref: 26]  [Cited by in RCA: 69]  [Article Influence: 11.5]  [Reference Citation Analysis (0)]