Copyright
©The Author(s) 2025.
World J Clin Oncol. Nov 24, 2025; 16(11): 110687
Published online Nov 24, 2025. doi: 10.5306/wjco.v16.i11.110687
Published online Nov 24, 2025. doi: 10.5306/wjco.v16.i11.110687
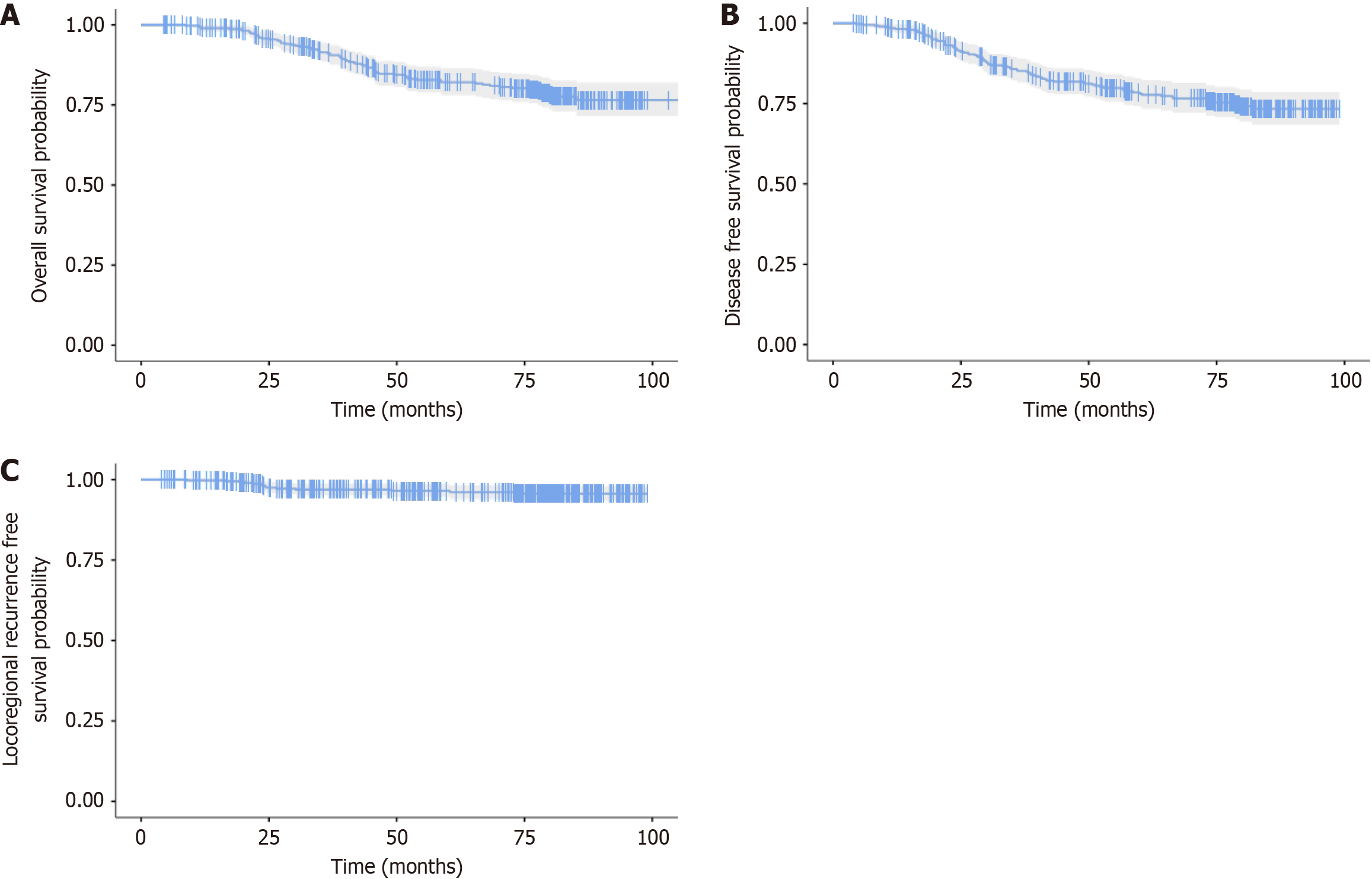
Figure 1 Overall survival, disease-free survival and locoregional recurrence-free survival in women with early breast cancer in Morocco.
A: Overall survival; B: Disease-free survival; C: Locoregional recurrence-free survival.
Figure 2 Overall survival in women with early breast cancer in Morocco according to prognostic factors (log-rank test).
A: Overall survival (OS) according to age (> 40 years vs < 40 years); B: OS according to nodal status (negative vs positive); C: OS according to American Joint Committee on Cancer (AJCC) stage (stage I-II vs stage III); D: OS according to Scarff-Bloom-Richardson grade (grade 1 vs grade 2 vs grade 3).
Figure 3 Clinical outcomes in women with early breast cancer in Morocco according to prognostic factors (log-rank test).
A: Overall survival according to hormone receptor (HR) status; B: Disease-free survival according to HR status.
Figure 4 Hazard regression plots.
A: Multivariate analysis of overall survival; B: Multivariate analysis of disease-free survival. CMF: Cyclophosphamide, methotrexate, fluorouracil; HR: Hormone receptor; IDC: Invasive ductal carcinoma; ILC: Invasive lobular carcinoma; SBR: Scarff-Bloom-Richardson.
Figure 5 Disease-free survival in women with early breast cancer in Morocco according to prognostic factors (log-rank test).
A: Disease-free survival (DFS) according to age (> 40 years vs < 40 years); B: DFS according to nodal status (negative vs positive); C: DFS according to American Joint Committee on Cancer (AJCC) stage (stage I-II vs stage III); D: DFS according to Scarff-Bloom-Richardson grade (grade 1 vs grade 2 vs grade 3).
- Citation: Ismaili N, Guessous F, El Majjaoui S. Clinical outcomes of early-stage breast cancer in Morocco: A cohort of 400 women. World J Clin Oncol 2025; 16(11): 110687
- URL: https://www.wjgnet.com/2218-4333/full/v16/i11/110687.htm
- DOI: https://dx.doi.org/10.5306/wjco.v16.i11.110687
