Copyright
©The Author(s) 2026.
World J Orthop. Jan 18, 2026; 17(1): 112262
Published online Jan 18, 2026. doi: 10.5312/wjo.v17.i1.112262
Published online Jan 18, 2026. doi: 10.5312/wjo.v17.i1.112262
Figure 1 The flow chart of the study.
Figure 2 Computed tomography images of the distal part of the right femur of a rabbit from group 4 (autopsy at 6 months control point).
A: Three-dimensional reconstruction showing the heterogeneous density of the implanted material with visible inclusions of calcium sulfate and bone trabeculae ingrowth; B: Computed tomography cross-sectional slice confirming the implant structure and absence of peri-implant resorption.
Figure 3 Pathological evolution of bone tuberculosis under different treatment regimens: A comparative histological and computed tomography analysis.
A and B: Group 1 (control) - infection was induced; no surgical or medical treatment was performed; autopsy at the 3-month control point. Scanned histologic section stained with hematoxylin and eosin, histological section showing specific inflammation occupying 405% of the specimen area, involving the metaphysis and diaphysis zones, including the articular surface (A); computed tomography (CT) cross-section of the corresponding macroscopic specimen of the epiphysis of the right femur, corresponding computed tomography image of the same distal femur region, the metaphyseal plate is not visualized due to severe inflammation (B); C and D: Group 2 - surgical or medical treatment + anti-tuberculous therapy-only, autopsy at 3 months control point. Scanned histologic section stained with hematoxylin and eosin, the area of specific displacement in the diaphysis contains necrosis with detritus in the center (C); CT cross-section of the corresponding macroscopic specimen of the epiphysis of the right femur (D); E and F: Group 2 - surgical or medical treatment + anti-tuberculous therapy-only, autopsy at 6 months control point. Scanned histologic section stained with hematoxylin and eosin, specific inflammatory infiltrates are determined in an area of no more than 1% of the epiphyseal zone, a single productive epithelioid cell granuloma surrounded by a ridge of lymphocytes is revealed (E); CT cross-section of the corresponding macroscopic specimen of the epiphysis of the right femur (F); G and H: Group 4 - surgical or medical treatment + pamidronate-only, autopsy at 6 months control point. Scanned histologic section stained with hematoxylin and eosin, the histoarchitecture of the epiphyseal zone is altered due to inflammation, the beam structure is partially restored, and the beams form a looped network in the epiphysis (G); CT cross-section of the corresponding macroscopic specimen of the epiphysis of the right femur (H). In the epiphysis zone, closer to the cortical bone, according to CT data, implant granules are visualized. Nonspecific inflammation, primarily characterized by lymphoplasmacytic infiltration, is also visible in this zone on histological preparations. Growing beams with active osteoblasts on the surface, full-blooded vessels, and isolated bone sequestra are found in this zone, a mature connective tissue capsule is present in some areas around the foci. Around the foci of inflammation, there is bone marrow remodeling, characterized by active mesenchyme and granulation tissue of varying maturity, with an increased number of full-blooded vessels. Stromal cords with lymphocytic infiltration extend from the inflammation zone; single multinucleated cells of the “foreign body” type are encountered, and diffuse single lymphocytic infiltration is found in the thickness of the bone marrow tissue.
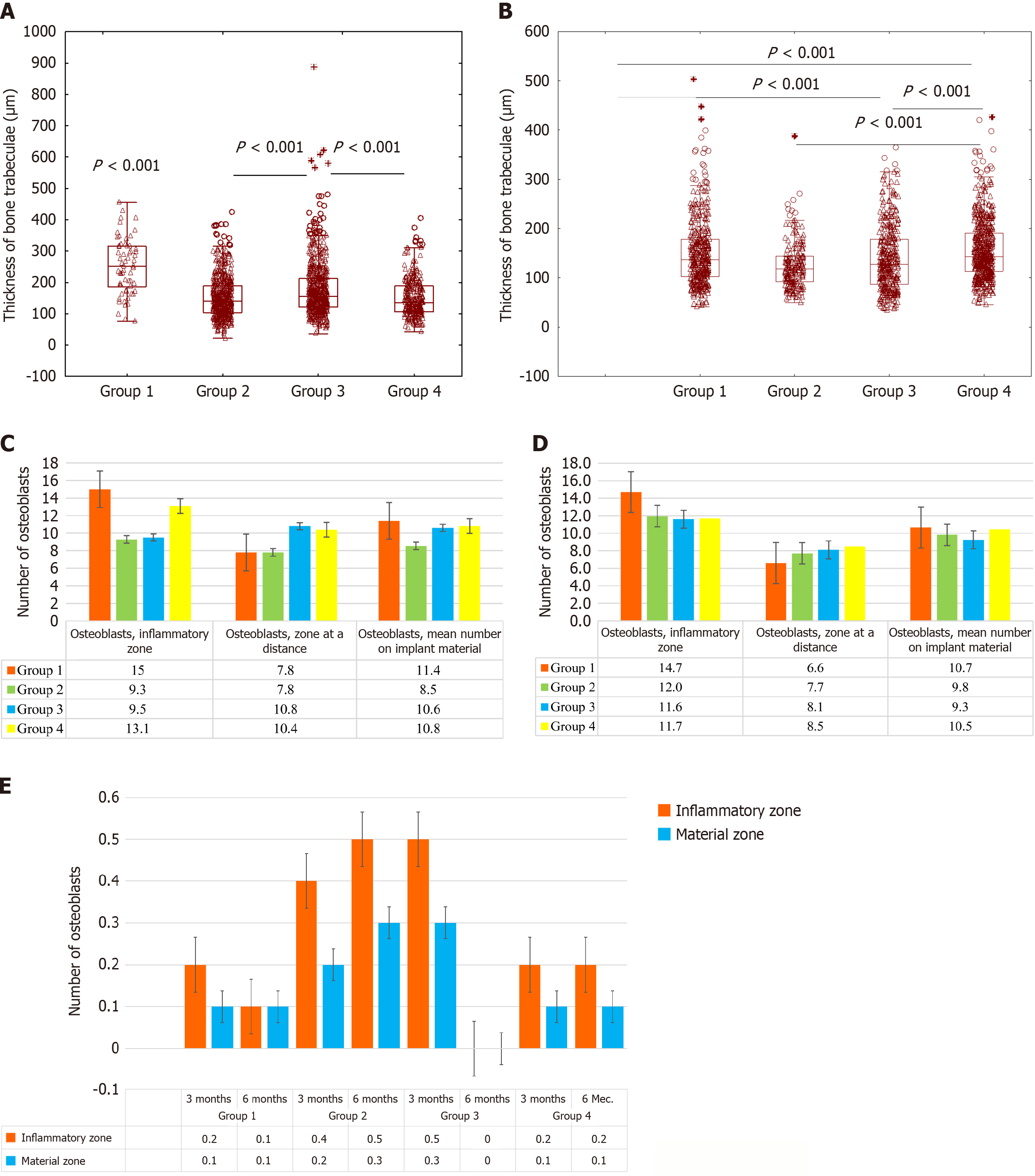
Figure 4 Quantitative histomorphometry analysis of bone remodeling in the femoral epiphysis.
A and B: Thickness of bone trabeculae in the epiphysis at 3 months and 6 months control points, measured in micrometers (μm); C and D: Number of osteoblasts per high-power field in the femoral epiphysis at 3 months and 6 months control points (magnification × 1000), median; E: Number of osteoclasts per high-power field in femoral epiphyses (magnification × 1000), median.
- Citation: Petukhova VV, Mushkin AY, Maletin AS, Dogonadze MZ, Zabolotnykh NV, Dyakova ME, Esmedlyaeva DS, Vinogradova TI, Kostik MM. Novel use of bisphosphonates to improve surgical outcomes in experimental bone tuberculosis. World J Orthop 2026; 17(1): 112262
- URL: https://www.wjgnet.com/2218-5836/full/v17/i1/112262.htm
- DOI: https://dx.doi.org/10.5312/wjo.v17.i1.112262
