Copyright
©The Author(s) 2025.
World J Gastroenterol. Nov 7, 2025; 31(41): 111256
Published online Nov 7, 2025. doi: 10.3748/wjg.v31.i41.111256
Published online Nov 7, 2025. doi: 10.3748/wjg.v31.i41.111256
Figure 1 Receiver operating characteristic curves of vibration-controlled transient elastography and serum fibrotic markers for advanced stage (Ludwig III/IV) in the derivation and validation cohorts.
A: Advanced stage in the derivation group; B: Advanced stage in the validation group. LSM: Liver stiffness measurement; FIB-4: Fibrosis-4; APRI: Aspartate aminotransferase to platelet ratio index; AAR: Alanine aminotransferase ratio; GPR: Gamma-glutamyl transpeptidase to platelet ratio; MRS: Mayo risk score.
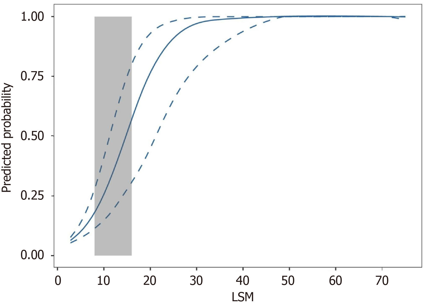
Figure 2 Logistic curve of the relationship between predicted probabilities of advanced fibrosis and liver stiffness measurement.
The grey area (8-16 kPa) highlights the portion of the curve in which vibration-controlled transient elastography may not be reliable in predicting advanced fibrosis. LSM: Liver stiffness measurement.
Figure 3 Density plot of liver stiffness measurement, fibrosis-4, and aspartate aminotransferase to platelet ratio index score in the derivation and validation cohorts.
Patients with Ludwig stage I and II at liver biopsy are represented in red lines, those with Ludwig stage III and IV in blue lines. A-F: In the liver stiffness measurement (LSM) density plot (A and D), the grey area highlights the interval of LSM in which transient elastography is not reliable. The grey area in the fibrosis-4 (FIB-4) density plot (B and E) expresses the range of LSM in FIB-4 as proposed by Sterling et al[16]. The black straight line in the APRI score density plot (C and F) expresses the cut-off of 0.54 validated in primary biliary cholangitis[17]. LSM: Liver stiffness measurement; FIB-4: Fibrosis-4; APRI: Aspartate aminotransferase to platelet ratio index.
- Citation: Chen JL, Hou YX, Liu Y, Jiang YY, Wang XB. Real-world performance of transient elastography in assessing advanced fibrosis in Chinese patients with primary biliary cholangitis. World J Gastroenterol 2025; 31(41): 111256
- URL: https://www.wjgnet.com/1007-9327/full/v31/i41/111256.htm
- DOI: https://dx.doi.org/10.3748/wjg.v31.i41.111256
