Copyright
©The Author(s) 2025.
World J Gastrointest Oncol. Dec 15, 2025; 17(12): 113976
Published online Dec 15, 2025. doi: 10.4251/wjgo.v17.i12.113976
Published online Dec 15, 2025. doi: 10.4251/wjgo.v17.i12.113976
Figure 1 Flow chart illustrates the screening situation of patients with gastric cancer who have undergone radical gastrectomy.
CTI: C-reactive protein-triglyceride-glucose index; PNI: Prognostic nutritional index.
Figure 2 Effects of different C-reactive protein-triglyceride-glucose index on the long-term prognosis of gastric cancer patients.
A: Kaplan-Meier plot of disease-free survival in the C-reactive protein-triglyceride-glucose index (CTI) < 9.07 and CTI ≥ 9.07 groups; B: Kaplan-Meier plot of overall survival in the CTI < 9.07 and CTI ≥ 9.07 groups. CTI: C-reactive protein triglyceride-glucose index; HR: Hazard ratio; CI: Confidence interval; DFS: Disease-free survival; OS: Overall survival.
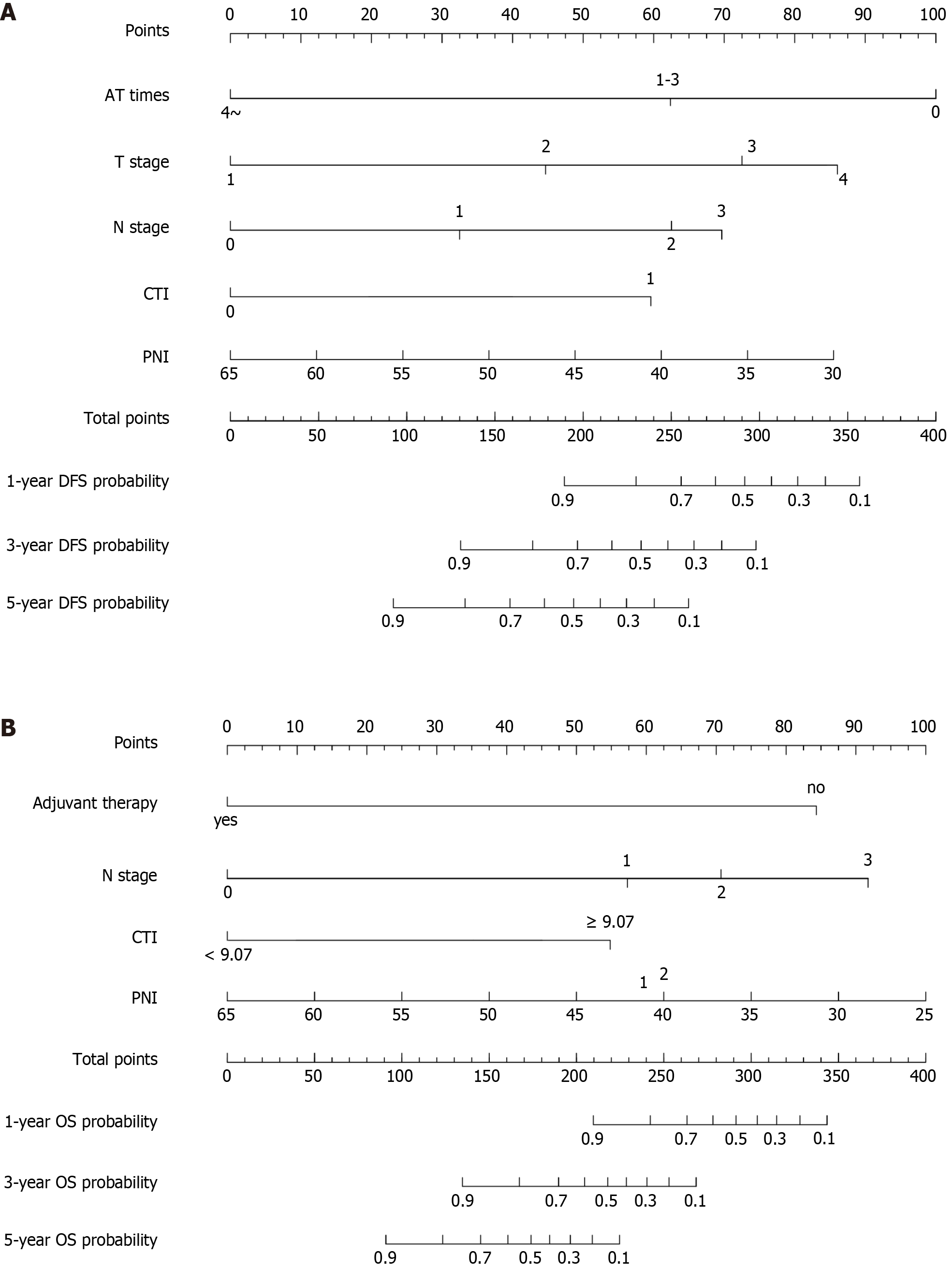
Figure 3 Graph depicting the prognostic model for predicting 1-, 3-, and 5-year.
A: Disease-free survival; B: Overall survival. AT: Adjuvant therapy; T: Tumor; N: Node; CTI: C-reactive protein-triglyceride-glucose index; PNI: Prognostic nutritional index; DFS: Disease-free survival; OS: Overall survival.
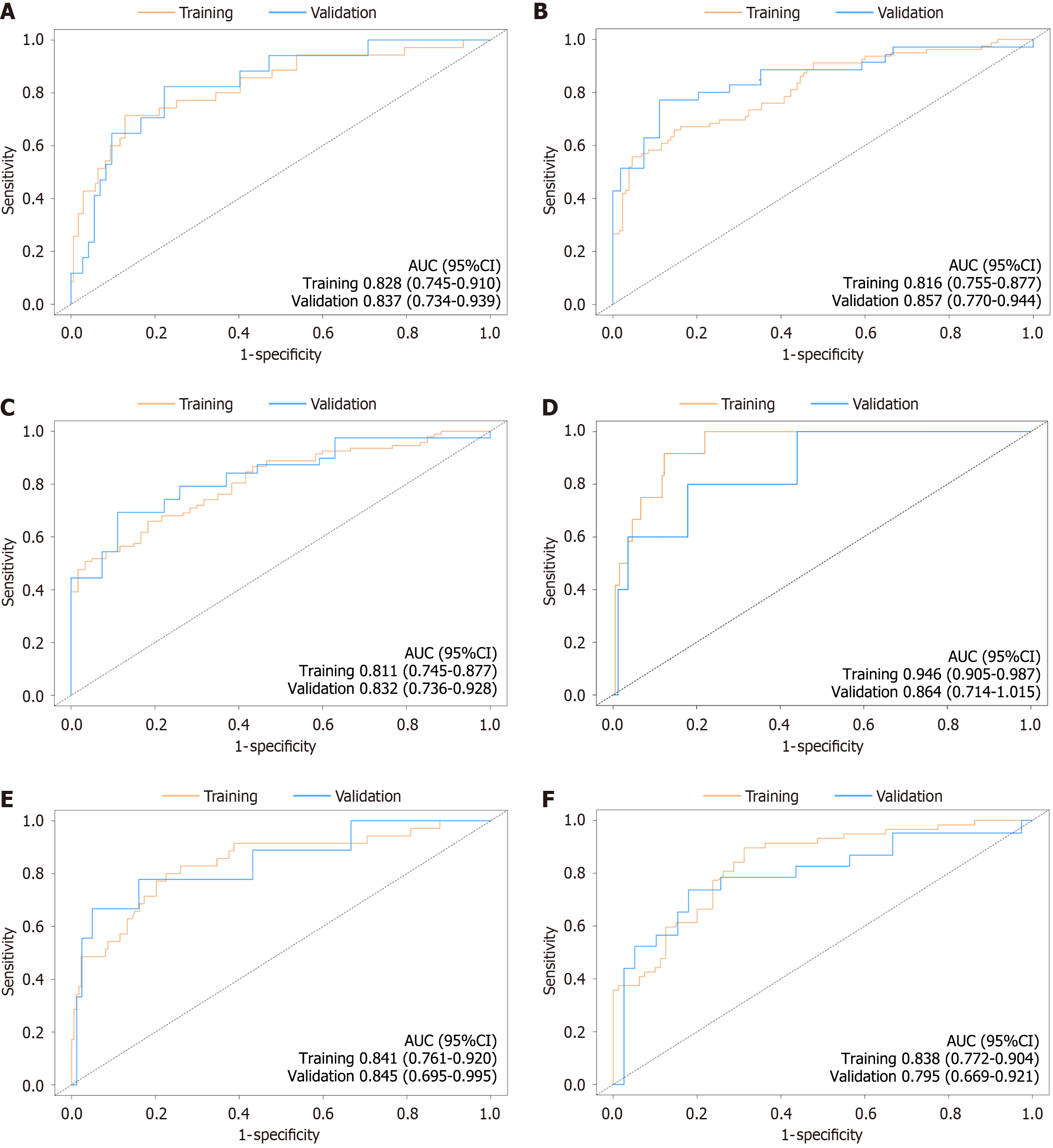
Figure 4 Graph depicting the operating characteristic evaluation plot for prognostic models.
A: Graph showing the training set and validation receiver operating characteristic (ROC) evaluation plots for 1-year disease-free survival (DFS) prognostic prediction model; B: Graph showing the training set and validation set ROC evaluation plots for 3-year DFS prognostic prediction model; C: Graph showing the training set and validation set ROC evaluation plots for 5-year DFS prognostic prediction model; D: Graph showing the training set and validation set ROC evaluation plots for 1-year overall survival (OS) prognostic prediction model; E: Graph showing the training set and validation set ROC evaluation plots for 3-year OS prognostic prediction model; F: Graph showing the training set and validation set ROC evaluation plots for 5-year OS prognostic prediction model. AUC: Area under the curve; CI: Confidence interval.
Figure 5 Graph illustrating the calibration plots for a prognostic model.
A: Calibration plots for the training set 1-year disease-free survival (DFS); B: Calibration plots for the validation set 1-year DFS; C: Calibration plots for the training set 3-year DFS; D: Calibration plots for the validation set 3-year DFS; E: Calibration plots for the training set 5-year DFS; F: Calibration plots for the validation set 5-year DFS; G: Calibration plots for the training set 1-year overall survival (OS); H: Calibration plots for the validation set 1-year OS; I: Calibration plots for the training set 3-year OS; J: Calibration plots for the validation set 3-year OS; K: Calibration plots for the training set 5-year OS; L: Calibration plots for the validation set 5-year OS.
- Citation: Hao QL, Yao ZY, Shen YM, Li ZY, Gao HC, Hong XY, Li GC, Gao C. Prognostic significance of preoperative C-reactive protein-triglyceride-glucose index in long-term outcomes after radical gastrectomy for gastric cancer. World J Gastrointest Oncol 2025; 17(12): 113976
- URL: https://www.wjgnet.com/1948-5204/full/v17/i12/113976.htm
- DOI: https://dx.doi.org/10.4251/wjgo.v17.i12.113976
