BPG is committed to discovery and dissemination of knowledge
Retrospective Study Open Access
©Author(s) (or their employer(s)) 2026. No commercial re-use. See Permissions. Published by Baishideng Publishing Group Inc.
World J Gastrointest Surg. Feb 27, 2026; 18(2): 112924
Published online Feb 27, 2026. doi: 10.4240/wjgs.v18.i2.112924
Post-chemotherapy C-reactive protein/albumin ratio predicts prognosis in stage II-III colorectal cancer
Fei-Fei Kong, Department of Oncology, The Affiliated Hospital of Xuzhou Medical University, Xuzhou 221000, Jiangsu Province, China
Xuan Geng, Ru-Ming Liu, Wen-Tao Zhang, Bin Quan, Yong Zhong, You-Long Zhu, Department of Gastrointestinal Surgery, Xuzhou Central Hospital, Xuzhou 221000, Jiangsu Province, China
ORCID number: You-Long Zhu (0009-0008-0843-1362).
Co-corresponding authors: Yong Zhong and You-Long Zhu.
Author contributions: Kong FF designed the research, wrote the first manuscript, conducted the analysis, and provided guidance for the research; Kong FF, Geng X, Liu RM, Zhang WT, Quan B, Zhong Y, and Zhu YL contributed to conceiving the research and analyzing data; Zhong Y and Zhu YL made equal contributions as co-corresponding authors; all authors reviewed and approved the final manuscript.
Supported by The Affiliated Hospital of Xuzhou Medical University, No. 2023ZL08.
Institutional review board statement: The study was approved by the Institutional Review Board of The Affiliated Hospital of Xuzhou Medical University, No. XYFY2025-KL347-01.
Informed consent statement: Data was de-identified and retrospectively collected, and therefore informed consent was not required from each patient.
Conflict-of-interest statement: All the authors report no relevant conflicts of interest for this article.
Data sharing statement: No additional data are available.
Corresponding author: You-Long Zhu, MD, Department of Gastrointestinal Surgery, Xuzhou Central Hospital, No. 199 Jiefang South Road, Xuzhou 221000, Jiangsu Province, China. b2418273@zju.edu.cn
Received: September 16, 2025
Revised: November 4, 2025
Accepted: December 22, 2025
Published online: February 27, 2026
Processing time: 163 Days and 1.5 Hours

Abstract
BACKGROUND

Colorectal cancer (CRC) is a leading cause of cancer-related mortality worldwide. The C-reactive protein/albumin ratio (CAR) has emerged as a potential prognostic marker in various cancers. Nonetheless, if the post-surgical drug therapy CAR is a beneficial predictive component in individuals with CRC remains unclear.

AIM

To investigate the prognostic value of post-adjuvant chemotherapy CAR in comparison with preoperative CAR and other inflammatory markers in patients with stage II-III CRC.

METHODS

This retrospective study included 445 patients with CRC that experienced anti-cancer therapy subsequent to definitive excision. Pre-surgical and post-adjuvant therapeutic regimen CAR, neutrophil-to-lymphocyte ratio (NLR), platelet-to-lymphocyte ratio (PLR), and systemic immune-inflammation index (SII) were calculated to assess the inflammatory state of the patients. First, patients were divided into two groups based on the CAR, NLR, PLR, and SII values. Furthermore, patients were partitioned into four clusters for every parameter based on the long-term variations in measures from before surgery to after chemotherapy: Low, normalized, high, and elevated groups. Multiple studies concerning overall survival (OS) were executed to compensate for well-documented clinicopathological factors. Kaplan-Meier method and Cox regression approaches were applied to evaluate distinct predictive factor.

RESULTS

Post-adjuvant chemotherapy CAR demonstrated the highest area under the curve value (0.8175) among all inflammatory markers for predicting OS. Post-adjuvant chemotherapy inflammatory markers (CAR, NLR, PLR, and SII) showed significantly higher area under the curve values than their preoperative counterparts. Longitudinal analysis revealed that a reduced inflammatory cohort exhibited markedly superior OS than an elevated inflammatory cohort regarding every indicator (all P < 0.0001). The normalized group (high preoperatively but low post-chemotherapy) exhibited notably inferior outlook than the consistently reduced population for CAR (P = 0.0002) and SII (P = 0.0002).

CONCLUSION

These results indicate that post-adjuvant chemotherapy CAR is superior to preoperative measurements and other systemic inflammation-based prognostic scores in predicting outcomes for patients with stage II-III CRC. Longitudinal monitoring of inflammatory markers, particularly CAR, provides valuable prognostic information and may guide clinical decision-making in the post-treatment surveillance period.

Key Words: C-reactive protein/albumin ratio; Post-adjuvant chemotherapy; Prognostic scores; Neutrophil-to-lymphocyte ratio; Platelet-to-lymphocyte ratio; Systemic immune-inflammation index

Core Tip: In this study, we evaluated inflammation-related prognostic markers in patients with colorectal cancer. The results indicated a strong connection between C-reactive protein/albumin ratio values and adverse prognoses. Moreover, the longitudinal changes of inflammation-related prognostic markers had a significant impact on the prognosis of these patients following adjuvant chemotherapy. Therefore, assessing hematological markers is instrumental in evaluating disease progression and prognosis in patients with colorectal cancer.



INTRODUCTION

Colorectal cancer (CRC) is the second leading cause of cancer death worldwide[1]. Locally advanced CRC corresponds to stage II or III CRC and is the most prevalent stage at diagnosis[2]. Despite standard-of-care treatment, > 30% of resectable CRC cases relapse[3]. Presently, physicians frequently assess the outcome based on the American Joint Committee on Cancer (AJCC) staging system; however, this outlook for individuals within this equivalent classification is often inconsistent. Moreover, the AJCC classification framework may exclusively remain acquired following surgical intervention, never following adjunctive treatment, lacking denoting a subject’s status during a supplementary therapy burden. Consequently, exploring enhanced, inclusive, and multi-faceted indicators to furnish further prognostic data is essential.

Accumulating evidence suggests that disease-associated inflammatory activity and individual nutritional condition are crucial in tumor progression and treatment outcomes in CRC. C-reactive protein (CRP), an acute-phase protein synthesized by hepatocytes in response to proinflammatory cytokines such as interleukin-6 and tumor necrosis factor-α, serves as a sensitive marker of systemic inflammation[4,5]. Elevated CRP levels reflect the tumor-induced inflammatory microenvironment and have been consistently associated with poor prognosis in patients with CRC[5,6]. Postoperative CRP measurements have demonstrated significant independent prognostic value, with elevated levels predicting poorer overall survival (OS), tumor-specific survival, and relapse-free survival among individuals with CRC[5,6]. Conversely, serum albumin (Alb), the most abundant plasma protein, is not only a marker of nutritional status but also reflects the severity of systemic inflammatory response based on negative regulation by inflammatory cytokines[7,8]. Hypoalbuminemia in patients with cancer often indicates malnutrition and chronic inflammation, both of which contribute to tumor progression, treatment intolerance, and poor survival outcomes in stage II-III CRC[8,9].

The CRP/Alb ratio (CAR), which integrates inflammatory and nutritional components into a single parameter, has emerged as a novel comprehensive indicator with superior prognostic value compared with either marker alone[10,11]. In stage II-III CRC, where patients undergo curative surgery followed by adjuvant chemotherapy, the balance between inflammation and nutritional status becomes particularly critical for determining treatment response and long-term survival. Multiple meta-analyses have demonstrated that elevated pretreatment CAR is significantly associated with poor OS (hazard ratio, 2.0-2.4) and poor disease-free survival (hazard ratio, 1.7-2.4) in patients with CRC[10-12]. Furthermore, high CAR has been found to correlate with advanced tumor stage (III/IV), larger tumor size, poor differentiation, and elevated carcinoembryonic antigen (CEA) levels[10,11]. Specifically, in patients with stage II-III CRC, preoperative CAR was identified as an independent prognostic factor for relapse-free survival and OS[13]. However, most studies have focused primarily on preoperative CAR values, which may not fully capture the dynamic changes in inflammatory and nutritional status following surgical stress and chemotherapy-induced systemic alterations.

General reaction emerging through intricate host-cancer interactions remains a vital element within cancers, which are crucial for illness progression among subjects possessing multiple cancers[14-16]. Lately, multiple research endeavors have indicated that pre-surgical immune-inflammatory derived indices, for instance, the neutrophil-to-lymphocyte ratio (NLR), platelet-to-lymphocyte ratio (PLR), CAR, systemic immune-inflammation index (SII), Glasgow prognostic score (GPS), high-sensitivity modified GPS (HS-mGPS), and modified GPS (mGPS), constitute favorable predictive indicators within various cancers, such as CRC[17-22]. Nevertheless, those empirical investigations remained constrained to assessments concerning one pre-diagnostic as well as presurgical inflammatory indicators. Considering the initial assessment period, those metrics are unable to reflect the subject’s status during true surgical and chemotherapy burden. In our observation, medical information frequently vary exceeding our anticipations as subjects experience high surgical or chemo pressure. Therefore, they cannot directly indicate forecast following therapy completion, a critical period when patients with CRC lie in highest danger regarding illness reappearance as well as subsequent malignancies. Hence, in this study, researchers suggested that the following adjuvant chemo inflammation-associated element, which comprised responses for operation and supplementary anti-cancer therapy, could hold greater predictive significance vs the pre-surgical inflammatory response score component, that solely included inherent whole-body inflammatory state. This comprehensive historical sample evaluation designed to assess the outcome significance of the post-surgical medication CAR in patients with CRC, compare this alongside multiple additional indicators of general reactive reaction in individuals undergoing drug therapy following healing surgery for CRC, and analyze contribution regarding progressive shifts within inflammation-associated markers among determining prognosis.

MATERIALS AND METHODS
Study population

Between January 2015 and April 2018, 1128 patients with CRC were identified from two institutions. Of these patients, 445 who met all inclusion criteria were enrolled, whereas 683 were excluded (Figure 1). The eligibility standards were outlined as follows: (1) Pathologically verified large intestine glandular carcinoma; (2) Pathological stage II-III (AJCC 8th edition); (3) Age ≥ 18 years; (4) Curative resection (R0); (5) Completion of 5-fluorouracil-based adjuvant chemotherapy (6-12 months); (6) Available preoperative and post-chemotherapy blood tests (CRP, Alb, and complete blood count); (7) Complete clinical/pathological data, and (8) At least 3 months of follow-up.

Figure 1
Figure 1 Study design and flowchart.

Conversely, the exclusion criteria were as follows: (1) Neoadjuvant therapy; (2) Incomplete adjuvant chemotherapy or non-curative resection; (3) Stage I or IV disease; (4) Emergency surgery or multiple primary cancers; (5) Non-adenocarcinoma histology or hereditary syndromes; (6) Other malignancies within 5 years; (7) Active infections, chronic inflammatory diseases, or severe comorbidities; (8) Immunosuppressive therapy within 3 months; and (9) Incomplete data or lost to follow-up.

Data collection and measurement of inflammation-based prognostic markers

Pre-surgical and post-adjuvant therapy hematological metrics were gathered from patient files. Pre-surgical measurements of granulocytes, lymphoid cells, and thrombocytes, along with CRP and Alb levels, were recorded 30 days prior to operation. Following auxiliary treatment information was considered as outcomes from the blood assay inside 1 interval subsequent to adjunct therapy. Adjunct 5-fluorouracil-associated treatment was delivered during six intervals up to one annum post operation. General reactive indicators constitute thoroughly-studied features such as CAR, NLR, PLR, and SII. Regarding every indicator, subjects were categorized into the low (preop also post-chemo minimal inflamed status), normalized (preoperatively high but post-chemotherapy low inflammatory state), high (continuously elevated inflammatory condition), and elevated (pre-surgery minimal yet post-therapy elevated inflammatory status) groups. The OS for each of these four groups was analyzed.

Survival data

For each evaluated indicator, a single threshold point determined through receiver operating characteristic (ROC) curve examination in relation to 5-year OS was employed. Information about patient longevity was gathered and applied to compute their OS rate, specified as the duration starting from the initial operation date until the demise from any reason. Individuals who did not undergo any occurrences were marked at the final monitoring. Monitoring assessments were performed every 3 months throughout the initial 2 years, every 6 months for the subsequent 3 years, and yearly afterward. Assessment included physical check-up, blood analyses, serum CEA assay, and computed tomography imaging of the thoracic, abdominal, and pelvic regions. For patients following a monitor-and-delay approach, a rigorous monitoring schedule was advised.

Statistical analysis

Findings from diverse cohorts were contrasted via Student’s t-test. Numerical metrics are displayed as mean ± SD. In single-variable analysis, categorical elements were evaluated employing Fisher’s exact test. P < 0.05 was labeled significant. OS was derived using Kaplan-Meier procedures. Inter-cohort disparities were scrutinized for statistical relevance through log-rank test. Statistical assessment was executed utilizing GraphPad Prism 8 (GraphPad Software Inc., La Jolla, CA, United States). ROC diagrams were constructed to establish threshold levels for NLR, PLR, CAR, and SII. The area under the curve (AUC) was applied to measure a model’s efficacy in detecting individuals with post-surgical adverse events. AUC scores fluctuated between 0.5 and 1.0, and the higher the AUC, the more proficient the model.

RESULTS
Characteristics of the study cohort

Information of the research sample is outlined in Figure 1. During January 2015 and April 2018, the entire count of 1128 subjects were identified as having CRC in Xuzhou Municipal General Hospital and the Tertiary Teaching Hospital of Xuzhou Medical College. Among these participants, the subsequent were omitted: 63 individuals failed to get therapy, 155 with incomplete primary information, 382 who skipped operation or drug therapy, and 83 who were to miss extended monitoring. Thus, the ultimate research group comprised 445 sequential individuals.

The medical attributes of the subjects are displayed in Table 1. The central post-treatment monitoring duration for surviving individuals was 67.5 (range, 2.4-96; interquartile range, 50.83) months. Altogether, the research encompassed 195 male and 250 female individuals. The average subject age was 61.83 (range, 38-87) years. Concerning cancer site, 140 and 305 subjects possessed malignancies in the rectal and colonic regions, individually. A cumulative count of 170 fatalities occurred. The five-year OS for the full participant group equaled 38.2%.

Table 1 Clinicopathological characteristics of 445 patients, n (%).
Clinicopathologic characteristics (n = 445)
Result
Age, years, median (range)61.83 (38-87)
Sex
Female250 (56.18)
Male195 (43.82)
Site
Colon305 (68.54)
Rectum140 (31.46)
CEA
< 5 ng/mL255 (57.30)
≥ 5 ng/mL190 (42.70)
Histologic differentiation
Differentiated390 (87.64)
Others55 (12.36)
TNM stage
II180 (40.45)
III265 (59.55)
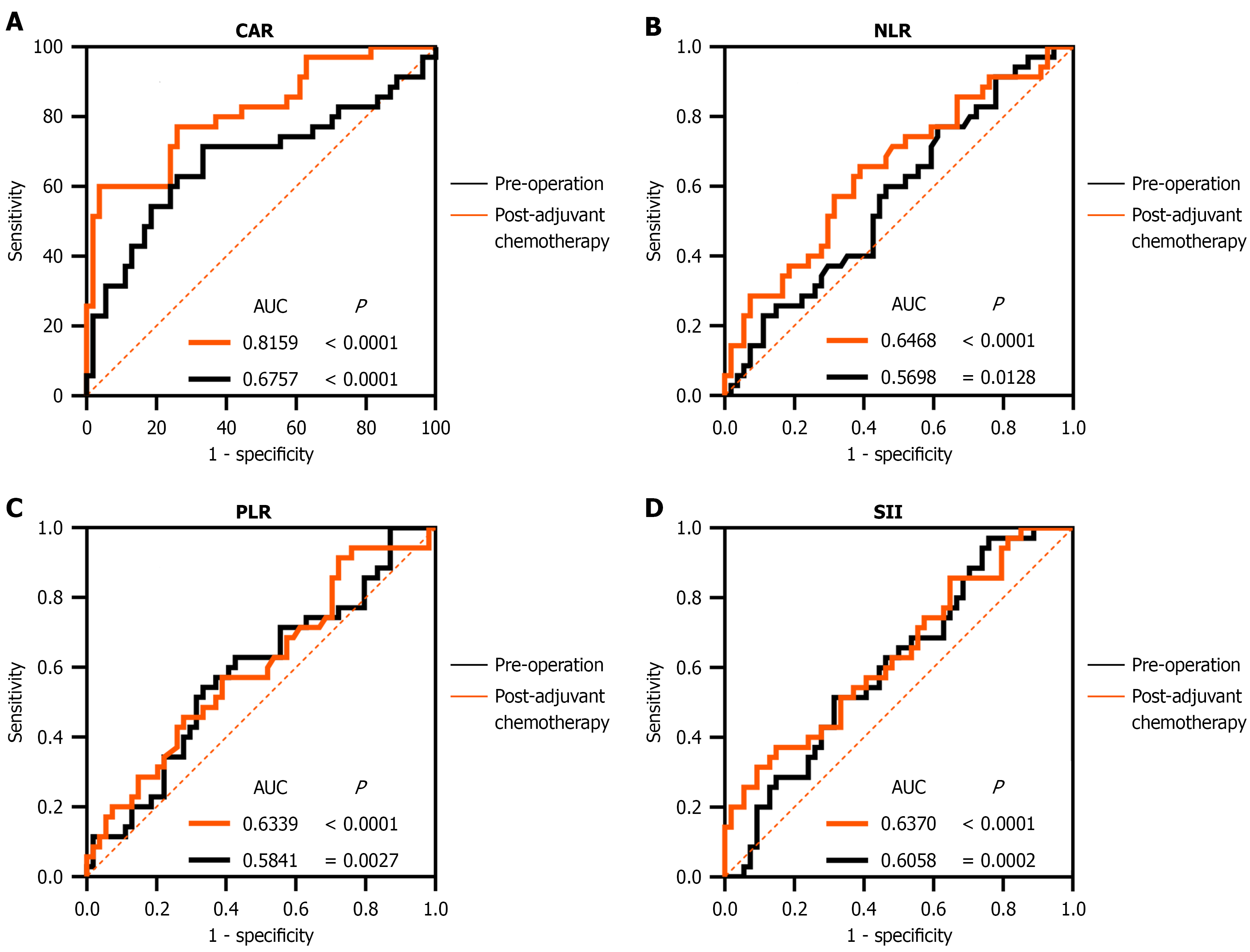
ROC curve analysis for OS

Several reactive markers (CAR, NLR, PLR, and SII) exhibited markedly superior AUC metrics (> 0.5) in forecasting OS (Figure 2). Compared with metrics prior to operation, post-auxiliary treatment CAR, NLR, PLR, and SII displayed markedly superior AUC metrics (> 0.5), with CAR showing the peak AUC metric (0.8175).

Figure 2
Figure 2 Receiver operating characteristic curve analysis to evaluate the predictive value of each inflammatory biomarker for overall survival in all recruited patients with colorectal cancer. A: C-reactive protein/albumin ratio; B: Neutrophil-to-lymphocyte ratio; C: Platelet-to-lymphocyte ratio; D: Systemic immune-inflammation index. CAR: C-reactive protein/albumin ratio; NLR: Neutrophil-to-lymphocyte ratio; PLR: Platelet-to-lymphocyte ratio; SII: Systemic immune-inflammation index; AUC: Area under the curve.
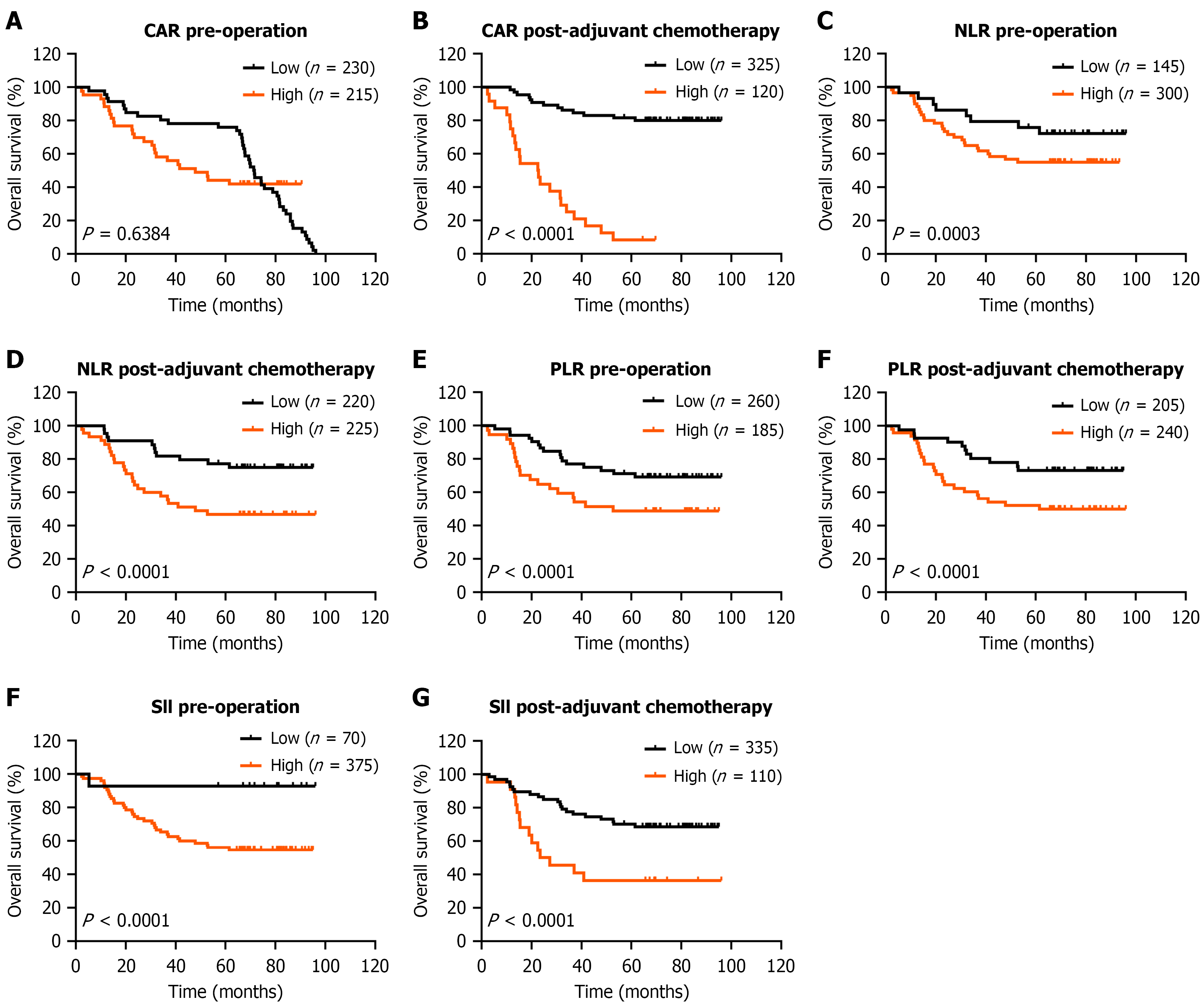
Kaplan-Meier curves of the effect of CAR, NLR, PLR, and SII on OS

According to the outcomes of the ROC evaluation, these participants were classified into elevated CAR, NLR, PLR, and SII cohorts and reduced CAR, NLR, PLR, and SII cohorts. This reduced cohort possessed a markedly better prognosis than the high group, both before surgery and after adjuvant chemotherapy (Figure 3). A contrast regarding outcome across elevated and reduced cohorts proved highly pronounced in patients who had undergone adjuvant chemotherapy, with the CAR being the most significant.

Figure 3
Figure 3 Overall survival curves for patients with stage IIB-IIIC colorectal cancer by an inflammation-based prognostic marker at the preoperative and adjuvant chemotherapy time points (n = 445). Patients were stratified into two groups by C-reactive protein/albumin ratio (CAR), neutrophil-to-lymphocyte ratio (NLR), platelet-to-lymphocyte ratio (PLR), and systemic immune-inflammation index (SII). A: Preoperative CAR; B: Adjuvant chemotherapy CAR; C: Preoperative NLR; D: Adjuvant chemotherapy NLR; E: Preoperative PLR; F: Adjuvant chemotherapy PLR; G: Preoperative SII; H: Adjuvant chemotherapy SII. CAR: C-reactive protein/albumin ratio; NLR: Neutrophil-to-lymphocyte ratio; PLR: Platelet-to-lymphocyte ratio; SII: Systemic immune-inflammation index.
Correlation among CAR, NLR, PLR, SII, and clinicopathological characteristics

Preoperatively, an elevated PLR showed a strong association with chronological age (P = 0.0006) and gender (P = 0.0054). After post-surgical supportive chemo-therapy, CAR metrics exhibited linkage to tumor-node-metastasis staging system (P = 0.0026), PLR exhibited linkage to gender (P = 0.0054), and SII demonstrated connection to chronological age (P = 0.0052). In contrast, no statistically significant inter-group variations were observed in chronological age, gender, neoplasm location, CEA levels, and tumor-node-metastasis classification (Tables 2 and 3).

Table 2 The relationship between the C-reactive protein/albumin ratio, neutrophil-to-lymphocyte ratio, platelet-to-lymphocyte ratio, systemic immune-inflammation index and clinicopathological characteristics in II/III patients with colorectal cancer.
Age
Sex
Site
CEA (ng/mL)
TNM
Female
Male
Colon
Rectum
< 5
≥ 5
II
III
CARLow61.7495135165651607095135
Pre-operation
High61.93105110140759512085130
P value0.860.52660.64830.01920.9999
NLRLow62.767570806595505590
Pre-operation
High61.3812517522575160140125175
P value0.230.49570.08740.36160.2918
PLRLow63.3814012015510516595110100
Pre-operation
High59.656012515035909570115
P value0.00060.00540.03850.19530.8268
SIILow61.933040403050204030
Pre-operation
High61.81170205265110205170140235
P value0.940.99990.35530.37820.2359
Table 3 The relationship between the C-reactive protein/albumin ratio, neutrophil-to-lymphocyte ratio, platelet-to-lymphocyte ratio, systemic immune-inflammation index and clinicopathological characteristics in II/III patients with colorectal cancer.
Age
Sex
Site
CEA (ng/mL)
TNM
Female
Male
Colon
Rectum
< 5
≥ 5
II
III
CARLow61.4414518523595215115165165
Post-adjuvant chemotherapyHigh62.96551607045407515100
P value0.210.81020.4360.01480.0026
NLRLow62.691151101557015075105120
Post-adjuvant chemotherapyHigh60.95851351507010511575145
P value0.110.28880.99990.08820.282
PLRLow61.61951101456012085100105
Post-adjuvant chemotherapyHigh62.021051351608013510580160
P value0.710.00540.03850.19530.8268
SIILow62.66160180230110205135160180
Post-adjuvant chemotherapyHigh59.1440657530150552085
P value0.010.61680.79540.32460.0244
Association between longitudinal changes in CAR, NLR, PLR, SII, and OS

Next, subjects were grouped into four categories for each indicator: Minimal cohort (pre-operation and post-chemotherapy reduced inflammation level), balanced cohort (pre-operation elevated yet post-chemotherapy reduced inflammation level), elevated cohort (continuously high inflammation level), and raised cohort (pre-operation reduced yet post-chemotherapy elevated inflammation level). The OS for each of these four groups was analyzed. The minimal category had a significantly better outlook for OS than the raised category for every indicator (Figure 4; CAR, P < 0.0001; NLR, P < 0.0001; PLR, P < 0.0001; SII, P < 0.0001) and a comparable outlook as the raised category for every indicator, excluding SII (CAR, P < 0.0001; NLR, P = 0.0058; PLR, P = 0.0173; SII, P = 0.2289). The standardized category had a significantly worse outlook for OS than the minimal category for CAR and SII excluding NLR and PLR (CAR, P = 0.0002; SII, P = 0.0002; NLR, P = 0.142; PLR, P = 0.4118) and a comparable outlook as the raised category for CAR and SII excluding NLR and PLR (CAR, P < 0.0001; SII, P = 0.0068; NLR, P = 0.0948; PLR, P = 0.2992).

Figure 4
Figure 4 Overall survival curves for patients by longitudinal changes in systemic inflammation. A-D: Patients were stratified into the low (preoperatively and post-chemotherapy low inflammatory state), normalized (preoperatively high but post-chemotherapy low inflammatory state), high (persistently high inflammatory state), and elevated (preoperatively low but post-chemotherapy high inflammatory state) groups. CAR: C-reactive protein/albumin ratio; NLR: Neutrophil-to-lymphocyte ratio; PLR: Platelet-to-lymphocyte ratio; SII: Systemic immune-inflammation index.
DISCUSSION

Growing research suggests that multiple frequent immune-linked predictive indicators, like the CAR, NLR, PLR, SII, GPS, mGPS, and HS-mGPS, demonstrate predictive significance in individuals with diverse malignancies[17,18,21,23-25]. The pre-surgery phase is the most pertinent moment for forecasting the innate immune activation status, as it enables clinicians to select suitable strategies before initiating interventions[26]. The post-auxiliary treatment phase shows stronger correlations with cancer response and outcome prediction[26]. These findings highlight the necessity of choosing optimal timing for biomarker analysis. Investigators frequently select the pre-surgical window for examining immune predictors[17-19,22,24,27], while the post-auxiliary treatment window remains underutilized, especially in CRC malignancy, which lacks documentation. Consequently, this investigation evaluated the predictive importance of immune-associated scoring systems, including CAR, NLR, PLR, SII, GPS, mGPS, and HS-mGPS, in patients with CRC each during the pre-surgery and after-adjunct cancer therapy phases, and assessed their forecasting measures through tracking the AUC in patients with stage IIB-IIIC CRC requiring adjuvant chemotherapy. Interestingly, our team initially found that post-adjuvant chemotherapy inflammation-related predictors were independent prognostic factors for patients with CRC, furthermore, notably, the diagnostic indices of inflammatory biomarkers post-chemotherapy assistance exhibited markedly elevated levels compared to their pre-surgical phase. Such observations evidence strongly demonstrates that immune-linked indicators post-auxiliary therapy outperform preoperative assessments in outcome prediction.

Besides this observation that the forecasting merit of immune-based indicators was greater following supplementary therapy vs prior to surgical intervention, the most captivating finding was that the biomarker attained the peak predictive strength among the inflammatory indicators. Moreover, it is still controversial about whether the forecasting capacity of CAR is superior to those of other inflammatory biomarkers is a matter of debate. Our findings indicate that the inflammatory ratio was more advantageous than other inflammatory predictive indices as a predictive indicator for individuals with stage IIB-IIIC CRC. Consistent with our data, Liu et al[28] found that the AUC value of the preoperative CAR exceeds those of alternative indicators among individuals receiving tumor-removal surgery for gastric cancer. Moreover, Zhang et al[29] reported that the AUC value of the CAR was higher than that of NLR and PLR in patients with operable and non-selected esophageal squamous cell carcinoma. Recently, Iwasa et al[30] investigated the predictive significance of inflammatory-related risk assessment metrics, such as the CRP and prognostic nutritional index, in upper aerodigestive tract tumors, and determined that CAR demonstrated the greatest AUC score, and elevated CAR was strongly correlated with an unfavorable outcome. In summary, most studies have suggested wherein the forecasting potential of the CAR may surpass that of alternative inflammatory-related assessment metrics. Furthermore, an investigation disclosed that the predictive potency of CAR is less effective than that of supplementary inflammatory indicators within particular specific scenarios, such as among individuals with operable hepatocellular carcinoma[31].

In this study, we hypothesize that the CAR proves beneficial due to mechanical data associating CAR with dietary intake. As is known, CRP is synthesized predominantly by liver cells and is modulated by inflammatory mediators, particularly interleukin. Elevated CRP concentrations have been observed among numerous malignancies. The following mechanisms have been proposed as causes of elevated CRP in patients with cancer: Bodily swelling resulted from cancer proliferation, immunological reactions toward cancer markers, also generation from reactive substances from cancer entities. Hence, this appears plausible that CRP concentrations indicate tumor activity. Meanwhile, plasma Alb is utilized as a biomarker for dietary health, and reduced plasma Alb concentrations were stated to be connected with continuation findings among various cancers. Elevated CAR demonstrates also high blood CRP levels along with low Alb levels also could serve more advantageous in assessing disease status and forecasting prolonged consequences of neoplastic disorders. Multiple variable assessments demonstrated that the CAR served as a standalone predictive element compared with alternative inflammatory-related predictive indicators. Thus, the CAR was regarded as an optimal parameter to assess the outcome of various cancers.

While certain investigations have examined progressive shifts in bodily inflammatory process, to our awareness, this research stands as the initial to concentrate on the predictive influence of a regulated bodily inflammatory reaction subsequent to supplementary chemotherapeutic regimen in individuals with stage II-III colorectal malignancy. As CRP and Alb display significant individual-specific fluctuations, appraising CRP and Alb levels no less than twice throughout an extended timeframe and tracking alterations in CAR will serve as a superior sign of malignancy relative to employing one-time CRP readings. In alignment with this, continuing modifications in inflammatory-related predictive indicators, including NLR, PLR, CAR, and SII, demonstrated a distinct outlook impact on subjects with stage II-III CRC malignancy following supplementary chemotherapeutic treatment.

That research possesses several flaws. Initially, the investigation employed a historical framework and involved participants from two hospitals. Still, the sample size was quite substantial and uniform in malignancy phase. Next, the schedule for pre-surgical and post-treatment drug assays was inconsistent. The disparity in sampling timing might have still influenced outcomes pertaining to inflammatory condition. Therefore, extensive forward-looking trials with a set serum test interval are required to validate our results. Ultimately, indicator threshold levels were established using solely malignancy patient data, excluding healthy persons. Nevertheless, as all evaluated inflammatory predictive indicators can be computed via regularly accessible serum test information, the outcomes suggest the possible utility of these indicators within standard medical application.

CONCLUSION

Current research assessed inflammatory-related predictive indicators of 445 subjects with stage II-III CRC in centers. Outcomes indicated that the post-chemotherapy CAR was better than its pre-treatment level and markedly linked with a negative outcome. Moreover, sequential changes in inflammatory predictive indicators, including NLR, PLR, CAR, and SII, indicated a distinct predictive impact on the subjects after treatment. Therefore, assessing blood-based markers prior and post-treatment is considered helpful for forecasting illness advancement and longevity in subjects with CRC.

References
1.  Sung H, Ferlay J, Siegel RL, Laversanne M, Soerjomataram I, Jemal A, Bray F. Global Cancer Statistics 2020: GLOBOCAN Estimates of Incidence and Mortality Worldwide for 36 Cancers in 185 Countries. CA Cancer J Clin. 2021;71:209-249.  [RCA]  [PubMed]  [DOI]  [Full Text]  [Cited by in Crossref: 76817]  [Cited by in RCA: 68839]  [Article Influence: 13767.8]  [Reference Citation Analysis (8)]
2.  Matsuoka T, Yashiro M. Precision medicine for gastrointestinal cancer: Recent progress and future perspective. World J Gastrointest Oncol. 2020;12:1-20.  [RCA]  [PubMed]  [DOI]  [Full Text]  [Full Text (PDF)]  [Cited by in CrossRef: 30]  [Cited by in RCA: 37]  [Article Influence: 6.2]  [Reference Citation Analysis (0)]
3.  Minicozzi P, Innos K, Sánchez MJ, Trama A, Walsh PM, Marcos-Gragera R, Dimitrova N, Botta L, Visser O, Rossi S, Tavilla A, Sant M; EUROCARE-5 Working Group. Quality analysis of population-based information on cancer stage at diagnosis across Europe, with presentation of stage-specific cancer survival estimates: A EUROCARE-5 study. Eur J Cancer. 2017;84:335-353.  [RCA]  [PubMed]  [DOI]  [Full Text]  [Cited by in Crossref: 33]  [Cited by in RCA: 36]  [Article Influence: 4.0]  [Reference Citation Analysis (2)]
4.  Gwenzi T, Zhu A, Schrotz-King P, Schöttker B, Hoffmeister M, Edelmann D, Brenner H. Prognostic Value of Post-Operative C-Reactive Protein-Based Inflammatory Biomarkers in Colorectal Cancer Patients: Systematic Review and Meta-Analysis. Clin Epidemiol. 2023;15:795-809.  [RCA]  [PubMed]  [DOI]  [Full Text]  [Full Text (PDF)]  [Cited by in RCA: 12]  [Reference Citation Analysis (0)]
5.  Gwenzi T, Schrotz-King P, Anker SC, Schöttker B, Hoffmeister M, Brenner H. Post-operative C-reactive protein as a strong independent predictor of long-term colorectal cancer outcomes: consistent findings from two large patient cohorts. ESMO Open. 2024;9:102982.  [RCA]  [PubMed]  [DOI]  [Full Text]  [Cited by in RCA: 12]  [Reference Citation Analysis (0)]
6.  Hermunen K, Soveri LM, Boisen MK, Mustonen HK, Dehlendorff C, Haglund CH, Johansen JS, Osterlund P. Postoperative serum CA19-9, YKL-40, CRP and IL-6 in combination with CEA as prognostic markers for recurrence and survival in colorectal cancer. Acta Oncol. 2020;59:1416-1423.  [RCA]  [PubMed]  [DOI]  [Full Text]  [Cited by in Crossref: 7]  [Cited by in RCA: 30]  [Article Influence: 5.0]  [Reference Citation Analysis (0)]
7.  Nazha B, Moussaly E, Zaarour M, Weerasinghe C, Azab B. Hypoalbuminemia in colorectal cancer prognosis: Nutritional marker or inflammatory surrogate? World J Gastrointest Surg. 2015;7:370-377.  [RCA]  [PubMed]  [DOI]  [Full Text]  [Full Text (PDF)]  [Cited by in CrossRef: 135]  [Cited by in RCA: 144]  [Article Influence: 13.1]  [Reference Citation Analysis (1)]
8.  Almasaudi AS, Dolan RD, Edwards CA, McMillan DC. Hypoalbuminemia Reflects Nutritional Risk, Body Composition and Systemic Inflammation and Is Independently Associated with Survival in Patients with Colorectal Cancer. Cancers (Basel). 2020;12:1986.  [RCA]  [PubMed]  [DOI]  [Full Text]  [Full Text (PDF)]  [Cited by in Crossref: 137]  [Cited by in RCA: 120]  [Article Influence: 20.0]  [Reference Citation Analysis (0)]
9.  Christina NM, Tjahyanto T, Lie JG, Santoso TA, Albertus H, Octavianus D, Putri DAUI, Andrew J, Jatinugroho YD, Shiady C, Wijaya JH. Hypoalbuminemia and colorectal cancer patients: Any correlation?: A systematic review and meta-analysis. Medicine (Baltimore). 2023;102:e32938.  [RCA]  [PubMed]  [DOI]  [Full Text]  [Full Text (PDF)]  [Cited by in Crossref: 26]  [Cited by in RCA: 38]  [Article Influence: 12.7]  [Reference Citation Analysis (0)]
10.  Liao CK, Yu YL, Lin YC, Hsu YJ, Chern YJ, Chiang JM, You JF. Prognostic value of the C-reactive protein to albumin ratio in colorectal cancer: an updated systematic review and meta-analysis. World J Surg Oncol. 2021;19:139.  [RCA]  [PubMed]  [DOI]  [Full Text]  [Full Text (PDF)]  [Cited by in Crossref: 105]  [Cited by in RCA: 87]  [Article Influence: 17.4]  [Reference Citation Analysis (0)]
11.  Zhou QP, Li XJ. C-Reactive Protein to Albumin Ratio in Colorectal Cancer: A Meta-Analysis of Prognostic Value. Dose Response. 2019;17:1559325819889814.  [RCA]  [PubMed]  [DOI]  [Full Text]  [Full Text (PDF)]  [Cited by in Crossref: 20]  [Cited by in RCA: 32]  [Article Influence: 4.6]  [Reference Citation Analysis (1)]
12.  Pan Y, Lou Y, Wang L. Prognostic value of C-reactive protein to albumin ratio in metastatic colorectal cancer: A systematic review and meta-analysis. Medicine (Baltimore). 2021;100:e27783.  [RCA]  [PubMed]  [DOI]  [Full Text]  [Full Text (PDF)]  [Cited by in Crossref: 5]  [Cited by in RCA: 12]  [Article Influence: 2.4]  [Reference Citation Analysis (0)]
13.  Numata K, Ono Y, Ju M, Onuma S, Tanaka A, Kawabe T, Sawazaki S, Higuchi A, Yamanaka K, Hatori S, Saeki H, Matsukawa H, Rino Y, Tani K. Evaluating prognostic significance of preoperative C-reactive protein to albumin ratio in older patients with pathological stage II or III colorectal cancer. Ann Coloproctol. 2024;40:161-168.  [RCA]  [PubMed]  [DOI]  [Full Text]  [Cited by in Crossref: 4]  [Cited by in RCA: 7]  [Article Influence: 3.5]  [Reference Citation Analysis (0)]
14.  Diakos CI, Charles KA, McMillan DC, Clarke SJ. Cancer-related inflammation and treatment effectiveness. Lancet Oncol. 2014;15:e493-e503.  [RCA]  [PubMed]  [DOI]  [Full Text]  [Cited by in Crossref: 1801]  [Cited by in RCA: 1718]  [Article Influence: 143.2]  [Reference Citation Analysis (0)]
15.  Colotta F, Allavena P, Sica A, Garlanda C, Mantovani A. Cancer-related inflammation, the seventh hallmark of cancer: links to genetic instability. Carcinogenesis. 2009;30:1073-1081.  [RCA]  [PubMed]  [DOI]  [Full Text]  [Cited by in Crossref: 2316]  [Cited by in RCA: 2098]  [Article Influence: 123.4]  [Reference Citation Analysis (0)]
16.  Crusz SM, Balkwill FR. Inflammation and cancer: advances and new agents. Nat Rev Clin Oncol. 2015;12:584-596.  [RCA]  [PubMed]  [DOI]  [Full Text]  [Cited by in Crossref: 795]  [Cited by in RCA: 942]  [Article Influence: 85.6]  [Reference Citation Analysis (1)]
17.  Fang Y, Zheng T, Zhang C. Prognostic Role of the C-Reactive Protein/Albumin Ratio in Patients With Gynecological Cancers: A Meta-Analysis. Front Oncol. 2021;11:737155.  [RCA]  [PubMed]  [DOI]  [Full Text]  [Full Text (PDF)]  [Cited by in Crossref: 4]  [Cited by in RCA: 19]  [Article Influence: 3.8]  [Reference Citation Analysis (0)]
18.  Okita R, Kawamoto N, Okada M, Inokawa H, Yamamoto N, Murakami T, Ikeda E. Preoperative neutrophil-to-lymphocyte ratio correlates with PD-L1 expression in immune cells of patients with malignant pleural mesothelioma and predicts prognosis. Sci Rep. 2023;13:5263.  [RCA]  [PubMed]  [DOI]  [Full Text]  [Cited by in RCA: 9]  [Reference Citation Analysis (0)]
19.  Bailey-Whyte M, Minas TZ, Dorsey TH, Smith CJ, Loffredo CA, Ambs S. Systemic Inflammation Indices and Association with Prostate Cancer Survival in a Diverse Patient Cohort. Cancers (Basel). 2023;15:1869.  [RCA]  [PubMed]  [DOI]  [Full Text]  [Full Text (PDF)]  [Cited by in RCA: 24]  [Reference Citation Analysis (0)]
20.  Kou J, Huang J, Li J, Wu Z, Ni L. Systemic immune-inflammation index predicts prognosis and responsiveness to immunotherapy in cancer patients: a systematic review and metaanalysis. Clin Exp Med. 2023;23:3895-3905.  [RCA]  [PubMed]  [DOI]  [Full Text]  [Cited by in Crossref: 2]  [Cited by in RCA: 47]  [Article Influence: 15.7]  [Reference Citation Analysis (0)]
21.  Cuk V, Karamarkovic A, Juloski J, Arbutina D, Radulovic R, Milic L, Kovacevic B, De Luka S, Grahovac J. Prognostic Value of Combined Hematological/Biochemical Indexes and Tumor Clinicopathologic Features in Colorectal Cancer Patients-A Pilot Single Center Study. Cancers (Basel). 2023;15:1761.  [RCA]  [PubMed]  [DOI]  [Full Text]  [Full Text (PDF)]  [Cited by in Crossref: 3]  [Cited by in RCA: 2]  [Article Influence: 0.7]  [Reference Citation Analysis (0)]
22.  Tsai YT, Fang KH, Hsu CM, Lai CH, Chang SW, Huang EI, Tsai MS, Chang GH, Luan CW. Prognostic Role of High-Sensitivity Modified Glasgow Prognostic Score for Patients With Operated Oral Cavity Cancer: A Retrospective Study. Front Oncol. 2022;12:825967.  [RCA]  [PubMed]  [DOI]  [Full Text]  [Full Text (PDF)]  [Cited by in RCA: 16]  [Reference Citation Analysis (0)]
23.  Mazzella A, Maiolino E, Maisonneuve P, Loi M, Alifano M. Systemic Inflammation and Lung Cancer: Is It a Real Paradigm? Prognostic Value of Inflammatory Indexes in Patients with Resected Non-Small-Cell Lung Cancer. Cancers (Basel). 2023;15:1854.  [RCA]  [PubMed]  [DOI]  [Full Text]  [Cited by in RCA: 22]  [Reference Citation Analysis (0)]
24.  Li Q, Pu Y, Gong Z, Yu Y, Sun W, Cheng Z, Wang W, Zhao J. Preoperative systemic immune-inflammation index for predicting the prognosis of thymoma with radical resection. Thorac Cancer. 2023;14:1192-1200.  [RCA]  [PubMed]  [DOI]  [Full Text]  [Cited by in RCA: 8]  [Reference Citation Analysis (0)]
25.  Chen Y, Ruan GT, Shi JY, Liu T, Liu CA, Xie HL, Song MM, Wang ZW, Hu CL, Zhang HY, Zhang XW, Tian HY, Ge YZ, Yang M, Liu YY, Lin SQ, Liu XY, Zheng X, Wang KH, Cong MH, Shen X, Wang X, Deng L, Shi HP. The combination of hand grip strength and modified Glasgow prognostic score predicts clinical outcomes in patients with liver cancer. Front Nutr. 2023;10:1062117.  [RCA]  [PubMed]  [DOI]  [Full Text]  [Cited by in RCA: 6]  [Reference Citation Analysis (0)]
26.  Machado Carvalho JV, Dutoit V, Corrò C, Koessler T. Promises and Challenges of Predictive Blood Biomarkers for Locally Advanced Rectal Cancer Treated with Neoadjuvant Chemoradiotherapy. Cells. 2023;12:413.  [RCA]  [PubMed]  [DOI]  [Full Text]  [Cited by in Crossref: 5]  [Cited by in RCA: 14]  [Article Influence: 4.7]  [Reference Citation Analysis (0)]
27.  Kasahara K, Enomoto M, Udo R, Tago T, Mazaki J, Ishizaki T, Yamada T, Nagakawa Y, Katsumata K, Tsuchida A. Prognostic value of preoperative high-sensitivity modified Glasgow prognostic score in advanced colon cancer: a retrospective observational study. BMC Cancer. 2022;22:20.  [RCA]  [PubMed]  [DOI]  [Full Text]  [Full Text (PDF)]  [Cited by in RCA: 11]  [Reference Citation Analysis (0)]
28.  Liu X, Sun X, Liu J, Kong P, Chen S, Zhan Y, Xu D. Preoperative C-Reactive Protein/Albumin Ratio Predicts Prognosis of Patients after Curative Resection for Gastric Cancer. Transl Oncol. 2015;8:339-345.  [RCA]  [PubMed]  [DOI]  [Full Text]  [Full Text (PDF)]  [Cited by in Crossref: 116]  [Cited by in RCA: 172]  [Article Influence: 15.6]  [Reference Citation Analysis (0)]
29.  Zhang H, Guo XW, Yin XX, Liu YC, Ji SJ. Nomogram-Integrated C-Reactive Protein/Albumin Ratio Predicts Efficacy And Prognosis In Patients With Thoracic Esophageal Squamous Cell Carcinoma Receiving Chemoradiotherapy. Cancer Manag Res. 2019;11:9459-9468.  [RCA]  [PubMed]  [DOI]  [Full Text]  [Full Text (PDF)]  [Cited by in Crossref: 9]  [Cited by in RCA: 18]  [Article Influence: 2.6]  [Reference Citation Analysis (0)]
30.  Iwasa YI, Shimizu M, Matsuura K, Hori K, Hiramatsu K, Sugiyama K, Yokota Y, Kitano T, Kitoh R, Takumi Y. Prognostic significance of pre- and post-treatment hematological biomarkers in patients with head and neck cancer treated with chemoradiotherapy. Sci Rep. 2023;13:3869.  [RCA]  [PubMed]  [DOI]  [Full Text]  [Full Text (PDF)]  [Cited by in RCA: 5]  [Reference Citation Analysis (0)]
31.  Ni XC, Yi Y, Fu YP, He HW, Cai XY, Wang JX, Zhou J, Cheng YF, Jin JJ, Fan J, Qiu SJ. Prognostic Value of the Modified Glasgow Prognostic Score in Patients Undergoing Radical Surgery for Hepatocellular Carcinoma. Medicine (Baltimore). 2015;94:e1486.  [RCA]  [PubMed]  [DOI]  [Full Text]  [Full Text (PDF)]  [Cited by in Crossref: 37]  [Cited by in RCA: 49]  [Article Influence: 4.5]  [Reference Citation Analysis (0)]
Footnotes

Provenance and peer review: Unsolicited article; Externally peer reviewed.

Peer-review model: Single blind

Specialty type: Gastroenterology and hepatology

Country of origin: China

Peer-review report’s classification

Scientific Quality: Grade B

Novelty: Grade C

Creativity or Innovation: Grade C

Scientific Significance: Grade B

Open Access: This article is an open-access article that was selected by an in-house editor and fully peer-reviewed by external reviewers. It is distributed in accordance with the Creative Commons Attribution NonCommercial (CC BY-NC 4.0) license, which permits others to distribute, remix, adapt, build upon this work non-commercially, and license their derivative works on different terms, provided the original work is properly cited and the use is non-commercial. See: https://creativecommons.org/Licenses/by-nc/4.0/

P-Reviewer: Fujita T, MD, Japan S-Editor: Wu S L-Editor: A P-Editor: Zheng XM