Copyright: ©Author(s) 2026.
World J Stem Cells. Apr 26, 2026; 18(4): 117067
Published online Apr 26, 2026. doi: 10.4252/wjsc.v18.i4.117067
Published online Apr 26, 2026. doi: 10.4252/wjsc.v18.i4.117067
Figure 1 The characteristics of peripheral blood-derived mesenchymal stem cells exosomes from acute mesenteric ischemia patients and controls.
A: Transmission electron microscopy characterization of exosomes isolated from peripheral blood-derived mesenchymal stem cells of acute mesenteric ischemia patients and controls (scale bar: 100 nM); B: Nanoparticle tracking analysis characterization of exosomes isolated from peripheral blood-derived mesenchymal stem cells of acute mesenteric ischemia patients and controls; C: Expression levels of two exosome marker proteins (tumor susceptibility gene 101 and CD63) were measured by western blot. AMI: Acute mesenteric ischemia; TSG101: Tumor susceptibility gene 101.
Figure 2 The expression levels of circ-Herc3, circ-Eya3, and circEZH2_005 in peripheral blood-derived mesenchymal stem cells exosomes from acute mesenteric ischemia patients and controls.
A-C: Quantitative real-time polymerase chain reaction was used to measure the circ-Herc3 (A), circ-Eya3 (B), and circEZH2_005 (C) levels in peripheral blood-derived mesenchymal stem cells exosomes of different groups. cP < 0.001. NS: No significant; AMI: Acute mesenteric ischemia.
Figure 3 Correlations between peripheral blood-derived mesenchymal stem cells exosomal circ-Eya3 and circEZH2_005 with plasma intestinal fatty acid binding protein and D-lactate.
A and B: The levels of plasma intestinal fatty acid binding protein (IFABP) (A) and D-lactate (B) in acute mesenteric ischemia (AMI) patients and controls were determined by enzyme-linked immunosorbent assay; C and D: Correlations between the levels of peripheral blood-derived mesenchymal stem cells exosomal circ-Eya3 with plasma IFABP (C) and D-lactate (D) in AMI patients; E and F: Correlations between the levels of peripheral blood-derived mesenchymal stem cells exosomal circEZH2_005 with plasma IFABP (E) and D-lactate (F) in AMI patients. cP < 0.001. IFABP: Intestinal fatty acid binding protein; AMI: Acute mesenteric ischemia.
Figure 4 Correlations between peripheral blood-derived mesenchymal stem cells exosomal circ-Eya3 and circEZH2_005 with neutrophil-to-lymphocyte ratio and interleukin-6.
A: The levels of neutrophil-to-lymphocyte ratio in acute mesenteric ischemia (AMI) patients and controls were calculated by the ratio of neutrophils count/Lymphocytes count; B and C: Correlations between the levels of neutrophil-to-lymphocyte ratio with peripheral blood-derived mesenchymal stem cells exosomal circ-Eya3 (B) or circEZH2_005 (C) in AMI patients; D: The levels of interleukin-6 in AMI patients and controls were determined by enzyme-linked immunosorbent assay; E and F: Correlations between the levels of interleukin-6 with peripheral blood-derived mesenchymal stem cells exosomal circ-Eya3 (E) or circEZH2_005 (F) in AMI patients. cP < 0.001. NLR: Neutrophil-to-lymphocyte ratio; AMI: Acute mesenteric ischemia; IL: Interleukin.
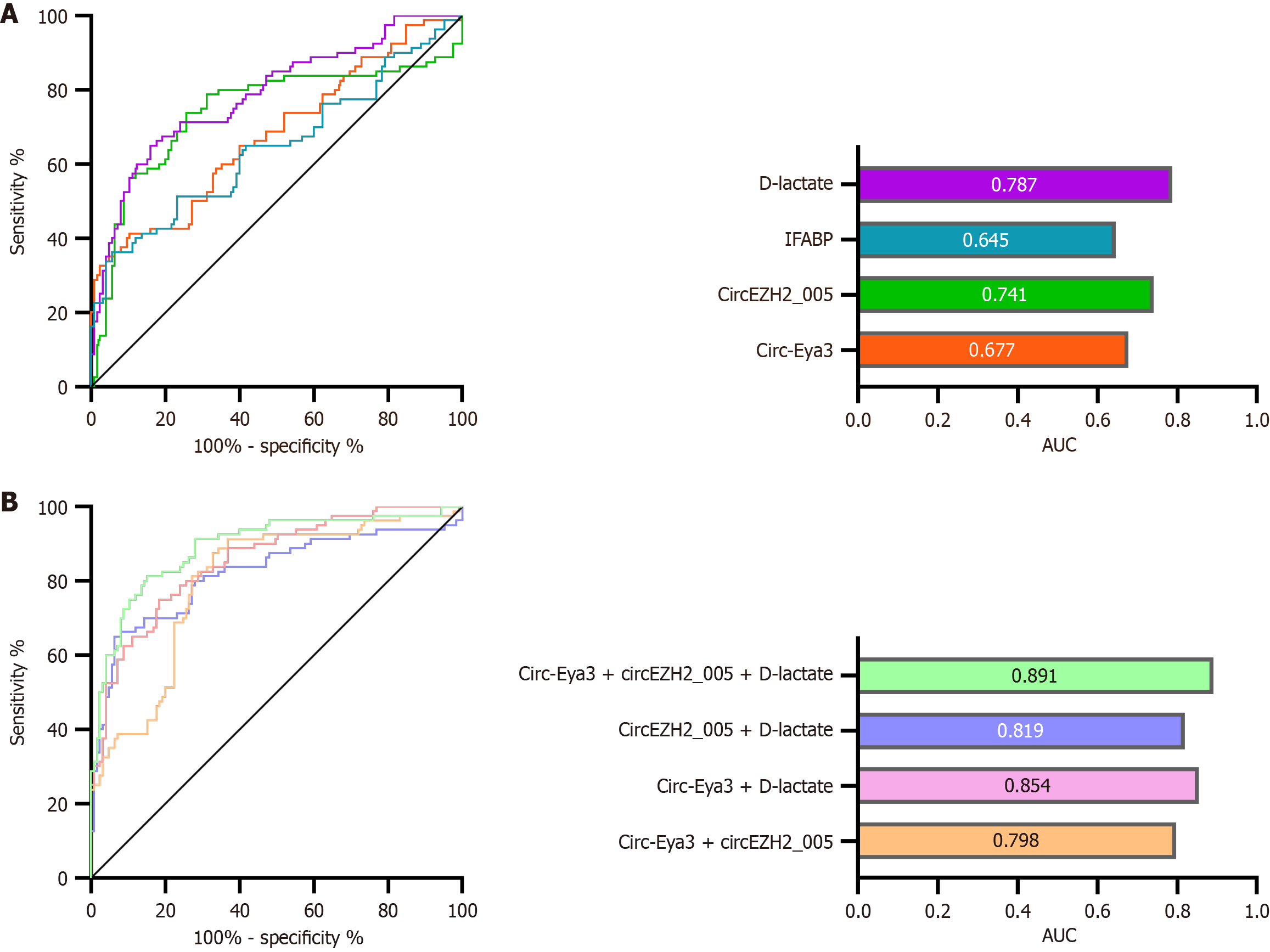
Figure 5 Diagnose values of peripheral blood-derived mesenchymal stem cells exosomal circ-Eya3 and circEZH2_005 to acute mesenteric ischemia patients.
A: Separate receiver operating characteristic of circ-Eya3, circEZH2_005, intestinal fatty acid binding protein, and D-lactate; B: Combined receiver operating characteristic of circ-Eya3, circEZH2_005 and D-lactate. AUC: Area under the curve.
Figure 6 The differential levels of circ-Eya3, circEZH2_005, intestinal fatty acid binding protein and D-lactate in arterial vs venous acute mesenteric ischemia subtypes.
A and B: Enzyme-linked immunosorbent assay was applied to determine the intestinal fatty acid binding protein (A) and D-lactate (B) levels in plasma from different groups; C and D: Quantitative real-time polymerase chain reaction was utilized to measure the expression of circ-Eya3 (C) and circEZH2_005 (D) in peripheral blood-derived mesenchymal stem cells exosomes of different groups. aP < 0.05, cP < 0.001. NS: No significant; IFABP: Intestinal fatty acid binding protein; AMI: Acute mesenteric ischemia.
Figure 7 The differential levels of circ-Eya3, circEZH2_005, intestinal fatty acid binding protein and D-lactate in early vs late necrotic acute mesenteric ischemia subtypes.
A and B: Enzyme-linked immunosorbent assay was applied to determine the intestinal fatty acid binding protein (A) and D-lactate (B) levels in plasma from different groups; C and D: Quantitative real-time polymerase chain reaction was utilized to measure the expression of circ-Eya3 (C) and circEZH2_005 (D) in peripheral blood-derived mesenchymal stem cells exosomes of different groups. bP < 0.01, cP < 0.001. IFABP: Intestinal fatty acid binding protein; AMI: Acute mesenteric ischemia.
Figure 8 The dynamic levels of circ-Eya3, circEZH2_005, intestinal fatty acid binding protein and D-lactate before and after operation in acute mesenteric ischemia patients.
A and B: Plasma intestinal fatty acid binding protein (A) and D-lactate (B) levels in acute mesenteric ischemia patients before and after operation were detected by enzyme-linked immunosorbent assay; C and D: Circ-Eya3 (C) and circEZH2_005 (D) expression levels in acute mesenteric ischemia patients before and after operation were analyzed through quantitative real-time polymerase chain reaction. aP < 0.05. IFABP: Intestinal fatty acid binding protein.
- Citation: Wang GL, Li Q, Ni JQ, Shen YF, Xu L, Jin Q. Association of peripheral blood-derived mesenchymal stem cells exosomal circular RNAs with diagnosis and inflammatory response in acute mesenteric ischemia. World J Stem Cells 2026; 18(4): 117067
- URL: https://www.wjgnet.com/1948-0210/full/v18/i4/117067.htm
- DOI: https://dx.doi.org/10.4252/wjsc.v18.i4.117067
