Published online Mar 19, 2026. doi: 10.5498/wjp.v16.i3.111821
Revised: October 29, 2025
Accepted: December 12, 2025
Published online: March 19, 2026
Processing time: 172 Days and 0.7 Hours
Anxiety and depression are understudied in kidney calculi despite their inverse cor
To investigate the correlation of anxiety and depression with resilience and quali
This study included 119 patients with kidney calculi who visited the First Affi
Anxiety and depressive symptoms affected 49.58% and 64.71% of participants, respectively. Notably lower CD-RISC scores (across tenacity, strength, and opti
Anxiety and depression exhibited an intimate connection with resilience and QoL in patients with kidney calculi. High income, great resilience, and superior QoL are protective against psychological distress.
Core Tip: This research investigates anxiety and depression in relation to resilience and quality of life (QoL) in patients with kidney calculi, while exploring anxiety and depression contributors. We revealed an inverse connection between anxiety and depression in patients and their resilience and QoL. Low per capita monthly income (≤ 3500 yuan), poor resilience (Connor-Davidson Resilience Scale ≤ 55 points), and inferior life quality (General QoL Inventory-74 ≤ 45 points) increased the risk of developing both anxiety and depression in such patients. Further, complications and insufficient social support increased anxiety and depression risks, respectively.
- Citation: Luo DW, Du HL. Anxiety and depression in relation to resilience and quality of life in patients with kidney calculi. World J Psychiatry 2026; 16(3): 111821
- URL: https://www.wjgnet.com/2220-3206/full/v16/i3/111821.htm
- DOI: https://dx.doi.org/10.5498/wjp.v16.i3.111821
Kidney calculi, a predominantly seen urinary condition, are the most common type of urolithiasis, characterized by crystalline mass formation in the urinary tract (UT)[1]. Pathologically, the disease involves oxalate-mediated regulation of the Jupiter microtubule-associated homolog 2/phosphoinositide 3-kinase/protein kinase B axis, thereby inducing crystalline cell adhesion and macrophage metabolism that further exacerbates illness progression[2]. Kidney stone occurrence is associated with gender, climate, diet, etc., causing discomfort symptoms, including ureteral obstruction, blood in urine, frequent UT infection, vomiting, or micturition pain. If the condition worsens, it progresses to permanent renal function damage, which will seriously affect the patient’s health and quality of life (QoL)[3,4]. The prevalence rate in the United States has risen from 3.2% (1980) to 10.1% (2016), and it is commonly identified in men than in women[5]. This disease has several treatments, including extracorporeal shock wave lithotripsy, ureteroscopy, and percutaneous nephrolithotomy; thus, patients suffer from a high recurrence risk (5-year relapse rate: 26%-46%), which brings certain challenges to surgical treatment and psychological burdens to patients[6,7]. Previous studies have indicated a further increase in kidney calculi risk in the presence of anxiety or depression[8]. Anxiety elevates the risk of kidney stone by increasing the estimated glomerular filtration rate, and a causal association has been demonstrated between genetically predicted anxiety and heightened kidney calculi development[9]. Further, Wang et al[10] reported causality between the genetic prediction of depression and an increased risk of kidney calculi. Resilience, which is vital for maintaining positive mentality and mental health, is defined as the adaptability of individuals while dealing with events such as stress, adv
At present, studies on anxiety and depression in relation to resilience and QoL in kidney calculi are limited, with insufficient exploration of affecting factors. This study innovatively investigates in this direction to identify the key cont
Inclusion criteria: All patients had a kidney calculus diagnosis following the European Urology Association’s guidelines for urolithiasis management[13]. Besides, all eligible participants demonstrated clinical symptoms, including dysuria, urinary frequency, hematuria, or pain. Additional requirements included intact cognitive function, the ability to com
Exclusion criteria: Individuals with significant systemic organ dysfunction, severe UT infections, or concurrent mali
Anxiety and depression: Patient anxiety and depression were assessed using the Hamilton Self-Rating Anxiety Scale (HAMA); 14 items and Hamilton Self-Rating Depression Scale (HAMD); 24 items[14]. Each HAMA item is scored from 0 (no symptoms) to 4 (extremely severe symptoms), with a total of 56 points that is proportional to anxiety severity [inter
Resilience: The Connor-Davidson Resilience Scale (CD-RISC)[15] was administered to assess psychological resilience in patients with postoperative kidney calculi, thereby evaluating tenacity (maximum score: 52), strength (32), and optimism (16). Improved resilience is associated with increased scores.
QoL: The General QoL Inventory-74 (GQOLI-74)[16] was employed to measure patient QoL. The first domain, material life, was scored from 16 to 80, whereas the remaining three domains (physical, social, and psychological function) each ranged from 20 to 100. Scores proportionally increase with QoL improvements.
Statistical Package for the Social Sciences version 22.0 was used for statistical analysis. Quantitative data with normal distribution were summarized using descriptive statistics (mean ± SD) and compared using parametric t-tests. Count data were presented as n (%). Interrelationships among anxiety, depression, resilience, and QoL measures were assessed using Spearman’s coefficients, whereas mood disorder determinants in patients with nephrolithiasis were identified by emp
Study participants demonstrated mean HAMA and HAMD scores of 6.00 (5.00, 9.00) and 10.00 (5.00, 13.00), respectively. Clinically significant symptoms were present in 49.58% (anxiety) and 64.71% (depression) of cases, predominantly at mild severity levels (Table 1).
| Anxiety/depression | n = 119 |
| HAMA (points), mean ± SD | 6.00 (5.00, 9.00) |
| Normal (< 7) | 60 (50.42) |
| Potential anxiety (7-13) | 56 (47.06) |
| Clinical anxiety (14-20) | 3 (2.52) |
| Moderate anxiety (21-29) | 0 (0.00) |
| Severe anxiety (> 29) | 0 (0.00) |
| Anxiety (≥ 7) | 59 (49.58) |
| HAMD (points), mean ± SD | 10.00 (5.00, 13.00) |
| Normal (< 8) | 42 (35.29) |
| Mild depression (8-19) | 69 (57.98) |
| Moderate depression (20-35) | 8 (6.72) |
| Severe depression (> 35) | 0 (0.00) |
| Depression (≥ 8) | 77 (64.71) |
We categorized patients based on their HAMA and HAMD scores (as detailed in Table 1) into non-anxiety (n = 60) vs anxiety (n = 59) and non-depression (n = 42) vs depression (n = 77) groups. CD-RISC total and subscale scores, including tenacity, strength, and optimism dimensions, were documented. Data demonstrated markedly reduced tenacity, strength, and optimism scores and decreased total CD-RISC scores in the anxiety group vs the non-anxiety group (P < 0.01). Patients with depression likewise scored lower than those with no depression (P < 0.05; Figure 2).
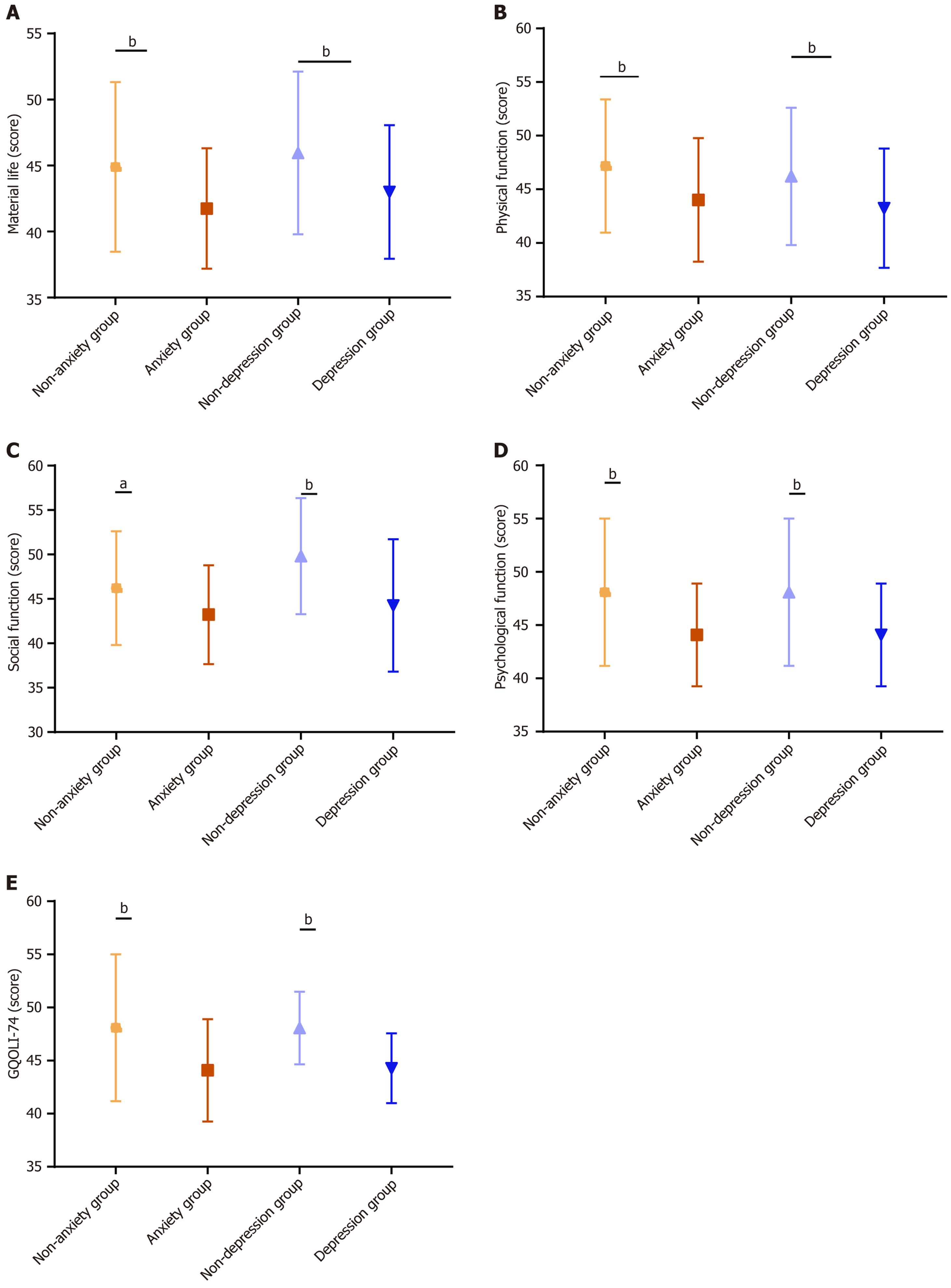
The GQOLI-74 questionnaire was used for QoL evaluation. Patients positive with anxiety scored evidently worse than their non-anxious counterparts in material life, physical/social/psychological function, and overall QoL (P < 0.05). Patients with depression likewise scored lower than those with no depression in all domains (P < 0.05; Figure 3).
The study assessed the association of anxiety and depression with psychological resilience (CD-RISC) and QoL (GQOLI-74) using Spearman’s correlation coefficients. The results indicated a significant negative correlation between HAMA scores and both CD-RISC (r = -0.194, P = 0.034) and GQOLI-74 (r = -0.394, P < 0.001). Likewise, increased HAMD scores were associated with reduced CD-RISC (r = -0.413, P < 0.001) and GQOLI-74 (r = -0.347, P < 0.001; Table 2).
| Correlation | CD-RISC (points) | GQOLI-74 (points) |
| HAMA (points) | r = -0.194, P = 0.034 | r = -0.394, P < 0.001 |
| HAMD (points) | r = -0.413, P < 0.001 | r = -0.347, P < 0.001 |
We assigned potential anxiety and depression contributors - including gender, age, educational level, per capita monthly income, comorbidities, social support, CD-RISC, and GQOLI-74 - as independent variables, and assigned the occurrence of anxiety or depression as dependent variables. Subsequently, all the above indicators were incorporated into a multivariate binary logistic regression model for in-depth analysis. Per capita monthly income [odds ratio (OR) = 0.158, P = 0.002], complications (OR = 3.442, P = 0.032), CD-RISC (OR = 0.075, P < 0.001), and GQOLI-74 (OR = 0.081, P < 0.001) independently influenced anxiety. Significant associations were observed with lower income (OR = 0.090, P < 0.001), diminished social support (OR = 0.136, P = 0.003), decreased resilience (CD-RISC; OR = 0.060, P < 0.001), and impaired QoL (GQOLI-74; OR = 0.198, P = 0.023). Tables 3, 4, and 5 present complete results.
| Factor | Variable | Assignment |
| Sex | X1 | Female: 0 |
| Male: 1 | ||
| Age (years) | X2 | < 60: 0 |
| ≥ 60: 1 | ||
| Educational level | X3 | ≥ Senior high school: 0 |
| < Senior high school: 1 | ||
| Per capita monthly income | X4 | ≤ 3500: 0 |
| > 3500: 1 | ||
| Complications | X5 | No: 0 |
| Yes: 1 | ||
| Social support | X6 | No: 0 |
| Yes: 1 | ||
| CD-RISC | X7 | ≤ 55: 0 |
| > 55: 1 | ||
| GQOLI-74 | X8 | ≤ 45: 0 |
| > 45: 1 | ||
| Anxiety | Y1 | HAMA < 7: 0 |
| HAMA ≥ 7: 1 | ||
| Depression | Y2 | HAMD < 8: 0 |
| HAMD ≥ 8: 1 |
| Variable | B | SE | Wald | P value | Exp (B) | 95%CI |
| Sex | -0.070 | 0.561 | 0.016 | 0.900 | 0.932 | 0.310-2.802 |
| Age | 0.682 | 0.545 | 1.564 | 0.211 | 1.977 | 0.679-5.756 |
| Educational level | -0.570 | 0.583 | 0.955 | 0.328 | 0.566 | 0.180-1.774 |
| Per capita monthly income | -1.845 | 0.600 | 9.449 | 0.002 | 0.158 | 0.049-0.512 |
| Complications | 1.236 | 0.575 | 4.624 | 0.032 | 3.442 | 1.116-10.619 |
| Social support | -0.062 | 0.552 | 0.013 | 0.911 | 0.940 | 0.319-2.774 |
| CD-RISC | -2.588 | 0.591 | 19.158 | < 0.001 | 0.075 | 0.024-0.239 |
| GQOLI-74 | -2.510 | 0.598 | 17.636 | < 0.001 | 0.081 | 0.025-0.262 |
| Variable | B | SE | Wald | P value | Exp (B) | 95%CI |
| Sex | -0.870 | 0.671 | 1.683 | 0.194 | 0.419 | 0.112-1.560 |
| Age | -0.082 | 0.662 | 0.015 | 0.901 | 0.921 | 0.252-3.372 |
| Educational level | -0.119 | 0.701 | 0.029 | 0.866 | 0.888 | 0.225-3.511 |
| Per capita monthly income | -2.406 | 0.671 | 12.839 | < 0.001 | 0.090 | 0.024-0.336 |
| Complications | 0.143 | 0.680 | 0.044 | 0.834 | 1.153 | 0.304-4.374 |
| Social support | -1.992 | 0.667 | 8.912 | 0.003 | 0.136 | 0.037-0.504 |
| CD-RISC | -2.820 | 0.724 | 15.170 | < 0.001 | 0.060 | 0.014-0.246 |
| GQOLI-74 | -1.618 | 0.710 | 5.197 | 0.023 | 0.198 | 0.049-0.797 |
Kidney calculi is a prevalent urinary system disorder, referring to the hard crystalline substances formed by the abnormal accumulation of certain components in urine in the kidneys. Additional contributors, such as inadequate hydration, high-salt/high-protein diets, and obesity, exceeds the disease prevalence by 11% among the ≥ 20 age group[17]. Persistence of this condition potentially contributes to fractures, diabetes, chronic kidney disease, cardiovascular disorders, and other systemic complications, thereby exacerbating the patient’s overall health burden[18]. Moreover, anxiety and depression resulting from pain and surgical outcome uncertainty further hinders recovery[19].
First, we identified anxiety in 49.58% and depression in 64.71% of participants, with the severity primarily being mild, aligning with previous literature[8]. Besides, significant CD-RISC and QoL score reductions were reported among patients with anxiety or depression. Patel et al[20] showed that the subjective pain of patients with kidney calculi also greatly affects their QoL, which align with the results of this study. Correlation analysis revealed that higher anxiety or depression in patients with kidney calculi correlated with lower resilience and QoL. Zhang et al[15] demonstrated that anxiety and depression of patients with mild coronavirus disease 2019 have a negative correlation with resilience, whe
Multivariate analysis identified higher monthly income per capita (> 3500 yuan), high psychological resilience (CD-RISC > 55 score), and high QoL (GQOLI-74 > 45 score) as protective factors of anxiety in patients with kidney calculi, whereas the existence of complications was considered a risk factor. Higher per capita monthly income (> 3500 yuan), social support, high psychological resilience (CD-RISC > 55 score), and superior QoL (GQOLI-74 > 45 score) were the protective factors of depression in such patients. Li et al[22] revealed complications and family income per capita as indirect and indirect determinants of depression and anxiety in early pregnancies, respectively, which aligns with our findings. Tian and Wang[23] showed that resilience mediates the fear of disease progression and sleep quality in hematological malignancies, which reveals the potential association between resilience and QoL to some extent, thereby sup
This study has some limitations that need to overcome in the future: (1) The participants were recruited from a single center, which may lead to some data collection bias and insufficient sample size for population representation. Therefore, a multi-centered study is required in the future to support these research conclusions; (2) The cross-sectional design failed to capture the causality between anxiety, depression, resilience, and QoL, thereby warranting validation through longitudinal analysis; and (3) This study did not investigate interventions based on the identified determinants of anxiety and depression, nor did it analyze intervention effects. Future work is recommended to address this limitation by assessing intervention feasibility and effectiveness. The improvement from the above perspectives will be analyzed in the future.
In summary, anxiety and depression levels in patients with kidney calculi demonstrate an inverse association with resilience and QoL. Independent predictors of anxiety and depression in patients with kidney stones include resilience, QoL, and monthly income per capita. Further, complications and social support independently modulate these psychological states.
| 1. | Stamatelou K, Goldfarb DS. Epidemiology of Kidney Stones. Healthcare (Basel). 2023;11:424. [RCA] [PubMed] [DOI] [Full Text] [Full Text (PDF)] [Cited by in Crossref: 215] [Cited by in RCA: 159] [Article Influence: 53.0] [Reference Citation Analysis (0)] |
| 2. | Song Q, Song C, Chen X, Xiong Y, He Z, Su X, Zhou J, Ke H, Dong C, Liao W, Yang S. Oxalate regulates crystal-cell adhesion and macrophage metabolism via JPT2/PI3K/AKT signaling to promote the progression of kidney stones. J Pharm Anal. 2024;14:100956. [RCA] [PubMed] [DOI] [Full Text] [Full Text (PDF)] [Cited by in Crossref: 10] [Cited by in RCA: 8] [Article Influence: 4.0] [Reference Citation Analysis (0)] |
| 3. | Akram M, Jahrreiss V, Skolarikos A, Geraghty R, Tzelves L, Emilliani E, Davis NF, Somani BK. Urological Guidelines for Kidney Stones: Overview and Comprehensive Update. J Clin Med. 2024;13:1114. [RCA] [PubMed] [DOI] [Full Text] [Full Text (PDF)] [Cited by in Crossref: 89] [Cited by in RCA: 65] [Article Influence: 32.5] [Reference Citation Analysis (0)] |
| 4. | Wang Z, Zhang Y, Zhang J, Deng Q, Liang H. Recent advances on the mechanisms of kidney stone formation (Review). Int J Mol Med. 2021;48:149. [RCA] [PubMed] [DOI] [Full Text] [Full Text (PDF)] [Cited by in Crossref: 233] [Cited by in RCA: 148] [Article Influence: 29.6] [Reference Citation Analysis (0)] |
| 5. | Chewcharat A, Curhan G. Trends in the prevalence of kidney stones in the United States from 2007 to 2016. Urolithiasis. 2021;49:27-39. [RCA] [PubMed] [DOI] [Full Text] [Cited by in Crossref: 228] [Cited by in RCA: 179] [Article Influence: 35.8] [Reference Citation Analysis (0)] |
| 6. | Peerapen P, Thongboonkerd V. Kidney Stone Prevention. Adv Nutr. 2023;14:555-569. [RCA] [PubMed] [DOI] [Full Text] [Full Text (PDF)] [Cited by in Crossref: 252] [Cited by in RCA: 192] [Article Influence: 64.0] [Reference Citation Analysis (0)] |
| 7. | Ingvarsdottir SE, Indridason OS, Palsson R, Edvardsson VO. Stone recurrence among childhood kidney stone formers: results of a nationwide study in Iceland. Urolithiasis. 2020;48:409-417. [RCA] [PubMed] [DOI] [Full Text] [Cited by in Crossref: 19] [Cited by in RCA: 15] [Article Influence: 2.5] [Reference Citation Analysis (0)] |
| 8. | Ní Néill E, Richards HL, Hennessey D, Ryan EM, Fortune DG. Psychological Distress in Patients With Urolithiasis: A Systematic Review and Meta-analysis. J Urol. 2023;209:58-70. [RCA] [PubMed] [DOI] [Full Text] [Cited by in Crossref: 19] [Cited by in RCA: 13] [Article Influence: 4.3] [Reference Citation Analysis (0)] |
| 9. | Gao M, Liu M, Zhang Y, Tang L, Chen H, Zhu Z. The impact of anxiety on the risk of kidney stone disease: Insights into eGFR-mediated effects. J Affect Disord. 2024;364:125-131. [RCA] [PubMed] [DOI] [Full Text] [Cited by in Crossref: 12] [Cited by in RCA: 10] [Article Influence: 5.0] [Reference Citation Analysis (0)] |
| 10. | Wang M, Jian Z, Ma Y, Jin X, Li H, Wang K. Depression increases the risk of kidney stone: Results from the National Health and Nutrition Examination Survey 2007-2018 and Mendelian randomization analysis. J Affect Disord. 2022;312:17-21. [RCA] [PubMed] [DOI] [Full Text] [Cited by in Crossref: 41] [Cited by in RCA: 35] [Article Influence: 8.8] [Reference Citation Analysis (0)] |
| 11. | Liu R, Menhas R, Saqib ZA. Does physical activity influence health behavior, mental health, and psychological resilience under the moderating role of quality of life? Front Psychol. 2024;15:1349880. [RCA] [PubMed] [DOI] [Full Text] [Full Text (PDF)] [Cited by in Crossref: 56] [Cited by in RCA: 35] [Article Influence: 17.5] [Reference Citation Analysis (0)] |
| 12. | Zhang Y, Hu Y, Yang M. The relationship between family communication and family resilience in Chinese parents of depressed adolescents: a serial multiple mediation of social support and psychological resilience. BMC Psychol. 2024;12:33. [RCA] [PubMed] [DOI] [Full Text] [Full Text (PDF)] [Cited by in Crossref: 25] [Cited by in RCA: 13] [Article Influence: 6.5] [Reference Citation Analysis (0)] |
| 13. | Skolarikos A, Geraghty R, Somani B, Tailly T, Jung H, Neisius A, Petřík A, Kamphuis GM, Davis N, Bezuidenhout C, Lardas M, Gambaro G, Sayer JA, Lombardo R, Tzelves L. European Association of Urology Guidelines on the Diagnosis and Treatment of Urolithiasis. Eur Urol. 2025;88:64-75. [RCA] [PubMed] [DOI] [Full Text] [Cited by in Crossref: 100] [Cited by in RCA: 81] [Article Influence: 81.0] [Reference Citation Analysis (0)] |
| 14. | Zhao C, Cai H, Wang H, Ge Z. Correlation between serum renin-angiotensin system (RAS) level and depression and anxiety symptoms in patients with Parkinson's disease. Saudi J Biol Sci. 2021;28:2146-2154. [RCA] [PubMed] [DOI] [Full Text] [Full Text (PDF)] [Cited by in Crossref: 9] [Cited by in RCA: 7] [Article Influence: 1.4] [Reference Citation Analysis (0)] |
| 15. | Zhang J, Yang Z, Wang X, Li J, Dong L, Wang F, Li Y, Wei R, Zhang J. The relationship between resilience, anxiety and depression among patients with mild symptoms of COVID-19 in China: A cross-sectional study. J Clin Nurs. 2020;29:4020-4029. [RCA] [PubMed] [DOI] [Full Text] [Full Text (PDF)] [Cited by in Crossref: 145] [Cited by in RCA: 105] [Article Influence: 17.5] [Reference Citation Analysis (0)] |
| 16. | Zhang Y, Wang H, Shan W, Cao J, Huang Y. Effects of humanized nursing interventions on psychological well-being and quality of life in rectal cancer patients undergoing chemotherapy. Am J Transl Res. 2024;16:5728-5734. [RCA] [PubMed] [DOI] [Full Text] [Cited by in Crossref: 2] [Cited by in RCA: 2] [Article Influence: 1.0] [Reference Citation Analysis (0)] |
| 17. | Du YZ, Guo B, Hu HJ, Dong QX, Li YH, Zhang J, Li FC, Guo J. Association between kidney stones and life's essential 8: a population-based study. World J Urol. 2024;42:274. [RCA] [PubMed] [DOI] [Full Text] [Full Text (PDF)] [Cited by in Crossref: 14] [Cited by in RCA: 14] [Article Influence: 7.0] [Reference Citation Analysis (0)] |
| 18. | Ghelijli M, Salari-Moghaddam A, Aminianfar A, Moosazadeh M, Gholami F, Azadbakht M, Hosseini A, Soltani S. A cross-sectional study of the association between plant-based diet indices and kidney stones among Iranian adults. Sci Rep. 2025;15:13495. [RCA] [PubMed] [DOI] [Full Text] [Full Text (PDF)] [Cited by in Crossref: 3] [Cited by in RCA: 3] [Article Influence: 3.0] [Reference Citation Analysis (0)] |
| 19. | Mei G, Jiang W, Xu W, Wang H, Wang X, Huang J, Luo Y. Effect of comfort care on pain degree and nursing satisfaction in patients undergoing kidney stone surgery. Am J Transl Res. 2021;13:11993-11998. [PubMed] |
| 20. | Patel N, Brown RD, Sarkissian C, De S, Monga M. Quality of life and urolithiasis: the patient - reported outcomes measurement information system (PROMIS). Int Braz J Urol. 2017;43:880-886. [RCA] [PubMed] [DOI] [Full Text] [Cited by in Crossref: 35] [Cited by in RCA: 36] [Article Influence: 4.0] [Reference Citation Analysis (0)] |
| 21. | Wojujutari AK, Idemudia ES, Ugwu LE. Psychological resilience mediates the relationship between diabetes distress and depression among persons with diabetes in a multi-group analysis. Sci Rep. 2024;14:6510. [RCA] [PubMed] [DOI] [Full Text] [Full Text (PDF)] [Cited by in Crossref: 28] [Cited by in RCA: 17] [Article Influence: 8.5] [Reference Citation Analysis (0)] |
| 22. | Li W, Lin L, Teng S, Yang Y, Li L, Peng F, Peng D, Gao X, Huang G. Path analysis of influencing factors for anxiety and depression among first-trimester pregnant women. Front Psychol. 2024;15:1440560. [RCA] [PubMed] [DOI] [Full Text] [Full Text (PDF)] [Cited by in Crossref: 3] [Cited by in RCA: 3] [Article Influence: 1.5] [Reference Citation Analysis (0)] |
| 23. | Tian Y, Wang YL. Resilience provides mediating effect of resilience between fear of progression and sleep quality in patients with hematological malignancies. World J Psychiatry. 2024;14:541-552. [PubMed] [DOI] [Full Text] |
| 24. | Lin W, Zhang D, Wang Y, Zhang L, Yang J. Analysis of depression status and influencing factors in middle-aged and elderly patients with chronic diseases. Front Psychol. 2024;15:1308397. [RCA] [PubMed] [DOI] [Full Text] [Full Text (PDF)] [Cited by in Crossref: 21] [Cited by in RCA: 16] [Article Influence: 8.0] [Reference Citation Analysis (0)] |
Open Access: This article is an open-access article that was selected by an in-house editor and fully peer-reviewed by external reviewers. It is distributed in accordance with the Creative Commons Attribution NonCommercial (CC BY-NC 4.0) license, which permits others to distribute, remix, adapt, build upon this work non-commercially, and license their derivative works on different terms, provided the original work is properly cited and the use is non-commercial. See: https://creativecommons.org/Licenses/by-nc/4.0/
