Copyright
©The Author(s) 2025.
World J Gastrointest Surg. Nov 27, 2025; 17(11): 111973
Published online Nov 27, 2025. doi: 10.4240/wjgs.v17.i11.111973
Published online Nov 27, 2025. doi: 10.4240/wjgs.v17.i11.111973
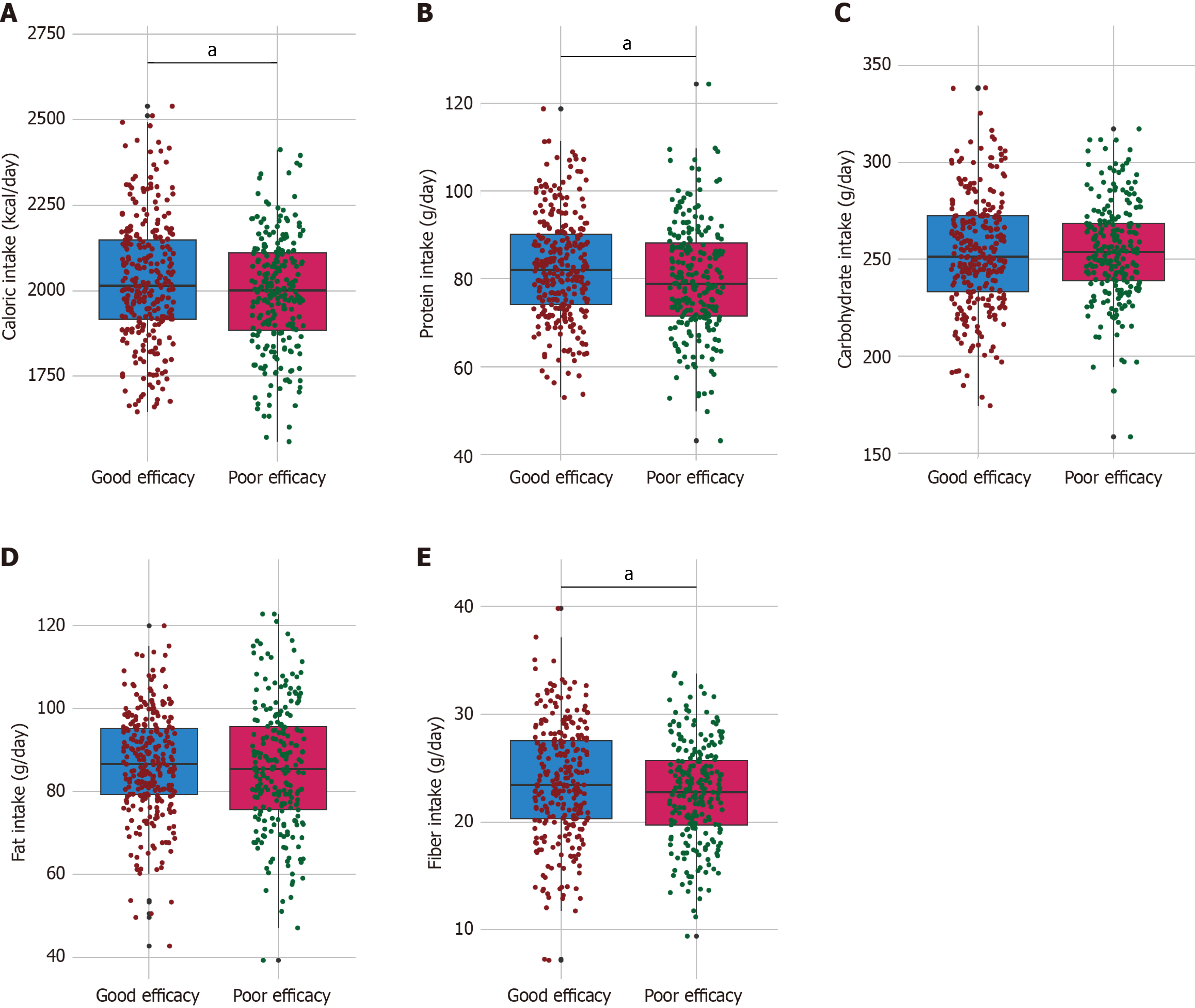
Figure 1 Nutritional intake post-surgery.
A: Caloric intake (kcal/day); B: Protein intake (g/day); C: Carbohydrate intake (g/day); D: Fat intake (g/day); E: Fiber intake (g/day). aP < 0.05.
Figure 2 Comparison of inflammatory indicators.
A: C-reactive protein (CRP; mg/L) Preoperative; B: CRP (mg/L) postoperative day 1; C: CRP (mg/L) postoperative day 7; D: Tumor necrosis factor-alpha (TNF-α; ng/L) preoperative; E: TNF-α (ng/L) postoperative day 1; F: TNF-α (ng/L) postoperative day 7; G: Interleukin-6 (IL-6; pg/mL) preoperative; H: IL-6 (pg/mL) postoperative day 1; I: IL-6 (pg/mL) postoperative day 7. CRP: C-reactive protein; TNF-α: Tumor necrosis factor-alpha; IL-6: Interleukin-6. aP < 0.05; bP < 0.01.
Figure 3 Correlation analysis between various influencing factors and therapeutic efficacy.
TNM: Tumor node metastasis; TNF-α: Tumor necrosis factor-alpha; IL-6: Interleukin-6; IgM: Immunoglobulin M; IgG: Immunoglobulin G; IgA: Immunoglobulin A; I-FABP: Intestinal fatty acid binding protein; ECOG: Eastern Cooperative Oncology Group performance status; DAO: Diamine oxidase; D-Lac: D-lactate; CRP: C-reactive protein.
- Citation: Zhang Y, Wu J, Yuan Y, Huang YS, Han H. Factors influencing analysis of the efficacy of probiotics combined with enteral nutrition in postoperative patients with colorectal cancer. World J Gastrointest Surg 2025; 17(11): 111973
- URL: https://www.wjgnet.com/1948-9366/full/v17/i11/111973.htm
- DOI: https://dx.doi.org/10.4240/wjgs.v17.i11.111973
