Copyright
©The Author(s) 2025.
World J Clin Oncol. Dec 24, 2025; 16(12): 111601
Published online Dec 24, 2025. doi: 10.5306/wjco.v16.i12.111601
Published online Dec 24, 2025. doi: 10.5306/wjco.v16.i12.111601
Figure 1 Workflow of this study.
CT: Computed tomography; oART: Online adaptive radiotherapy; iCBCT: Iterative cone-beam computed tomography; CTV: Clinical target volume; OARs: Organs at risk; ASD: Average surface distance; DSC: Dice similarity coefficient; HD: Hausdorff distance.
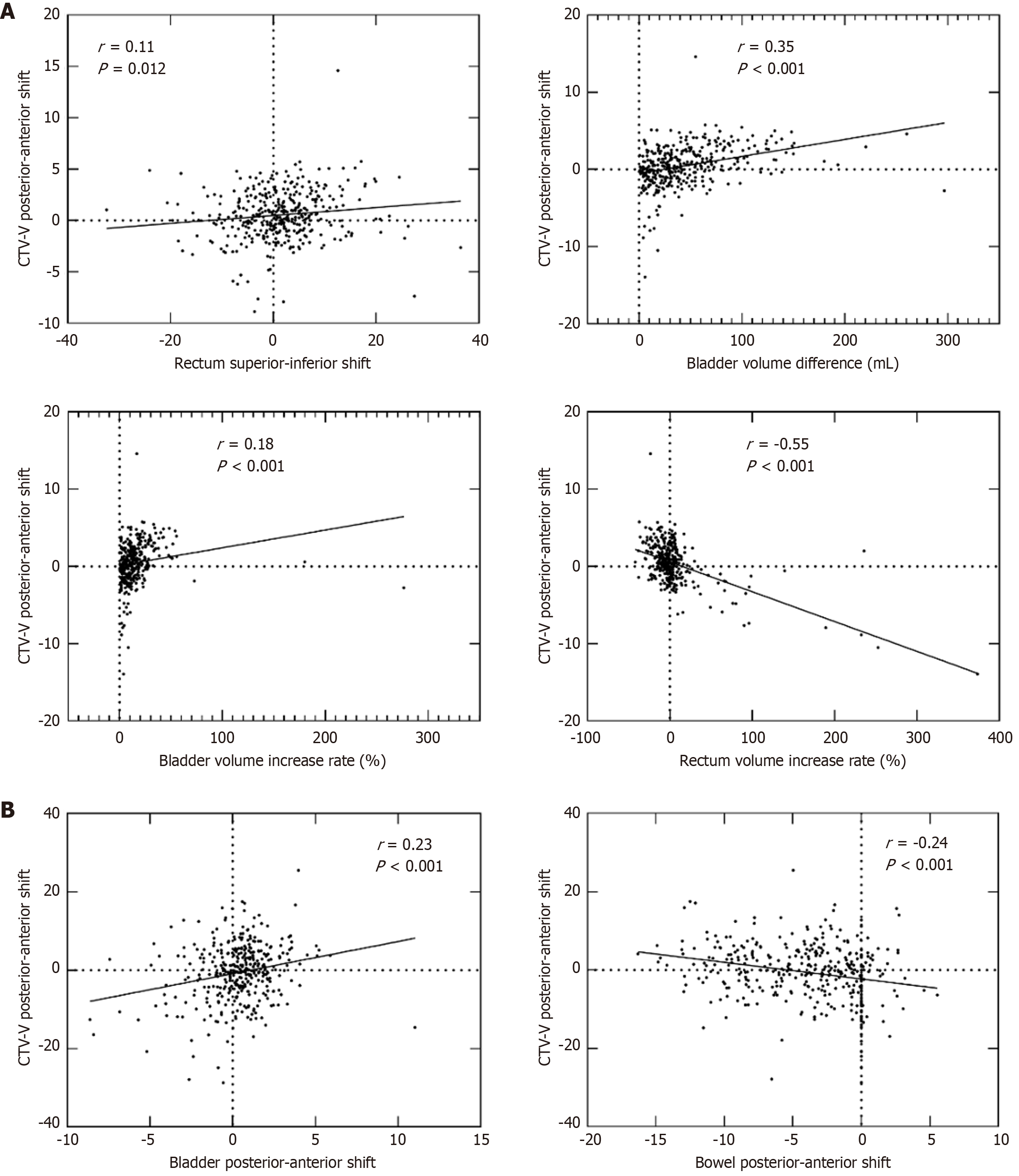
Figure 2 Correlation between intra-fractional clinical target volume that includes the proximal vagina and any paravaginal tissue motion and the motion and volume variation of surrounding organs.
The r values and P values are indicated for each comparison. Point 0 represents the clinical target volume that includes the proximal vagina and any paravaginal tissue (CTV-V) position and the positions of surrounding organs on the pre-treatment iterative cone-beam computed tomography, along with zero volume difference and volume increase rate. A: Correlation between the posterior-anterior shift of CTV-V and four factors with significant correlation coefficient: Superior-inferior shift of rectum, bladder volume difference, bladder volume increase rate, and rectum volume increase rate; B: Correlation between the superior-inferior shift of CTV-V and two factors with significant correlation coefficient: Posterior-anterior shift of bladder and bowel. CTV-V: Clinical target volume that includes the proximal vagina and any paravaginal tissue.
- Citation: Wang GY, Chen YN, Sun YL, Zhou B, Zhang FQ, Yan JF, Hu K. Impact evaluation of intra-fractional variation on online adaptive radiotherapy for postoperative cervical and endometrial cancer. World J Clin Oncol 2025; 16(12): 111601
- URL: https://www.wjgnet.com/2218-4333/full/v16/i12/111601.htm
- DOI: https://dx.doi.org/10.5306/wjco.v16.i12.111601
