BPG is committed to discovery and dissemination of knowledge
Observational Study Open Access
Copyright: ©Author(s) 2026. This article is an open access article distributed under the terms and conditions of the Creative Commons Attribution-NonCommercial (CC BY-NC 4.0) license. No commercial re-use. See permissions. Published by Baishideng Publishing Group Inc.
World J Exp Med. Mar 20, 2026; 16(1): 111197
Published online Mar 20, 2026. doi: 10.5493/wjem.v16.i1.111197
Correlation between heart rate variability and severity of coronary atherosclerosis: Looking for non-invasive indicators of the disease severity
Michal Kuzemczak, Division of Emergency Medicine, Poznan University of Medical Sciences, Poznan 60-806, Poland
Michal Kuzemczak, Department of Interventional Cardiology and Internal Diseases, Military Institute of Medicine – National Research Institute, Legionowo 05-119, Poland
Michal Kuzemczak, Department of Internal Medicine and Cardiology, Medical University of Warsaw, Warsaw 04-749, Poland
Izabela Miechowicz, Department of Computer Science and Statistics, Poznan University of Medical Sciences, Poznan 60-806, Poland
Rafal Januszek, Faculty of Medicine and Health Sciences, Andrzej Frycz Modrzewski Cracow University, Cracow 30-705, Poland
Tomasz Siminiak, Department of Interventional Cardiology, HCP Medical Centre, Poznan University of Medical Sciences, Poznan 61-485, Poland
ORCID number: Michal Kuzemczak (0000-0003-0453-642X).
Author contributions: Kuzemczak M designed and conducted the study and wrote the manuscript; Miechowicz I, Kramer L, and Moczko J contributed to the analysis; Januszek R provided clinical advice; Siminiak T supervised the study.
Institutional review board statement: This study was reviewed and approved by the Ethics Committee of the Poznan University of Medical Sciences (Poznań, Poland).
Informed consent statement: Patients were not required to give informed consent to the study because the analysis used anonymous clinical data that were obtained after each patient agreed to treatment by written consent.
Conflict-of-interest statement: All the authors report no relevant conflicts of interest for this article.
STROBE statement: The authors have read the STROBE Statement-checklist of items, and the manuscript was prepared and revised according to the STROBE Statement-checklist of items.
Data sharing statement: Technical appendix, statistical code, and dataset available from the corresponding author at michal.kuzemczak@gmail.com. A consent for data sharing was not obtained from the included patients since the presented data are anonymized and there is no risk of identification.
Corresponding author: Michal Kuzemczak, MD, PhD, Assistant Professor, Division of Emergency Medicine, Poznan University of Medical Sciences, Rokietnicka 7 Street, Poznan 60-806, Poland. michal.kuzemczak@gmail.com
Received: June 25, 2025
Revised: August 4, 2025
Accepted: January 5, 2026
Published online: March 20, 2026
Processing time: 263 Days and 14.9 Hours

Abstract
BACKGROUND

Although heart rate variability (HRV) has been shown to be altered among patients with ischemic heart disease (IHD), studies on relationships between HRV indices and angiographic severity of IHD give conflicting results. Additionally, a plethora of mathematical models have been established, offering a novel approach for analyzing HRV.

AIM

To analyze correlations between angiographic severity of coronary atherosclerosis and a wide spectrum of HRV indices in patients with stable IHD.

METHODS

Total of 139 consecutive patients with stable IHD scheduled for coronary angiography were enrolled. Angiograms were scored using the method of Gensini. Five-minute electrocardiogram readings were analyzed. Correlations between the Gensini score and HRV indices were tested.

RESULTS

The study did not reveal statistically significant correlations between Gensini score and traditional HRV indices (standard deviation of NN intervals, root mean square of successive differences, spectral indices). The angiographic severity of coronary atherosclerosis assessed using the Gensini score was correlated with the following HRV indices: Van Geijn interbeat interval difference (r = -0.232; P < 0.05), de Hann sinus tachycardia index (r = -0.227; P < 0.05), Huey long-term variability (r = -0.167; P < 0.05), and Dalton mean absolute beat-to-beat (r = -0.169; P < 0.05).

CONCLUSION

Traditional time and frequency domain HRV indices do not correlate with angiographic severity of IHD. Several novel HRV parameters merit more attention as they weakly correlated with the Gensini score in stable IHD patients. Further research exploring relationships between angiographic severity of IHD and HRV indices is warranted.

Key Words: Heart rate variability; Ischemic heart disease; Gensini score; Coronary atherosclerosis; Gensini score

Core Tip: This study explores the relationship between heart rate variability (HRV) and angiographic severity of ischemic heart disease as reflected by the Gensini score. While traditional HRV indices (standard deviation of NN intervals, root mean square of successive differences, spectral indices) showed no significant correlations, several novel parameters - including de Hann sinus tachycardia index, van Geijn interbeat interval difference, Huey long-term variability, and Dalton mean absolute beat-to-beat - demonstrated weak but statistically significant associations. These findings highlight the potential value of emerging HRV indices in assessing coronary atherosclerosis severity and suggest new directions for research in noninvasive cardiac risk stratification in stable ischemic heart disease patients.



INTRODUCTION

Increased activity of the sympathetic nervous system shifts the autonomic balance towards sympathetic predominance and reduces heart rate variability (HRV). Although the number of years that have passed since the publication of fundamental papers of Wolf and Kleiger on the prognostic value of reduced HRV in patients following myocardial infarction (MI), HRV measurements have not become a routine clinical tool[1,2]. Studies on the influence of coronary atherosclerosis on HRV have yielded conflicting results, and mechanisms of HRV alterations in ischemic heart disease (IHD) are not fully understood[3]. Although some of them have suggested that reduced HRV is correlated with angiographic severity of coronary atherosclerosis, this has not been supported by other published data[4-8]. Since then, more effective methods of IHD treatment have been introduced and changed the natural history of the disease. The previous studies do not accurately reflect current clinical reality and, therefore, HRV indices require reassessment. Furthermore, dynamic advances in computer technology have provided novel and more precise methods of measurement and digital processing of an electrocardiographic signal. Several mathematical models have been established, offering a novel approach for analyzing HRV[9]. The purpose of this study was to analyze correlations between HRV indices and the severity of coronary atherosclerosis evaluated by the Gensini score in patients with stable IHD. We sought to reassess traditional HRV indices as well as to evaluate several novel HRV parameters that emerged as promising indices of autonomic activity in stable IHD patients[10].

MATERIALS AND METHODS
Study population and data collection

Total of 139 patients (57 females and 82 males) with stable IHD scheduled for elective coronary angiography were included in the study. Inclusion criteria were as follows: Adult patients with a previously diagnosed coronary artery disease, defined as a history of MI, prior percutaneous coronary intervention, or coronary artery bypass grafting; the presence of typical angina or atypical angina with a positive result on a stress test; sinus rhythm on baseline electrocardiogram (ECG); and the ability to comply with HRV monitoring protocols. Exclusion criteria included: Acute coronary syndrome (ST-elevation MI, non-ST elevation MI, or unstable angina) within 30 days prior to enrollment; known arrhythmias (e.g., atrial fibrillation) or any rhythm disturbance that could interfere with HRV assessment; and neurological conditions affecting autonomic function (e.g., Parkinson’s disease). All patients were interviewed and physically examined, followed by a 5-minute ECG recording. A summary of their clinical characteristics is provided in Table 1.

Table 1 Baseline demographics.
Variables
n
%
mean ± SD
SexWomen5741.01
Men8258.99
Age (years)58.98 ± 9.63
BMI (kg/m2)27.80 ± 3.71
Gensini score40.02 ± 56.95
Type 2 diabetes mellitus3021.58
Hypertension10273.38
Current smoker4935.25
Hypercholesterolemia9064.75
History of myocardial infarctionQ-wave4028.78
Non-Q wave10.72
CCS classification
CCS I2820.1
CCS II5539.6
CCS III3827.3
CCS IV1813
History of TIA10.72
History of stroke107.19
History of CABG53.6
History of PTCA1510.79
ASA139100
ACE-I usage9266.19
Diuretic usage4129.5
Calcium-channel blocker usage2417.27
Antiarhythmic usage96.47
Statin usage9568.35
Fibrate usage64.32
Beta-blocker usage9266.19
Nitrate usage6848.92
ECG recordings and data collection

At hospital admission, five-minute 12-lead ECGs were recorded between 7:30 and 10:00 AM in a controlled environment, with patients in the supine position, fasting, and on their usual medications. To ensure reliable HRV analysis [particularly in the high frequency (HF) domain], patients were instructed to breathe spontaneously within a normal physiological range (12-20 breaths per minute). The ECG signal was acquired using the Kardiograf Kardio PC® system (Medea, Gliwice, Poland). An analog-to-digital converter was employed to digitize the signal at a sampling rate of 500 hertz (Hz), in accordance with the recommendations of the American Heart Association. The ECG tracings for the analysis showed sinus rhythm and were free of arrhythmias. The converted signals were analyzed using virtual instruments developed in the LabVIEW 7.1 environment (National Instruments, Austin, TX, United States). This software allows users to design applications for the acquisition, processing, and visualization of biomedical signals[11,12]. It enables precise, multidimensional analysis of the information derived from the ECG signal, including R-wave detection and HRV evaluation across time, frequency, and combined time-frequency domains. Furthermore, if ectopic beats were present in time windows available for the analysis, in order to minimize their effect on the final results, they were corrected by the software algorithms.

The standard time-domain HRV parameters, such as standard deviation of all NN intervals (SDNN) and square root of the mean of the sum of the squares of differences between adjacent NN intervals (RMSSD), were evaluated. Spectral HRV parameters were calculated using a fast Fourier transform algorithm [total power (TP) ≤ 0.04 Hz; very low frequency (VLF) range: 0.003-0.04 Hz; low frequency (LF) range: 0.04-0.15 Hz; HF range: 0.15-0.4 Hz; LF/HF - ratio LF/HF] and autoregressive modeling [Autoregressive (AR) TP, AR VLF, AR LF, AR HF, AR LF/HF]. Apart from the above-mentioned calculations, HRV analysis was expanded to include indices previously applied in the evaluation of fetal heart rate and in assessing stroke risk among patients with IHD[9,12]. They include: Short-term variability parameters [de Hann sinus tachycardia index (de Hann STI), van Geijn interbeat interval difference (van Geijn), Huey short-term variability (Huey STV), and Dalton mean absolute beat-to-beat (Dalton MABB) Zugaib’s Short-term variability index (Zugaib STV), Yeh’s index (Yeh DI)], long-term variability indices [de Hann LTI, Dalton Standard Deviation (Dalton SD), Zugaib LTV, Huey LTV, Yeh interval index (Yeh II), Organ BAND], and joint time-frequency domain HRV measures (the Allan factor and wavelet indices w1-w4). Their mathematical equations and descriptions are presented in Figures 1 and 2.

Figure 1
Figure 1 Novel time-domain heart rate variability indices. Yeh DI: Yeh differential index; HR: Heart rate; HRV: Heart rate variability; II: Interval index; LTI: Long-term irregularity; LTV: Long-term variability; STV: Short-term variability; SD: Standard deviation; de Hann STI: De Hann sinus tachycardia index; van Geijn ID: Van Geijn interbeat interval difference; Huey STV: Huey short-term variability; Dalton MABB: Dalton mean absolute beat-to-beat; IQR: Interquartile range.
Figure 2
Figure 2 Joint time-frequency domain heart rate variability indices. HRV: Heart rate variability.
Coronary angiography

Coronary angiograms were evaluated using the Gensini scoring system, which quantifies the severity of coronary atherosclerosis and reflects the functional impact of stenotic lesions on the myocardium[13]. In this method, each coronary artery narrowing has an assigned severity coefficient based on the percentage of luminal reduction (25%, 50%, 75%, 90%, 99%, and complete occlusion correspond to scores of 1, 2, 4, 8, 16, and 32, respectively). This value is then multiplied by a weighting factor that represents the myocardial territory supplied by the affected vessel segment: 5 for the left main coronary artery; 2.5 for the proximal segments of the left anterior descending (LAD) and circumflex arteries; 1.5 for the mid LAD segment; 1 for the distal LAD, distal circumflex, obtuse marginal, first diagonal, posterior descending, and proximal, mid, and distal segments of the right coronary artery; and 0.5 for the second diagonal and posterolateral branches. The total Gensini score is obtained by summing all weighted segmental scores, providing an overall measure of coronary artery disease burden.

Statistical analysis

Statistical analyses were conducted using Statistica 7.0 software (Statsoft, Crakow, Poland). The Shapiro-Wilk test was applied to assess the normality of data distribution within the studied samples. Correlations between the severity of coronary atherosclerosis and HRV indices were tested by Spearman’s rank correlation coefficient. A P value less than 0.05 was considered significant.

RESULTS

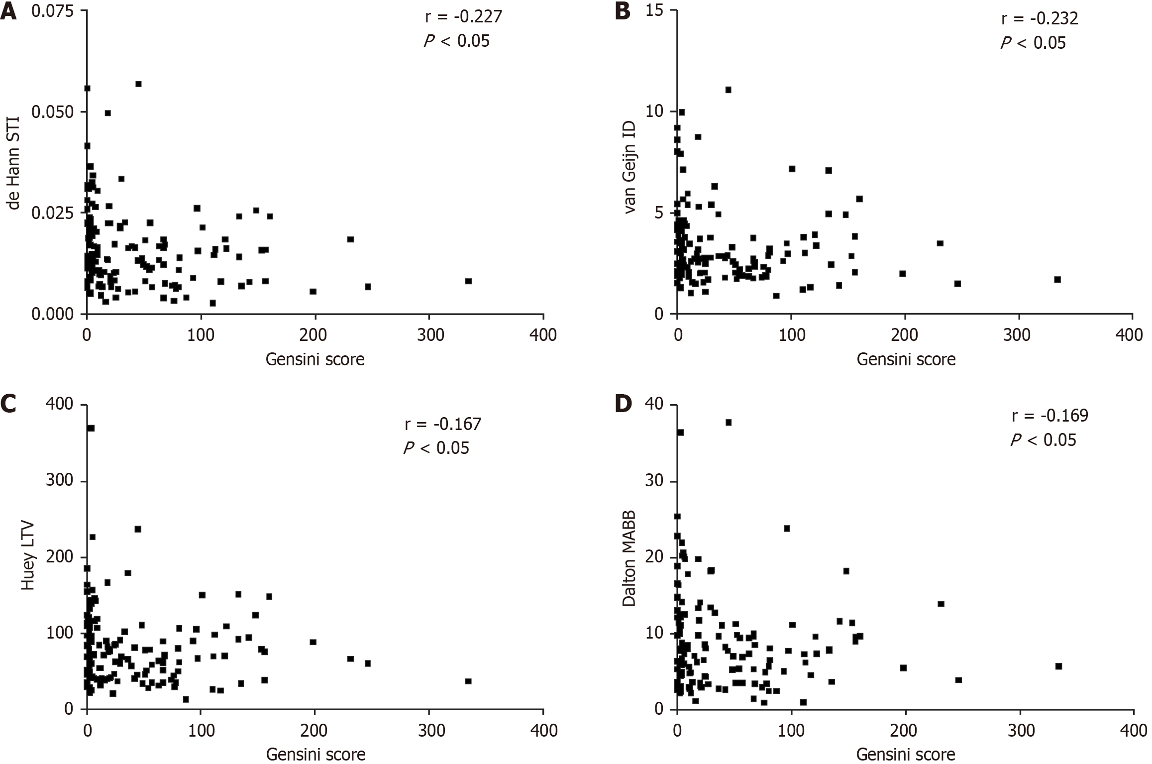
The mean Gensini score was 44.02, while the median value was 20.0. The severity of coronary atherosclerosis evaluated by the Gensini score was inversely correlated with the following novel time-domain HRV indices: De Hann STI (r = -0.227,P < 0.05), van Geijn ID (r = -0.232, P < 0.05), Huey LTV (r = -0.167, P < 0.05), Dalton MABB (r = -0.169, P < 0.05). No correlation was observed between Gensini score and standard time-domain (SDNN, RMSSD) and spectral indices (TP, VLF, HF, LF/HF, AR TP, AR VLF, AR LF, AR HF, AR LF/HF), as well as the following novel time-domain (de Hann LTI, Yeh II, Organ BAND, Dalton SD, Zugaib STV, Zugaib LTV, Yeh DI, Huey STV) and joint time-frequency domain HRV indices (the Allan factor and wavelet indices w1-w4). The results of correlation analysis are presented in Tables 2, 3 and 4 and Figure 3.

Figure 3
Figure 3 Scatter plot. A: Scatter plot showing the association between the severity of coronary atherosclerosis and selected heart rate variability (HRV) measure (de Hann sinus tachycardia index); B: Scatter plot showing the association between the severity of coronary atherosclerosis and selected HRV measure (van Geijn interbeat interval difference); C: Scatter plot showing the association between the severity of coronary atherosclerosis and selected HRV measure (Huey long-term variability); D: Scatter plot showing the association between the severity of coronary atherosclerosis and selected HRV measure (Dalton mean absolute beat-to-beat). De Hann STI: De Hann sinus tachycardia index; van Geijn ID: Van Geijn interbeat interval difference; Huey LTV: Huey long-term variability; Dalton MABB: Dalton mean absolute beat-to-beat.
Table 2 Correlation analysis between time-domain heart rate variability indices (traditional and novel) and the severity of coronary atherosclerosis assessed by the Gensini score.
HRV indices
Correlation analysis (n = 139)
r
P value
SDNN-0.046NS
RMSSD0.013NS
de Hann STI-0.227< 0.05
de Hann LTI-0.087NS
Yeh DI-0.131NS
Yeh II-0098NS
Organ BAND-0.087NS
van Geijn ID-0.232< 0.05
Huey STV-0.137NS
Huey LTV-0.167< 0.05
Dalton MABB-0.169< 0.05
Dalton SD-0.091NS
Zugaib STV-0.142NS
Zugaib LTV-0.124NS
Table 3 Correlation analysis between spectral heart rate variability indices and the severity of coronary atherosclerosis assessed by the Gensini score.
HRV indices
Correlation analysis (n = 139)
r
P value
TP-0.091NS
VLF0.034NS
LF-0.125NS
HF-0.11NS
LF/HF0.036NS
AR TP-0.132NS
AR VLF0.12NS
AR LF0.032NS
AR HF-0.065NS
AR LF/HF-0.028NS
Table 4 Correlation analysis between joint time-frequency domain heart rate variability indices and the severity of coronary atherosclerosis assessed by the Gensini score.
HRV indicesCorrelation analysis (n = 139)
r
P value
The Allan factor-0.06NS
w1-0.154NS
w2-0.151NS
w3-0.1NS
w4-0.47NS
w5-0.134NS
DISCUSSION

Despite intensive research on HRV, the relations between autonomic imbalance and IHD are not fully understood. There are many mechanisms linking the clinical entity and autonomic nervous system (ANS) alterations. Enhanced sympathetic activity increases heart rate and myocardial oxygen demand[14]. It may also result in coronary spasm and increased risk of cardiac ischemia[15-17]. Additionally, autonomic shift towards sympathetic predominance can influence shear stress, contributing to the progression of atherosclerosis and plaque instability[18-20]. Many studies have revealed that activation of the sympathetic nervous system is associated with inflammatory response and enhanced LDL oxidation[20,21]. Nevertheless, altered ANS activity is not only the cause but also the result of IHD. Animal studies have demonstrated a cardiocardiac sympathetic reflex elicited by experimental left coronary artery occlusion[22]. Furthermore, ANS disturbances in IHD patients may result from the combination of decreased myocardial contractility, systemic and local neurohormonal abnormalities, impaired baroreceptor function, and ischemia-induced damage of intrinsic cardiac nerves and receptors[23].

Available studies on relationships between the ANS and coronary atherosclerosis give conflicting results. Airaksinen et al[24] were the first to report reduced vagal activity among patients with IHD. It was not related to the number or location of narrowed coronary arteries. However, parasympathetic activity was not assessed by vagally mediated HRV indices (i.e., RMSSD, percentage of successive intervals differing by more than 50 milliseconds, HF), but using heart rate oscillations during deep-breathing. Hayano et al[3,4] reported a negative correlation between the angiographic severity of IHD and HF spectral component of HRV derived from 5-10 minutes ECG recordings. Reduction in the vagal cardiac function was not related to left ventricular function, previous MI, or location of a diseased coronary artery. In the study of Huikuri et al[25], patients with uncomplicated IHD had a blunted circadian rhythm of cardiac neural regulation compared with healthy subjects. However, angiographic severity of IHD (i.e., one-vessel, two-vessel, or three-vessel disease) had no significant influence on 24-hour average values of different spectral components of HRV or their circadian rhythm. Wachowiak-Baszyńska and Ochotny[7] reported that decreased TP and correlated time-domain HRV indices (i.e., SDNN, standard deviation of the average NN intervals for each 5-minute segment, and triangular index of NN intervals) in patients with IHD may have an association with the presence of significantly narrowed coronary arteries, irrespective of prior MI. Furthermore, parasympathetic-dependent HRV parameters were reduced in patients with a history of MI, probably due to coronary artery total occlusion. The same authors, in another paper, have reported lower values of HRV indices in patients with multivessel disease or high severity of coronary atherosclerosis assessed by Coronary Artery Jeopardy Score compared with control subjects with angiographically normal coronary arteries[8]. The presence of wall motion abnormalities in echocardiography had a significant association with decreased HRV indices.

In the present study, in contrast to previously cited papers, analysis of correlations between HRV indices and the severity of coronary atherosclerosis assessed by the Gensini score was performed. The Gensini score accounts for both the extent of coronary atherosclerosis and the functional impact of stenotic lesions on the myocardium, providing an estimate of the myocardial territory supplied by affected coronary arteries. The major reason that stands behind the choice of the above-mentioned coronary angiographic scoring system is that, compared to standard classification (one-, two-, three-vessel disease or left main disease), it is based upon myocardial volume at risk. The latter, intuitively, seems to be a better indicator of the disease advancement and probably may be better reflected by changes in HRV indices. Additionally, it is much easier to demonstrate correlations for more complex angiographic scoring systems rather than standard classification based on the number of epicardial coronary arteries with significant narrowings. However, in the present study, none of the traditional time-domain (SDNN, RMSSD) and spectral HRV indices (autoregression - AR TP, AR VLF, AR LF, AR HF, AR LF/HF, fast Fourier transform - TP, VLF, LF, HF, LF/HF) were correlated with the severity of coronary atherosclerosis assessed by the Gensini score. These results are consistent with those reported by Tseng et al[5]. It suggests that despite changes in the natural history of IHD (more aggressive and effective pharmacotherapy, widely used coronary stents), standard HRV indices are still poor indicators of the angiographic severity of the disease. Importantly, HRV analysis was extended to several “novel” parameters. They have so far been mainly used in the evaluation of fetal heart rate, with a very few studies in adult cardiology[9,12,26-28]. The results of the present study indicate that novel HRV indices may provide relevant information in patients with stable IHD. A low, but statistically significant negative correlation was found between the severity of coronary atherosclerosis and selected novel HRV parameters (i.e., de Hann STI, van Geijn ID, Huey LTV, and Dalton MABB). The majority of these parameters have not yet been studied, especially in terms of their association with angiographic severity of IHD[9,26-28]. In the study of Janowska-Kulińska et al[27], angioplasty of the left circumflex artery resulted in a significant decrease of several novel HRV indices (Yeh DI, Yeh II, Organ BAND, Huey STV, Dalton MABB, Dalton SD, and Zugaib STV). Interestingly, the above-mentioned changes of novel HRV measures were not observed after angioplasty of the right coronary artery (sinus node blood flow is most commonly supplied by this artery) as well as the LAD artery[27]. Our group also reported that patients with stable IHD affected by stroke in long-term observation had a different baseline profile of selected novel HRV parameters (lower values of de Hann LTI, Yeh II, Organ BAND, Dalton SD, Zugaib STV, Zugaib LTV, as well as wavelet indices - w2, w3, and w4) compared to the control group without the aforementioned cerebrovascular event[9]. This is not surprising considering the fact that IHD and stroke share common risk factors and atherosclerotic mechanisms, as well as cross-risk between these conditions is observed[9]. This finding may indicate a potential long-term association between the HRV profile and stroke risk. However, further investigations are needed to assess the potential predictive value of novel HRV indices and their correlations with the angiographic severity of IHD.

To the best of our knowledge, the present study is the first to examine associations between the above-mentioned novel HRV indices and the severity of coronary atherosclerosis. In our opinion, it is still too early to state that novel time-domain HRV indices may be helpful in detecting coronary atherosclerosis. However, taking into account correlations between some of these parameters and the Gensini score, they merit more attention and further studies with larger numbers of participants.

A few limitations of the present study need to be acknowledged. First, this is a single-center study with a small group of patients. Second, HRV analysis was performed using 5-minute ECG recordings. While short-term recordings provide a stationary signal, they are more suitable for assessing spectral parameters than for evaluating time-domain measures[29]. Third, coronary angiograms were analyzed only by an operator performing coronary procedures. The visual interpretation of coronary angiograms has been shown to be variable. There is a significant intra- and interobserver variability in the interpretation of the severity of stenoses on coronary angiography, especially in the assessment of intermediate coronary lesions, ostial lesions, and bifurcations[30,31]. Therefore, it would be much more precise if they were analyzed by two independent observers. Furthermore, the study protocol did not include echocardiography; thus, regional wall motion abnormalities or ejection fraction were not taken into account in this analysis. These factors may have a significant association with autonomic cardiac control. Furthermore, the correlations presented for the selected novel HRV indices are weak, and conclusions based on these results should be interpreted with caution. However, it cannot be ruled out that analysis of a larger group of patients would have yielded stronger correlations between HRV indices and angiographic severity of coronary atherosclerosis. Last but not least, in contrast to HF or RMSSD, which are considered to be parasympathetic-mediated HRV indices, it is difficult to confirm a link between any of the novel HRV indices with a specific part of the ANS, i.e., sympathetic or parasympathetic activity. This is one of the reasons why the description of the biological effects that are far beyond that of statistical significance is difficult. This limitation, along with the scarcity of data on novel HRV parameters in healthy and physically fit individuals, complicates the interpretation of the study results and limits the evaluation of their clinical relevance. It should also be pointed out that there are many factors - not only angiographic severity of coronary atherosclerosis - influencing autonomic nervous activity and HRV. The higher the number of factors affecting HRV, the harder it is to put the results into the appropriate clinical context. The study cannot directly address this issue, but it assesses new models of mathematical interpretation of HRV and provides an impetus for further research that will enable a better understanding of the clinical potential of novel HRV indices.

CONCLUSION

The following conclusions can be drawn from the present study. Angiographic severity of coronary atherosclerosis in stable IHD patients evaluated by the Gensini score is negatively correlated with selected novel HRV indices. The majority of them have not been studied extensively so far. None of the standard time-domain and spectral HRV indices was correlated with the severity of coronary atherosclerosis assessed by the Gensini score. There is a need for further research with a larger sample of participants that will determine the role of novel HRV in the detection and assessment of coronary atherosclerosis.

References
1.  Wolf MM, Varigos GA, Hunt D, Sloman JG. Sinus arrhythmia in acute myocardial infarction. Med J Aust. 1978;2:52-53.  [RCA]  [PubMed]  [DOI]  [Full Text]  [Cited by in Crossref: 270]  [Cited by in RCA: 216]  [Article Influence: 4.5]  [Reference Citation Analysis (1)]
2.  Kleiger RE, Miller JP, Bigger JT Jr, Moss AJ. Decreased heart rate variability and its association with increased mortality after acute myocardial infarction. Am J Cardiol. 1987;59:256-262.  [RCA]  [PubMed]  [DOI]  [Full Text]  [Cited by in Crossref: 3009]  [Cited by in RCA: 2547]  [Article Influence: 65.3]  [Reference Citation Analysis (0)]
3.  Hayano J, Sakakibara Y, Yamada M, Ohte N, Fujinami T, Yokoyama K, Watanabe Y, Takata K. Decreased magnitude of heart rate spectral components in coronary artery disease. Its relation to angiographic severity. Circulation. 1990;81:1217-1224.  [RCA]  [PubMed]  [DOI]  [Full Text]  [Cited by in Crossref: 272]  [Cited by in RCA: 245]  [Article Influence: 6.8]  [Reference Citation Analysis (0)]
4.  Hayano J, Yamada A, Mukai S, Sakakibara Y, Yamada M, Ohte N, Hashimoto T, Fujinami T, Takata K. Severity of coronary atherosclerosis correlates with the respiratory component of heart rate variability. Am Heart J. 1991;121:1070-1079.  [RCA]  [PubMed]  [DOI]  [Full Text]  [Cited by in Crossref: 84]  [Cited by in RCA: 82]  [Article Influence: 2.3]  [Reference Citation Analysis (1)]
5.  Tseng CD, Wang TL, Lin JL, Hsu KL, Chiang FT, Tseng YZ. The cause-effect relationship of sympathovagal activity and the outcome of percutaneous transluminal coronary angioplasty. Jpn Heart J. 1996;37:455-462.  [RCA]  [PubMed]  [DOI]  [Full Text]  [Cited by in Crossref: 6]  [Cited by in RCA: 5]  [Article Influence: 0.2]  [Reference Citation Analysis (1)]
6.  Rich MW, Saini JS, Kleiger RE, Carney RM, teVelde A, Freedland KE. Correlation of heart rate variability with clinical and angiographic variables and late mortality after coronary angiography. Am J Cardiol. 1988;62:714-717.  [RCA]  [PubMed]  [DOI]  [Full Text]  [Cited by in Crossref: 190]  [Cited by in RCA: 180]  [Article Influence: 4.7]  [Reference Citation Analysis (0)]
7.  Wachowiak-Baszyńska H, Ochotny R. Zmienność rytmu zatokowego w chorobie niedokrwiennej serca. Część II: Parametry zmienności rytmu zatokowego a przebyty zawał serca i obecność istotnych zmian miażdzycowych w tętnicach wieńcowych u osób ze stabilną chorobą niedokrwienną serca. Folia Cardiol. 2001;3:277-284.  [PubMed]  [DOI]
8.  Wachowiak-Baszyńska H, Ochotny R. Zmienność rytmu zatokowego w chorobie niedokrwiennej serca. Część III: Parametry zmienności rytmu zatokowego a funkcja lewej komory i zaawansowanie zmian miażdżycowych w tętnicach wieńcowych u pacjentów ze stabilną chorobą niedokrwienną serca. Folia Cardiol. 2001;4:355-361.  [PubMed]  [DOI]
9.  Kuzemczak M, Białek-Ławniczak P, Torzyńska K, Janowska-Kulińska A, Miechowicz I, Kramer L, Moczko J, Siminiak T. Comparison of Baseline Heart Rate Variability in Stable Ischemic Heart Disease Patients with and without Stroke in Long-Term Observation. J Stroke Cerebrovasc Dis. 2016;25:2526-2534.  [RCA]  [PubMed]  [DOI]  [Full Text]  [Cited by in Crossref: 4]  [Cited by in RCA: 7]  [Article Influence: 0.7]  [Reference Citation Analysis (1)]
10.  Jamal R, Pichlik H.   LabVIEW. Applications and Solutions, Prentice Hall PTR, New Jersey, 1999: 286-287.  [PubMed]  [DOI]
11.  Olansen JB, Rosow E.   Virtual Bio-Instrumentation. Biomedical, clinical and healthcare applications in LabVIEW, Prentice Hall PTR, New Jersey, 2002: 14-15.  [PubMed]  [DOI]
12.  Moczko J. Advanced methods of heart rate signals processing and their usefulness in diagnosis support. I. Mathematical heart rate descriptors and virtual instrumentation. Comput Methods Sci Eng. 2002;8:65-76.  [RCA]  [PubMed]  [DOI]  [Full Text]  [Cited by in Crossref: 1]  [Cited by in RCA: 4]  [Article Influence: 0.2]  [Reference Citation Analysis (1)]
13.  Gensini GG. A more meaningful scoring system for determining the severity of coronary heart disease. Am J Cardiol. 1983;51:606.  [RCA]  [PubMed]  [DOI]  [Full Text]  [Cited by in Crossref: 1610]  [Cited by in RCA: 1512]  [Article Influence: 35.2]  [Reference Citation Analysis (1)]
14.  Levy MN. Autonomic interactions in cardiac control. Ann N Y Acad Sci. 1990;601:209-221.  [RCA]  [PubMed]  [DOI]  [Full Text]  [Cited by in Crossref: 138]  [Cited by in RCA: 132]  [Article Influence: 3.7]  [Reference Citation Analysis (1)]
15.  Hoffman JI. Autoregulation and heart rate. Circulation. 1990;82:1880-1881.  [RCA]  [PubMed]  [DOI]  [Full Text]  [Cited by in Crossref: 7]  [Cited by in RCA: 6]  [Article Influence: 0.2]  [Reference Citation Analysis (1)]
16.  Lanza GA, Pedrotti P, Pasceri V, Lucente M, Crea F, Maseri A. Autonomic changes associated with spontaneous coronary spasm in patients with variant angina. J Am Coll Cardiol. 1996;28:1249-1256.  [RCA]  [PubMed]  [DOI]  [Full Text]  [Cited by in Crossref: 83]  [Cited by in RCA: 86]  [Article Influence: 2.9]  [Reference Citation Analysis (0)]
17.  Willich SN, Maclure M, Mittleman M, Arntz HR, Muller JE. Sudden cardiac death. Support for a role of triggering in causation. Circulation. 1993;87:1442-1450.  [RCA]  [PubMed]  [DOI]  [Full Text]  [Cited by in Crossref: 164]  [Cited by in RCA: 141]  [Article Influence: 4.3]  [Reference Citation Analysis (1)]
18.  Pozzati A, Pancaldi LG, Di Pasquale G, Pinelli G, Bugiardini R. Transient sympathovagal imbalance triggers "ischemic" sudden death in patients undergoing electrocardiographic Holter monitoring. J Am Coll Cardiol. 1996;27:847-852.  [RCA]  [PubMed]  [DOI]  [Full Text]  [Cited by in Crossref: 46]  [Cited by in RCA: 44]  [Article Influence: 1.5]  [Reference Citation Analysis (1)]
19.  Chistiakov DA, Ashwell KW, Orekhov AN, Bobryshev YV. Innervation of the arterial wall and its modification in atherosclerosis. Auton Neurosci. 2015;193:7-11.  [RCA]  [PubMed]  [DOI]  [Full Text]  [Cited by in Crossref: 20]  [Cited by in RCA: 26]  [Article Influence: 2.4]  [Reference Citation Analysis (1)]
20.  Hu XX, Goldmuntz EA, Brosnan CF. The effect of norepinephrine on endotoxin-mediated macrophage activation. J Neuroimmunol. 1991;31:35-42.  [RCA]  [PubMed]  [DOI]  [Full Text]  [Cited by in Crossref: 91]  [Cited by in RCA: 94]  [Article Influence: 2.7]  [Reference Citation Analysis (1)]
21.  Haensel A, Mills PJ, Nelesen RA, Ziegler MG, Dimsdale JE. The relationship between heart rate variability and inflammatory markers in cardiovascular diseases. Psychoneuroendocrinology. 2008;33:1305-1312.  [RCA]  [PubMed]  [DOI]  [Full Text]  [Cited by in Crossref: 174]  [Cited by in RCA: 189]  [Article Influence: 10.5]  [Reference Citation Analysis (1)]
22.  Malliani A, Schwartz PJ, Zanchetti A. A sympathetic reflex elicited by experimental coronary occlusion. Am J Physiol. 1969;217:703-709.  [RCA]  [PubMed]  [DOI]  [Full Text]  [Cited by in Crossref: 408]  [Cited by in RCA: 369]  [Article Influence: 6.5]  [Reference Citation Analysis (1)]
23.  Huikuri HV, Mäkikallio TH. Heart rate variability in ischemic heart disease. Auton Neurosci. 2001;90:95-101.  [RCA]  [PubMed]  [DOI]  [Full Text]  [Cited by in Crossref: 55]  [Cited by in RCA: 53]  [Article Influence: 2.1]  [Reference Citation Analysis (1)]
24.  Airaksinen KE, Ikäheimo MJ, Linnaluoto MK, Niemelä M, Takkunen JT. Impaired vagal heart rate control in coronary artery disease. Br Heart J. 1987;58:592-597.  [RCA]  [PubMed]  [DOI]  [Full Text]  [Full Text (PDF)]  [Cited by in Crossref: 100]  [Cited by in RCA: 98]  [Article Influence: 2.5]  [Reference Citation Analysis (1)]
25.  Huikuri HV, Niemelä MJ, Ojala S, Rantala A, Ikäheimo MJ, Airaksinen KE. Circadian rhythms of frequency domain measures of heart rate variability in healthy subjects and patients with coronary artery disease. Effects of arousal and upright posture. Circulation. 1994;90:121-126.  [RCA]  [PubMed]  [DOI]  [Full Text]  [Cited by in Crossref: 202]  [Cited by in RCA: 192]  [Article Influence: 6.0]  [Reference Citation Analysis (1)]
26.  Pawlak-Buś K, Kołodziejczyk-Feliksik M, Kramer L, Nikisch E, Moczko J, Siminiak T. The Allan factor: a new model of mathematical interpretation of heart rate variability in stable coronary artery disease. Preliminary results. Kardiol Pol. 2005;63:125-132; discussion 133.  [PubMed]  [DOI]
27.  Janowska-Kulińska A, Torzyńska K, Markiewicz-Grochowalska A, Sowińska A, Majewski M, Jerzykowska O, Pawlak-Buś K, Kramer L, Moczko J, Siminiak T. Changes in heart rate variability caused by coronary angioplasty depend on the localisation of coronary lesions. Kardiol Pol. 2009;67:130-138; discussion 139.  [PubMed]  [DOI]
28.  Torzyńska K, Janowska-Kulińska A, Markiewicz-Grochowalska A, Pawlak-Buś K, Sowińska A, Kramer L, Siminiak T. Analiza zmienności rytmu serca u pacjentów ze stabilną chorobą wieńcową i cukrzycą – przydatność wskaźników falkowych. Pol Przegl Kardiol. 2009;2:104-109.  [PubMed]  [DOI]
29.  Heart rate variability. Standards of measurement, physiological interpretation, and clinical use. Task Force of the European Society of Cardiology and the North American Society of Pacing and Electrophysiology. Eur Heart J. 1996;17:354-381.  [PubMed]  [DOI]
30.  Tobis J, Azarbal B, Slavin L. Assessment of intermediate severity coronary lesions in the catheterization laboratory. J Am Coll Cardiol. 2007;49:839-848.  [RCA]  [PubMed]  [DOI]  [Full Text]  [Cited by in Crossref: 156]  [Cited by in RCA: 138]  [Article Influence: 7.3]  [Reference Citation Analysis (1)]
31.  Girasis C, Onuma Y, Schuurbiers JC, Morel MA, van Es GA, van Geuns RJ, Wentzel JJ, Serruys PW; 5th meeting of the European Bifurcation Club. Validity and variability in visual assessment of stenosis severity in phantom bifurcation lesions: a survey in experts during the fifth meeting of the European Bifurcation Club. Catheter Cardiovasc Interv. 2012;79:361-368.  [RCA]  [PubMed]  [DOI]  [Full Text]  [Cited by in Crossref: 32]  [Cited by in RCA: 27]  [Article Influence: 1.8]  [Reference Citation Analysis (1)]
Footnotes

Peer review: Externally peer reviewed.

Peer-review model: Single blind

Specialty type: Medicine, research and experimental

Country of origin: Poland

Peer-review report’s classification

Scientific quality: Grade C, Grade C

Novelty: Grade B, Grade C

Creativity or innovation: Grade B, Grade C

Scientific significance: Grade C, Grade C

P-Reviewer: Romanchuk OP, PhD, Full Professor, Ukraine S-Editor: Bai SR L-Editor: A P-Editor: Zhao YQ

Write to the Help Desk