Copyright
©The Author(s) 2026.
World J Psychiatry. Feb 19, 2026; 16(2): 111050
Published online Feb 19, 2026. doi: 10.5498/wjp.v16.i2.111050
Published online Feb 19, 2026. doi: 10.5498/wjp.v16.i2.111050
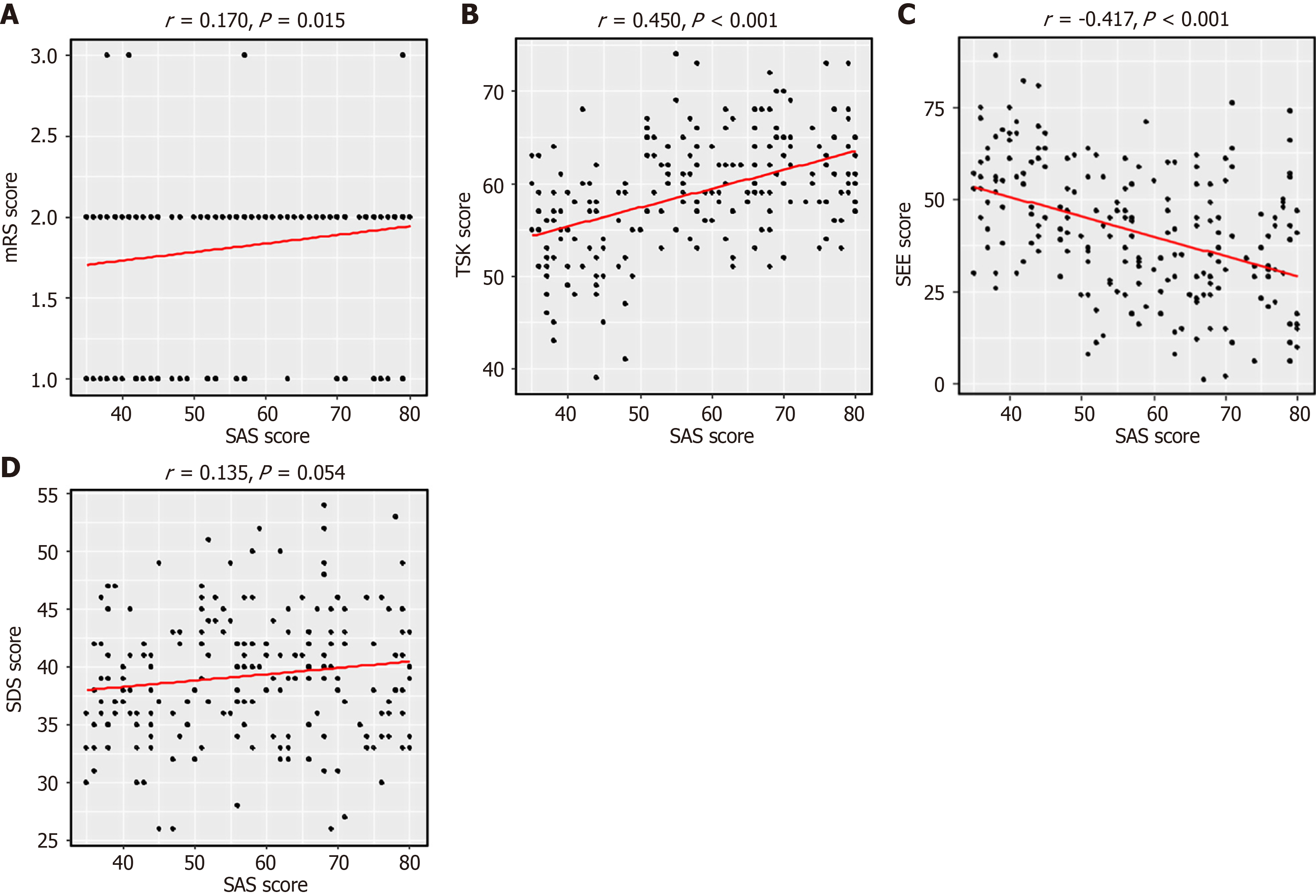
Figure 1 Correlation analysis between Self-Rating Anxiety Scale scores and functional scores.
A: Correlation analysis between Self-Rating Anxiety Scale (SAS) score and Modified Rankin Scale score; B: Correlation analysis between SAS score and Tampa Scale for Kinesiophobia score; C: Correlation analysis between SAS score and Self-Efficacy for Exercise Scale score; D: Correlation analysis between SAS score and Self-Rating Depression Scale score. mRS: Modified Rankin Scale; TSK: Tampa Scale for Kinesiophobia; SEE: Self-Efficacy for Exercise Scale; SDS: Self-Rating Depression Scale; SAS: Self-Rating Anxiety Scale.
Figure 2 Receiver operating characteristic curves of Modified Rankin Scale, Self-Efficacy for Exercise Scale, Tampa Scale for Kine siophobia and Self-Rating Depression Scale scores in differentiating patients with exercise anxiety.
A: Receiver operating characteristic (ROC) curves of Modified Rankin Scale scores in differentiating patients with exercise anxiety; B: Self-Efficacy for Exercise Scale score in differentiating ROC curves in patients with exercise anxiety; C: Tampa Scale for Kinesiophobia score in distinguishing ROC curves in patients with exercise anxiety; D: Self-Rating Depression Scale scores in distinguishing ROC curves in patients with exercise anxiety. mRS: Modified Rankin Scale; AUC: Area under the curve; SEE: Self-Efficacy for Exercise Scale; TSK: Tampa Scale for Kinesiophobia; SDS: Self-Rating Depression Scale.
Figure 3 Construction and evaluation of the exercise anxiety predictive model.
A: Line graph of the exercise anxiety prediction model; B: Calibration curve to assess the stability of the predictive model; C: Decision curve analysis model to assess the clinical benefit rate of the prediction model; D: Receiver operating characteristic curve to assess the predictive efficacy of the prediction model. SEE: Self-Efficacy for Exercise Scale; TSK: Tampa Scale for Kinesiophobia; SDS: Self-Rating Depression Scale; AUC: Area under the curve.
Figure 4 External data validation of the exercise anxiety prediction model.
A: Calibration curves to assess the stability of the predictive model; B: Decision curve analysis model to assess the clinical benefit rate of the predictive model; C: Receiver operating characteristic curve to assess the predictive efficacy of the prediction model. AUC: Area under the curve.
- Citation: Yang YB, Tang LP, Yu CY, Fu CL, Yang JP. Impact of motor anxiety on rehabilitation in elderly stroke patients: A retrospective study. World J Psychiatry 2026; 16(2): 111050
- URL: https://www.wjgnet.com/2220-3206/full/v16/i2/111050.htm
- DOI: https://dx.doi.org/10.5498/wjp.v16.i2.111050
