Copyright
©The Author(s) 2026.
World J Gastrointest Surg. Jan 27, 2026; 18(1): 112017
Published online Jan 27, 2026. doi: 10.4240/wjgs.v18.i1.112017
Published online Jan 27, 2026. doi: 10.4240/wjgs.v18.i1.112017
Figure 1 The PRISMA chart.
Studies evaluated complication rate, operative time, hospital stay, gastroesophageal reflux, malnutrition, quality of life, and mortality in one-anastomosis gastric bypass and sleeve gastrectomy.
Figure 2 Complications in one-anastomosis gastric bypass and sleeve gastrectomy.
A: Forest plot; B: Funnel plot. SG: Sleeve gastrectomy; OAGB: One-anastomosis gastric bypass; CI: Confidence interval; OR: Odds ratio.
Figure 3 Complications rate.
A: In superobese patients; B: After eliminating studies with a high diabetes rate. SG: Sleeve gastrectomy; OAGB: One-anastomosis gastric bypass; CI: Confidence interval.
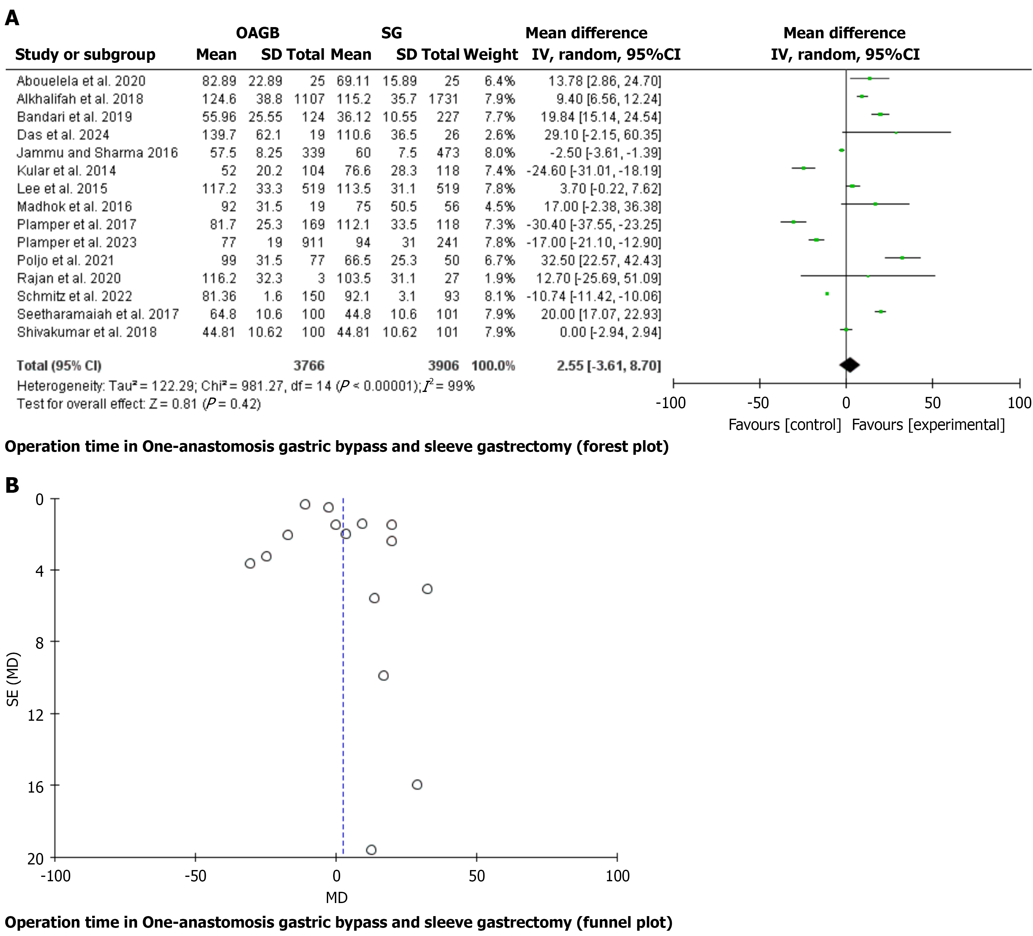
Figure 4 Operation time in one-anastomosis gastric bypass and sleeve gastrectomy.
A: Forest plot; B: Funnel plot. SG: Sleeve gastrectomy; OAGB: One-anastomosis gastric bypass; CI: Confidence interval; MD: Mean difference.
Figure 5 Operation time/minutes in one-anastomosis gastric bypass and sleeve gastrectomy.
A: In superobese patients; B: After eliminating studies with a high rate of diabetes. SG: Sleeve gastrectomy; OAGB: One-anastomosis gastric bypass; CI: Confidence interval.
Figure 6 Hospital stay in one-anastomosis gastric bypass and sleeve gastrectomy.
A: Forest plot; B: Funnel plot. SG: Sleeve gastrectomy; OAGB: One-anastomosis gastric bypass; CI: Confidence interval; MD: Mean difference.
Figure 7 Hospital stay in one-anastomosis gastric bypass and sleeve gastrectomy.
A: In super-obese patients; B: After eliminating studies with a high rate of diabetes. SG: Sleeve gastrectomy; OAGB: One-anastomosis gastric bypass; CI: Confidence interval.
Figure 8 Results in one-anastomosis gastric bypass and sleeve gastrectomy.
A: Quality of life; B: Mortality; C: Postoperative gastroesophageal reflux; D: Malnutrition. SG: Sleeve gastrectomy; OAGB: One-anastomosis gastric bypass; CI: Confidence interval.
- Citation: Mirghani HO. One-anastomosis gastric bypass vs sleeve gastrectomy for complications, perioperative status, and quality of life: Meta-analysis. World J Gastrointest Surg 2026; 18(1): 112017
- URL: https://www.wjgnet.com/1948-9366/full/v18/i1/112017.htm
- DOI: https://dx.doi.org/10.4240/wjgs.v18.i1.112017
