BPG is committed to discovery and dissemination of knowledge
Retrospective Study Open Access
©The Author(s) 2025. Published by Baishideng Publishing Group Inc. All rights reserved.
World J Diabetes. Jun 15, 2025; 16(6): 104120
Published online Jun 15, 2025. doi: 10.4239/wjd.v16.i6.104120
Associations of nontraditional lipoprotein ratios with future cardiovascular events in patients with type 2 diabetes mellitus
Si-Min Deng, Xiang-Yu Zhang, Department of Geriatrics, The Second Xiangya Hospital, Central South University, Changsha 410011, Hunan Province, China
Xin-Qun Hu, Department of Cardiovascular Medicine, The Second Xiangya Hospital, Central South University, Changsha 410011, Hunan Province, China
ORCID number: Si-Min Deng (0009-0004-2958-051X); Xin-Qun Hu (0000-0003-1430-4833); Xiang-Yu Zhang (0000-0001-9272-3668).
Author contributions: Zhang XY designed the research study; Deng SM performed the research and wrote the manuscript; Hu XQ analyzed the data; and all authors have read and approve the final manuscript.
Institutional review board statement: The study was exempt from ethical review and approval, as no additional institutional review board approval was necessary for the secondary analysis.
Informed consent statement: The data for our study are derived from the Action to Control Cardiovascular Risk in Diabetes. All participants completed informed consent forms before participating in the study.
Conflict-of-interest statement: All the authors report no relevant conflicts of interest for this article.
Data sharing statement: The original data are available from the NHLBI BioLINCC. Some or all of the data sets generated and/or analyzed in the current study are not publicly available, but may be obtained from the corresponding author upon reasonable request at xiangyuzhang@csu.edu.cn.
Corresponding author: Xiang-Yu Zhang, PhD, Professor, Department of Geriatrics, The Second Xiangya Hospital, Central South University, No. 139 Renmin Middle Road, Changsha 410011, Hunan Province, China. xiangyuzhang@csu.edu.cn
Received: December 11, 2024
Revised: March 30, 2025
Accepted: May 15, 2025
Published online: June 15, 2025
Processing time: 185 Days and 4.5 Hours

Abstract
BACKGROUND

Patients with type 2 diabetes mellitus (T2DM) face a heightened risk of future cardiovascular events. It is therefore important to stratify these patients according to their future cardiovascular event risk to allow early intervention and improve prognosis. Recent proposals have indicated that nontraditional lipoprotein ratios may be superior predictors of cardiovascular events compared to traditional lipid parameters. However, further evidence is required for widespread clinical application.

AIM

To elucidate the associations of nontraditional lipoprotein ratios with future cardiovascular events in patients with T2DM.

METHODS

This study performed post-hoc analysis of data obtained during a clinical trial involving 10182 participants. To ascertain the correlations between nontraditional lipoprotein ratios and future cardiovascular events, including major adverse cardiovascular events (MACEs) and congestive heart failure (CHF). We employed univariable and multivariable-adjusted Cox proportional hazards regression models. Potential dose-response relationships and threshold values were explored by conducting restricted cubic spline analyses and two-piecewise linear regression models. Possible relevant interactions influencing independent relationships were tested using subgroup and interaction analyses.

RESULTS

After adjustment for confounding factors, all nontraditional lipoprotein ratios studied were strongly associated with MACE risk in patients with T2DM. In comparison with patients in the lowest quartile, the hazard ratios (95% confidence intervals) of those in the highest quartile were 1.50 (1.29-1.73), 1.51 (1.30-1.74), 1.50 (1.29-1.73), and 1.30 (1.12-1.50) for total cholesterol/high-density lipoprotein cholesterol (HDL-C), low-density lipoprotein cholesterol/HDL-C, non-HDL-C/HDL-C, and remnant cholesterol/HDL-C, respectively. Similar findings were noted for CHF. Dose-response relationships between nontraditional lipoprotein ratios and MACE were observed, with threshold values of 7.29, 6.29, and 2.15 for total cholesterol/HDL-C, non-HDL-C/HDL-C, and remnant cholesterol/HDL-C, respectively. However, no notable dose-response relationships were detected between nontraditional lipoprotein ratios and CHF.

CONCLUSION

Elevated nontraditional lipoprotein ratios may independently predict the risk of MACE and CHF in patients with T2DM.

Key Words: Nontraditional lipoprotein ratios; Future cardiovascular events; Prognosis; Major adverse cardiovascular events; Type 2 diabetes mellitus; Congestive heart failure

Core Tip: This research demonstrates that elevated nontraditional lipoprotein ratios may independently predict the risk of major adverse cardiovascular events and congestive heart failure in patients with type 2 diabetes mellitus. Our findings provide evidence supporting the use of nontraditional lipoprotein ratios as reliable bioindicators of cardiovascular event risk in patients with type 2 diabetes mellitus.



INTRODUCTION

Diabetes mellitus (DM) is a highly prevalent cardiometabolic disorder[1] that currently affects 536.6 million individuals, and by 2045, this figure is projected to reach 783.2 million[2]. Type 2 DM (T2DM) accounts for nearly 90% of all DM cases and is therefore increasingly studied[3]. Cardiovascular events are common complications of T2DM, occurring two to four times more frequently in individuals with T2DM than in those without T2DM[4], and are a major contributor to the mortality of T2DM patients[5]. It is therefore vital to identify high-risk T2DM patients in a timely manner for future cardiovascular events, to allow early intervention and improve prognosis[6].

Prior researchers have consistently suggested an important role of traditional lipid parameters, including total cholesterol (TC), triglycerides, low-density lipoprotein cholesterol (LDL-C), and high-density lipoprotein cholesterol (HDL-C), in predicting cardiovascular events[7,8]. However, it is difficult for these single parameters to comprehensively reflect the state of lipid metabolism, and there is wide individual variation in patients’ clinical applications. In comparison with traditional lipid parameters, nontraditional lipoprotein ratios like TC/HDL-C, LDL-C/HDL-C, non-HDL-C/HDL-C, and remnant cholesterol (RC)/HDL-C take into account the overall metabolic and clinical interactions between lipoprotein fractions; thus, they may reduce inter-individual fluctuations of traditional lipid parameters and more comprehensively and objectively reflect health status and disease progression[9]. In recent years, the predictive power of nontraditional lipoprotein ratios in different disease scenarios has gradually attracted increased attention from scholars[10-13]. However, research investigating the relationships between nontraditional lipoprotein ratios and future cardiovascular events in T2DM patients is still lacking.

To address this, the present study was conducted using data from the Action to Control Cardiovascular Risk in Diabetes (ACCORD)/ACCORD Follow-On (ACCORDION) study (Clinical Trial URLs: https://clinicaltrials.gov/ct2/show/NCT00000620) to investigate the associations between nontraditional lipoprotein ratios and major adverse cardiovascular events (MACE) and congestive heart failure (CHF) in T2DM patients. These findings presented in our current work are expected to provide fresh strategies for assessing future cardiovascular event risk in T2DM patients.

MATERIALS AND METHODS
Study population and data source

This research involved the post-hoc analysis of data from a randomized, multicenter, double-blinded, 2 × 2 factorial cardiovascular clinical trial, the ACCORD/ACCORDION study, the complete design, protocols, and results of which have been previously published[14]. All analyzed data were acquired from the NHLBI BioLINCC, an authoritative public database with the aim of allowing further research into cardiovascular, pulmonary, and hematological conditions. Participants were recruited for the ACCORD study between January 2001 and September 2005 at approximately 60 clinical sites throughout the United States and Canada. The final follow-up was completed in June 2009, and all surviving volunteers were then invited to participate in the ACCORDION study, a prospective post-trial observational follow-up study rather than an experimental trial. The enrolled participants all had previous cardiovascular events or known cardiovascular risk factors (two or more). The participants had a mean age of 62 years, with a median T2DM duration of 10 years and an average glycated hemoglobin A1c (HbA1c) level of 8.3%. The recruited participants were randomly allocated to either intensive (target, < 6.0% HbA1c) or standard (target, < 7.0%-7.9% HbA1c) glucose-lowering therapy groups. However, the implementation of intensive glucose-lowering therapy did not reduce the occurrence of MACE but rather markedly increased mortality. Figure 1 depicts the protocol of the present study. We excluded participants with missing or outlier values for nontraditional lipoprotein ratios at baseline and those lacking data on MACE or CHF.

Figure 1
Figure 1 Study participant selection from the Action to Control Cardiovascular Risk in Diabetes/Action to Control Cardiovascular Risk in Diabetes Follow-On study. ACCORD: Action to Control Cardiovascular Risk in Diabetes; ACCORDION: Action to Control Cardiovascular Risk in Diabetes Follow-On; TC: Total cholesterol; HDL-C: High-density lipoprotein cholesterol; LDL-C: Low-density lipoprotein cholesterol; RC: Remnant cholesterol; MACE: Major adverse cardiovascular events; CHF: Congestive heart failure.
Exposure and outcome definition

All variables included were selected based on existing literature and are detailed in Table 1 and Supplementary Table 1. Variables included demographics, comorbidities, laboratory examinations, and medication dispensing records. Guideline-based definitions were used for most variables. The nontraditional lipoprotein ratios investigated in this paper was TC/HDL-C, LDL-C/HDL-C, non-HDL-C/HDL-C, and RC/HDL-C. The traditional lipid parameter levels at presentation were used to calculate nontraditional lipoprotein ratios as follows: (1) Non-HDL-C = TC - HDL-C, and (2) RC = TC - HDL-C - LDL-C. The primary outcome investigated in this paper was a composite of nonfatal myocardial infarction, nonfatal stroke, or cardiovascular disease mortality, which is defined as MACE. The secondary outcome explored in this paper was CHF.

Table 1 Baseline characteristics of participants, n (%).
Characteristics
Total (n = 10182)
With MACE (n = 1813)
Without MACE (n = 8369)
P value
TC/HDL-C4.63 ± 1.514.88 ± 1.574.58 ± 1.49< 0.001
LDL-C/HDL-C2.64 ± 1.002.80 ± 1.072.60 ± 0.99< 0.001
Non-HDL-C/HDL-C3.63 ± 1.513.88 ± 1.573.58 ± 1.49< 0.001
RC/HDL-C0.99 ± 0.851.09 ± 0.870.97 ± 0.85< 0.001
Male6254 (61.42)1253 (69.11)5001 (59.76)< 0.001
White6362 (62.48)1256 (69.28)5106 (61.01)< 0.001
Age (year), mean ± SD62.81 ± 6.6464.12 ± 7.1262.53 ± 6.50< 0.001
Educational level0.001
Less than high school graduate1500 (14.74)304 (16.80)1196 (14.30)-
High school grad (or GED)2688 (26.42)478 (26.41)2210 (26.42)-
Some college or technical school3338 (32.81)614 (33.92)2724 (32.56)-
College graduate or more2649 (26.03)414 (22.87)2235 (26.72)-
Living alone8118 (79.74)1429 (78.82)6689 (79.95)0.280
Depression2410 (23.67)483 (26.66)1927 (23.03)< 0.001
Cigarette-smoking status1238 (12.16)252 (13.90)986 (11.78)0.012
Alcohol status2429 (23.87)427 (23.58)2002 (23.93)0.750
Duration of T2DM (years), mean ± SD10.80 ± 7.6012.20 ± 8.2110.50 ± 7.42< 0.001
Previous cardiovascular events3580 (35.16)962 (53.06)2618 (31.28)< 0.001
Previous heart failure489 (4.80)167 (9.22)322 (3.85)< 0.001
Previous hypertension7674 (75.37)1416 (78.10)6258 (74.78)0.003
Previous hyperlipidemia7120 (69.93)1296 (71.48)5824 (69.59)0.111
BMI, kg/m232.23 ± 5.4032.30 ± 5.3832.21 ± 5.410.557
Systolic blood pressure, mmHg136.35 ± 17.10138.09 ± 18.01135.98 ± 16.88< 0.001
Diastolic blood pressure, mmHg74.88 ± 10.6673.71 ± 11.3875.13 ± 10.49< 0.001
Heart rate, bpm72.68 ± 11.7572.31 ± 12.3072.75 ± 11.620.146
HbA1c, %8.30 ± 1.068.41 ± 1.098.28 ± 1.05< 0.001
Fasting blood glucose, mg/dL175.14 ± 56.11180.43 ± 59.62174.00 ± 55.26< 0.001
Triglycerides, mg/dL188.45 ± 135.70199.28 ± 137.11186.10 ± 135.29< 0.001
eGFR, mL/minute/1.73 m291.05 ± 27.1487.62 ± 26.9591.80 ± 27.13< 0.001
Insulin1137 (11.17)277 (15.28)860 (10.28)< 0.001
Biguanide6509 (63.93)1080 (59.57)5429 (64.88)< 0.001
ACEI/ARB7057 (69.31)1259 (69.44)5798 (69.28)0.891
Beta-blocker3061 (30.14)726 (40.13)2335 (27.98)< 0.001
Aspirin5545 (54.72)1033 (57.23)4512 (54.17)0.018
Statin6463 (63.73)1180 (65.30)5283 (63.38)0.124
Cholesterol absorption inhibitor205 (2.02)38 (2.11)167 (2.01)0.784
Statistical analyses

SPSS version 23 and R version 4.2.3 were utilized for the statistical analyses. During data preprocessing, quantile-quantile plots were employed. According to their distribution type, the baseline characteristics were described as mean ± SD (using analysis of variance for comparison) or medians with interquartile ranges (using the Kruskal-Wallis H test for comparison). In contrast, for the comparison of categorical variables, the χ2 test was utilized. Univariable Cox proportional hazard regression was conducted prior to the application of multivariable-adjusted Cox proportional hazard regression. Possible confounders were carefully determined based on the results of univariable Cox proportional hazard regression (Supplementary Tables 2 and 3), clinical significance, and effect change estimates greater than 10%. To adjust for confounders as comprehensively as possible, four multivariable-adjusted models were constructed using stepwise degrees of adjustment to guarantee sufficient power to investigate the complicated interactions between nontraditional lipoprotein ratios and other confounding factors. Model 1 considered sex, age, race, and educational level. Building on Model 1, Model 2 additionally adjusted for depression, cigarette-smoking status, duration of T2DM, previous cardiovascular events, previous heart failure, and previous hypertension. Expanding on model 2, model 3 further incorporated body mass index (BMI), systolic blood pressure, diastolic blood pressure, HbA1c, fasting blood glucose, and estimated glomerular filtration rate. Lastly, model 4 made further adjustments for insulin use, biguanide use, beta-blocker use, and statin use. To ascertain the probability of MACE, CHF, and individual outcomes, Kaplan-Meier analyses were conducted. Potential dose-response relationships and threshold values of nontraditional lipoprotein ratios for MACE and CHF were examined using restricted cubic spline analyses and two-piecewise linear regression models. Subgroup and interaction analyses of prespecified or exploratory subgroups were performed to test the possible relevant interactions influencing the independent relationships. Receiver operating characteristic curves were plotted and analyzed to evaluate the additional predictive value of nontraditional lipoprotein ratios in predicting future cardiovascular events. Statistical significance was defined as P < 0.05 (two-tailed).

RESULTS
Baseline characteristics

As presented in Table 1 and Supplementary Table 1, the baseline features of the research participants were provided in detail. Based on quartiles of baseline nontraditional lipoprotein ratios, all selected study subjects were subdivided into four quartiles, quartile (Q)1 to Q4. Of the 10182 participants, 6254 (61.42%) were male, 3928 (38.58%) were female, and 6362 (62.48%) were White. The average age of the research participants was 62.81 ± 6.64 years (range: 44-79). The average duration of T2DM was 10.80 ± 7.60 years. A total of 7674 (75.37%) individuals had a history of hypertension, while 7120 (69.93%) had a history of hyperlipidemia. The mean values for TC/HDL-C, LDL-C/HDL-C, non-HDL-C/HDL-C, and RC/HDL-C were 4.63 ± 1.51, 2.64 ± 1.00, 3.63 ± 1.51, and 0.99 ± 0.85, respectively. The following variables differed significantly between individuals with and without MACE: Sex, race, age, education level, depression, cigarette-smoking status, duration of T2DM, previous cardiovascular events, previous heart failure, previous hypertension, BMI, systolic blood pressure, diastolic blood pressure, HbA1c, fasting blood glucose, triglycerides, estimated glomerular filtration rate, insulin use, biguanide use, beta-blocker use, and aspirin use. No statistical differences were noted among the other variables analyzed.

Associations of nontraditional lipoprotein ratios with MACE and CHF

Over a median follow-up of 8.82 years for MACE and 9.11 years for CHF, 1813 (17.81%) and 691 (6.79%) patients experienced MACE and CHF, respectively. As shown in Supplementary Figure 1, Kaplan-Meier analyses pointed to an elevated risk of MACE for those with higher nontraditional lipoprotein ratios compared to those with lower ratios (all log-rank P < 0.05). As shown in Supplementary Figure 2, participants with elevated nontraditional lipoprotein ratios, except LDL-C/HDL-C (log-rank P = 0.106), had a notably increased risk of developing CHF compared to those with reduced nontraditional lipoprotein ratios (all log-rank P < 0.05).

Table 2 and Supplementary Table 4 describe the results of the multivariable-adjusted Cox proportional hazard regression models. Nontraditional lipoprotein ratios treated as continuous exhibited a positive association with the risk of MACE in model 4 [TC/HDL-C: Hazard ratio (HR) = 1.09, 95% confidence interval (CI): 1.06-1.13, P < 0.0001; LDL-C/HDL-C: HR = 1.16, 95%CI: 1.10-1.21, P < 0.0001; non-HDL-C/HDL-C: HR = 1.09, 95%CI: 1.06-1.13, P < 0.0001; RC/HDL-C: HR = 1.08, 95%CI: 1.03-1.14, P = 0.0014]. Similar results were observed for CHF (TC/HDL-C: HR = 1.08, 95%CI: 1.02-1.14, P = 0.0066; non-HDL-C/HDL-C: HR = 1.08, 95%CI: 1.02-1.14, P = 0.0066; RC/HDL-C: HR = 1.10, 95%CI: 1.02-1.20, P = 0.0162), except LDL-C/HDL-C (HR = 1.09, 95%CI: 1.00-1.18, P = 0.0529). Analysis of nontraditional lipoprotein ratios treated as categorical showed that, in comparison with patients in the lowest quartile, the HRs (95%CIs) of those in the highest quartile were 1.50 (1.29-1.73), 1.51 (1.30-1.74), 1.50 (1.29-1.73), and 1.30 (1.12-1.50) for TC/HDL-C, LDL-C/HDL-C, non-HDL-C/HDL-C, and RC/HDL-C, respectively. Similar results were noted for CHF: 1.33 (1.05-1,69), 1.33 (1.05-1.69), and 1.40 (1.10-1.78) for TC/HDL-C, non-HDL-C/HDL-C, and RC/HDL-C, respectively, except for 1.23 (0.96-1.56) for LDL-C/HDL-C. Comparing the four sequentially adjusted models revealed that adjusting for sex, age, race, and education level only slightly weakened the results. Positive significant correlations were maintained even after adjusting for all possible confounders. Collectively, these findings suggest that higher nontraditional lipoprotein ratios are strongly associated with elevated risks of MACE and CHF.

Table 2 Risk of major adverse cardiovascular events for baseline nontraditional lipoprotein ratios.
CharacteristicsCrude
Model 1
Model 2
Model 3
Model 4
HR (95%CI)
P value
HR (95%CI)
P value
HR (95%CI)
P value
HR (95%CI)
P value
HR (95%CI)
P value
TC/HDL-C1.12 (1.09-1.15)< 0.00011.12 (1.09-1.15)< 0.00011.12 (1.09-1.15)< 0.00011.10 (1.07-1.13)< 0.00011.09 (1.06-1.13)< 0.0001
Q1Reference-Reference-Reference-Reference-Reference-
Q21.16 (1.00-1.33)0.04391.14 (0.99-1.31)0.07201.16 (1.01-1.34)0.04091.14 (0.99-1.32)0.07271.14 (0.98-1.31)0.0816
Q31.36 (1.19-1.56)< 0.00011.34 (1.17-1.54)< 0.00011.35 (1.17-1.55)< 0.00011.31 (1.14-1.51)0.00021.30 (1.13-1.50)0.0003
Q41.61 (1.41-1.84)< 0.00011.58 (1.38-1.81)< 0.00011.64 (1.43-1.88)< 0.00011.53 (1.33-1.76)< 0.00011.50 (1.29-1.73)< 0.0001
P for trend-< 0.0001-< 0.0001-< 0.0001-< 0.0001-< 0.0001
Per 1 SD1.18 (1.13-1.23)< 0.00011.18 (1.13-1.23)< 0.00011.19 (1.14-1.24)< 0.00011.16 (1.11-1.21)< 0.00011.15 (1.09-1.20)< 0.0001
LDL-C/HDL-C1.18 (1.13-1.23)< 0.00011.18 (1.12-1.23)< 0.00011.19 (1.14-1.24)< 0.00011.16 (1.11-1.22)< 0.00011.16 (1.10-1.21)< 0.0001
Q1Reference-Reference-Reference-Reference-Reference-
Q21.20 (1.04-1.38)0.01161.19 (1.03-1.37)0.01621.16 (1.01-1.33)0.04241.13 (0.98-1.30)0.09041.13 (0.98-1.30)0.0989
Q31.31 (1.14-1.50)0.00011.30 (1.13-1.49)0.00021.33 (1.16-1.53)< 0.00011.30 (1.13-1.49)0.00031.29 (1.12-1.48)0.0004
Q41.55 (1.36-1.77)< 0.00011.54 (1.35-1.76)< 0.00011.62 (1.42-1.86)< 0.00011.53 (1.33-1.76)< 0.00011.51 (1.30-1.74)< 0.0001
P for trend-< 0.0001-< 0.0001-< 0.0001-< 0.0001-< 0.0001
Per 1 SD1.18 (1.13-1.23)< 0.00011.18 (1.13-1.23)< 0.00011.19 (1.14-1.24)< 0.00011.16 (1.11-1.22)< 0.00011.16 (1.10-1.21)< 0.0001
Non-HDL-C/HDL-C1.12 (1.09-1.15)< 0.00011.12 (1.09-1.15)< 0.00011.12 (1.09-1.15)< 0.00011.10 (1.07-1.13)< 0.00011.09 (1.06-1.13)< 0.0001
Q1Reference-Reference-Reference-Reference-Reference-
Q21.16 (1.00-1.33)0.04391.14 (0.99-1.31)0.07201.16 (1.01-1.34)0.04091.14 (0.99-1.32)0.07271.14 (0.98-1.31)0.0816
Q31.36 (1.19-1.56)< 0.00011.34 (1.17-1.54)< 0.00011.35 (1.17-1.55)< 0.00011.31 (1.14-1.51)0.00021.30 (1.13-1.50)0.0003
Q41.61 (1.41-1.84)< 0.00011.58 (1.38-1.81)< 0.00011.64 (1.43-1.88)< 0.00011.53 (1.33-1.76)< 0.00011.50 (1.29-1.73)< 0.0001
P for trend-< 0.0001-< 0.0001-< 0.0001-< 0.0001-< 0.0001
Per 1 SD1.18 (1.13-1.23)< 0.00011.18 (1.13-1.23)< 0.00011.19 (1.14-1.24)< 0.00011.16 (1.11-1.21)< 0.00011.15 (1.09-1.20)< 0.0001
RC/HDL-C1.12 (1.08-1.17)< 0.00011.12 (1.07-1.17)< 0.00011.11 (1.06-1.16)< 0.00011.09 (1.04-1.14)< 0.00011.08 (1.03-1.14)< 0.0001
Q1Reference-Reference-Reference-Reference-Reference-
Q21.13 (0.98-1.30)0.09661.08 (0.93-1.24)0.30241.07 (0.93-1.24)0.34531.05 (0.91-1.22)0.48491.05 (0.91-1.21)0.5090
Q31.42 (1.24-1.63)< 0.00011.34 (1.17-1.54)< 0.00011.31 (1.14-1.505)0.00021.26 (1.09-1.45)0.00141.26 (1.09-1.45)0.0016
Q41.49 (1.30-1.70)< 0.00011.44 (1.25-1.65)< 0.00011.40 (1.21-1.61)< 0.00011.32 (1.14-1.52)0.00021.30 (1.12-1.50)0.0005
P for trend-< 0.0001-< 0.0001-< 0.0001-< 0.0001-< 0.0001
Per 1 SD1.10 (1.06-1.14)< 0.00011.10 (1.06-1.14)< 0.00011.09 (1.05-1.14)< 0.00011.07 (1.03-1.12)0.00051.07 (1.03-1.11)0.0014

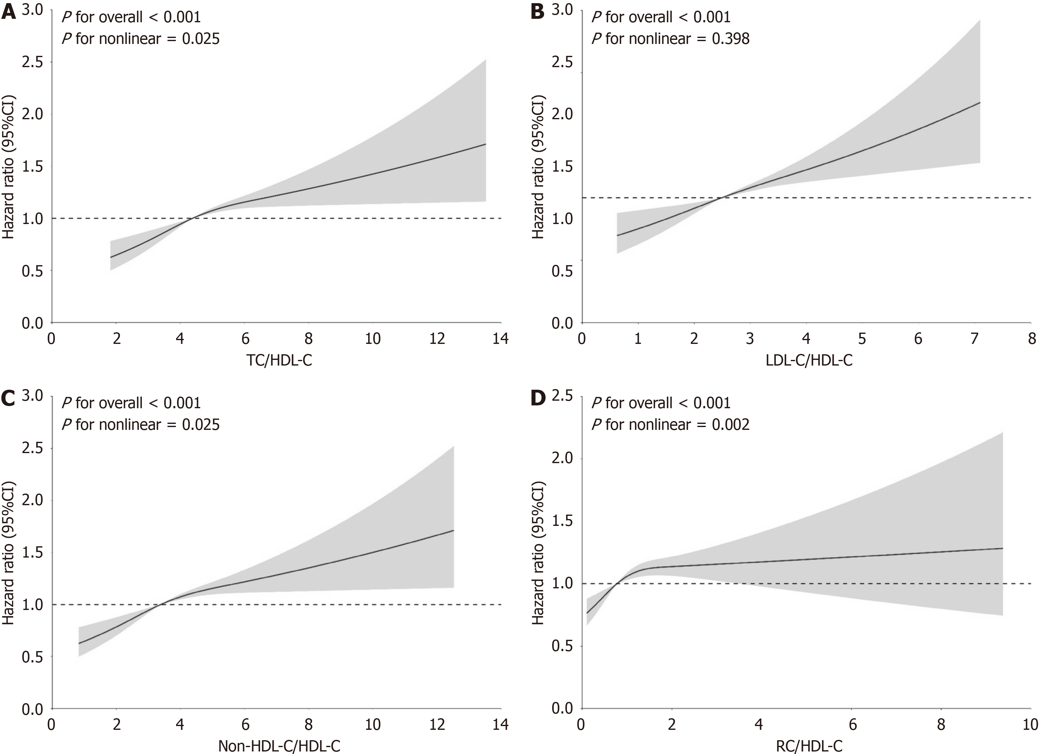
Restricted cubic spline analyses (Figure 2) revealed dose-response relationships between TC/HDL-C, non-HDL-C/HDL-C, and RC/HDL-C, with MACE (all P for nonlinearity < 0.05). However, no significant dose-response relationships were detected between nontraditional lipoprotein ratios and CHF (Supplementary Figure 3). As shown in Table 3, threshold values were determined using the maximum likelihood method in two-piecewise linear regression models. In the relationships between nontraditional lipoprotein ratios and MACE, the inflection points were 7.29 for TC/HDL-C, 6.29 for non-HDL-C/HDL-C, and 2.15 for RC/HDL-C.

Figure 2
Figure 2 Restricted cubic spline analyses of nontraditional lipoprotein ratios to estimate the risk of major adverse cardiovascular events after adjusting for multivariate covariates. The reference point is the median, with knots placed at the 10th, 50th, and 90th percentiles of each nontraditional lipoprotein ratios distribution. The hazard ratios shown are adjusted for model 4, including sex, age, race, educational level, depression, cigarette-smoking status, duration of type 2 diabetes mellitus, previous cardiovascular events, previous heart failure, previous hypertension, body mass index, systolic blood pressure, diastolic blood pressure, hemoglobin A1c, fasting blood glucose, estimated glomerular filtration rate, insulin use, biguanide use, beta-blocker use, and statin use. A: Total cholesterol/high-density lipoprotein cholesterol (HDL-C); B: Low-density lipoprotein cholesterol/HDL-C; C: Non-HDL-C/HDL-C; D: RC/HDL-C hazard ratios are indicated by solid lines and the 95% confidence intervals by shaded areas. TC: Total cholesterol; HDL-C: High-density lipoprotein cholesterol; LDL-C: Low-density lipoprotein cholesterol; RC: Remnant cholesterol; CI: Confidence interval.
Table 3 Threshold effect analyses of nontraditional lipoprotein ratios on major adverse cardiovascular events.
Characteristics
One linear-regression model
Inflection point (K)
< K, effect 1
> K, effect 2
P value for LRT
TC/HDL-C1.09 (1.06-1.13), P < 0.00017.291.14 (1.09-1.19), P < 0.00010.97 (0.88-1.07), P = 0.49150.003
LDL-C/HDL-C1.16 (1.10-1.21), P < 0.00011.350.64 (0.30-1.36), P = 0.24530.97 (0.88-1.08), P = 0.57860.140
Non-HDL-C/HDL-C1.09 (1.06-1.13), P < 0.00016.291.14 (1.09-1.19), P < 0.00010.97 (0.88-1.07), P = 0.49150.003
RC/HDL-C1.08 (1.03-1.14), P = 0.00142.151.24 (1.13-1.36), P < 0.00010.95 (0.86-1.05), P = 0.3543< 0.001
Subgroup and interaction analyses

To gain a more detailed and heterogeneous understanding of nontraditional lipoprotein ratios across different populations, subgroup and interaction analyses were conducted according to prespecified and exploratory factors. These factors included sex, race, age, BMI, duration of T2DM, previous cardiovascular events, previous heart failure, and HbA1c levels. As illustrated in Figure 3 and Supplementary Figure 4, only a modest number of interactions were identified. The duration of T2DM significantly influenced the associations between nontraditional lipoprotein ratios and MACE, with TC/HDL-C, LDL-C/HDL-C, and non-HDL-C/HDL-C being more predictive of MACE in T2DM patients with a duration of less than a decade, compared to those with a duration exceeding a decade. The ability of LDL-C/HDL-C to predict CHF was also greater in T2DM patients with a duration of less than a decade. However, given the large number of comparisons performed, some of these findings may be attributed to chance.

Figure 3
Figure 3 Subgroup and interaction analyses of the associations of nontraditional lipoprotein ratios with major adverse cardiovascular events. The study population was stratified by sex (female vs male), race (non-White vs White), age (< 65 years vs ≥ 65 years), body mass index (< 28 kg/m2vs ≥ 28 kg/m2), duration of type 2 diabetes mellitus (< 10 years vs ≥ 10 years), previous cardiovascular events (no vs yes), previous heart failure (no vs yes), and HbA1c (< 8% vs ≥ 8%). Adjustments for sex, age, race, educational level, depression, cigarette-smoking status, duration of type 2 diabetes mellitus, previous cardiovascular events, previous heart failure, previous hypertension, body mass index, systolic blood pressure, diastolic blood pressure, hemoglobin A1c, fasting blood glucose, estimated glomerular filtration rate, insulin use, biguanide use, beta-blocker use, and statin use. A: Total cholesterol/high-density lipoprotein cholesterol (HDL-C); B: Low-density lipoprotein cholesterol/HDL-C; C: Non-HDL-C/HDL-C; D: Remnant cholesterol/HDL-C. TC: Total cholesterol; HDL-C: High-density lipoprotein cholesterol; LDL-C: Low-density lipoprotein cholesterol; RC: Remnant cholesterol; BMI: Body mass index; T2DM: Type 2 diabetes mellitus; HbA1c: Hemoglobin A1c; HR: Hazard ratio; CI: Confidence interval.
Additional predictive value of nontraditional lipoprotein ratios for MACE and CHF

Receiver operating characteristic analyses (Supplementary Table 5 and Supplementary Figure 5) suggested that incorporating nontraditional lipoprotein ratios into the conventional model for MACE risk markedly enhanced the area under the curve. Similar findings were observed for CHF. Moreover, there was a marked enhancement in the capacity to reclassify and differentiate the risks associated with MACE and CHF, as evidenced by an increase in net reclassification improvement and integrated discrimination improvement. These results indicated that the incorporation of nontraditional lipoprotein ratios improved the prediction of the risk of MACE and CHF in patients with T2DM.

DISCUSSION

This post-hoc analysis comprehensively explored the relationships between nontraditional lipoprotein ratios and MACE and CHF occurrence in 10,182 patients with T2DM, and the diagnostic value of these ratios. Our findings indicated that nontraditional lipoprotein ratios are significantly associated with MACE and CHF, emerging as independent future cardiovascular event risk factors in T2DM patients. An important aspect of the present study was the identification of dose-response relationships between nontraditional lipoprotein ratios and MACE risk.

A growing body of epidemiological and basic research has demonstrated that patients with T2DM are highly susceptible to future cardiovascular events[6,15,16]. Therefore, early warning and detection of future cardiovascular events in T2DM patients are particularly significant for the implementation of timely intervention strategies[17]. Evidence from experimental and clinical studies indicates that abnormal lipid metabolism is inextricably related to T2DM as well as cardiovascular events[18], and T2DM often coexists with dyslipidemia[19]. Numerous prior investigations have shown that dyslipidemia is a key element in the multifactorial etiology of cardiovascular events in T2DM patients[20-22]. It is proposed that specific alterations in lipid profiles are predictor of cardiovascular events[23]. Patients with T2DM appear to have a more atherogenic lipid profile, marked by elevated levels of TC and LDL-C, along with reduced levels of HDL-C[24]. Recently, several researchers have suggested that, compared to single pro-atherogenic and anti-atherogenic lipoproteins, the balance between them seems more crucial in predicting cardiovascular events[12]. Nontraditional lipoprotein ratios, derived from pro-atherogenic and anti-atherogenic lipoproteins, provide more detailed information on lipid profiles and can detect imbalance earlier[25]. Therefore, there is a view that nontraditional lipoprotein ratios may serve as better predictors of cardiovascular and cerebrovascular disease risk than traditional lipid parameters[11,12,26].

Although the mechanisms underlying the elevated risk of future cardiovascular events in T2DM patients have not been fully elucidated, metabolic alterations caused by insulin resistance (IR) may be involved. As highlighted in the literature, glucose metabolism is closely related to lipid metabolism[27], and the bidirectional interaction between IR and metabolic dyslipidemia has been well established[28]. Abnormal lipid metabolism leads to inflammation, lipid toxicity, and endoplasmic reticulum stress, which together contribute to the development of IR[29]. Furthermore, the insulin signaling deficiency resulting from IR exacerbates abnormal lipid metabolism throughout the progression of T2DM, promoting a pro-atherogenic phenotype and ultimately leading to cardiovascular events[30]. In the past decade, the close links between nontraditional lipoprotein ratios and IR have been corroborated[31,32]. Motivated by these compelling observations, it would be interesting to explore the potential of the nontraditional lipoprotein ratios as reliable bioindicators of cardiovascular event risk in patients with T2DM.

TC/HDL-C was selected to reflect any imbalance between pro-atherogenic and anti-atherogenic lipoproteins[33]. In an article published in 2022, researchers uncovered which healthy individuals with TC/HDL-C ratio exceeding 4.22 exhibited elevated cardiovascular mortality[34]. The finding aligns with the outcomes of the current research, where a one-unit increase in TC/HDL-C correlated with a 9% and 8% elevated risk of MACE and CHF, respectively. LDL-C/HDL-C has proven to have a superior predictive ability for cardiovascular and cerebrovascular metabolic disorder risks than single lipid parameters[35,36]. Zhao et al[37] further discovered that an increased LDL-C/HDL-C ratio was significantly connected with a higher risk of carotid plaques in male patients with T2DM. In the present study, for each one-unit increase in LDL-C/HDL-C, the risk of MACE escalated by 16%, and risk of CHF by 9%. Among the nontraditional lipoprotein ratios examined in the present study, LDL-C/HDL-C showed the strongest predictive power for MACE. Non-HDL-C/HDL-C, a recently described marker[38], demonstrates enhanced efficiency in predicting cardiovascular and cerebrovascular disorders risks[39]. In addition to its associations with dyslipidemia-related diseases[40,41], a prospective Unite Kingdom study found that non-HDL-C/HDL-C was a more reliable predictor of coronary heart disease than non-HDL-C[42]. However, the clinical application of non-HDL-C/HDL-C is limited by the lack of sufficient studies. In our study, each one-unit increase in non-HDL-C/HDL-C corresponded to a 9% and 8% increased risk of MACE and CHF, respectively. These findings provide additional evidence for the widespread application of non-HDL-C/HDL-C in T2DM patients. As a metabolic residue of triglyceride-rich lipoproteins, RC has been implicated in mediating the residual risk of cardiovascular diseases[43-45]. Recently, it has been demonstrated that the addition of HDL-C further enhances the predictive power of RC for non-alcoholic fatty liver disease[46]. Roles for RC/HDL-C in the evaluation of intracranial atherosclerotic stenosis as well as periprocedural myocardial injury have also been described[47,48]. However, evidence regarding the association between RC/HDL-C with MACE and CHF in patients with T2DM is limited. To the best of our knowledge, the present study is the first to demonstrate the associations between RC/HDL-C and MACE as well as CHF in patients with T2DM. Our findings suggest that each one-unit rise in RC/HDL-C increases the risks of MACE and CHF by 8% and 10%, respectively. Compared to other nontraditional lipoprotein ratios, RC/HDL-C proved to be the most reliable predictor of CHF in our study; however, more robust evidence is needed to prove its predictive ability.

In this study, we considered 10182 T2DM patients from the United States and Canada. Among the four models with varying degrees of adjustment, we rigorously adjusted for potential confounders at different levels of detail. However, this adjustment did not substantially alter the results. The identification of threshold values in this study provides a useful guide to assist clinicians to better detect patients with T2DM at greater risk of future cardiovascular events and make more accurate clinical decisions. In summary, our results provide evidence that nontraditional lipoprotein ratios may be valuable therapeutic targets for preventing future cardiovascular events in T2DM patients.

This study has several limitations. First, as it was a cross-sectional study, only the associations between nontraditional lipoprotein ratios and MACE and CHF were assessed, and causality could not be established. Therefore, future prospective studies involving different cohorts are needed to validate our findings. Second, despite considering as many confounders as possible, other unmeasured or residual confounders may still exist. Third, because no information was available on homeostatic model assessment of IR, we failed to further elucidate the relationships between nontraditional lipoprotein ratios and insulin sensitivity and resistance in our study; this somewhat weakens our exploration of the underlying mechanism. Finally, the participants enrolled in the ACCORD/ACCORDION study were exclusively from the United States and Canada, making the generalizability of our results uncertain.

CONCLUSION

Analysis of data from the ACCORD/ACCORDION study, which involved 10182 patients with T2DM, suggested that nontraditional lipoprotein ratios were positively associated with MACE and CHF. Our findings provide evidence supporting the use of nontraditional lipoprotein ratios as reliable bioindicators of cardiovascular event risks in patients with T2DM.

ACKNOWLEDGEMENTS

The authors gratefully acknowledge the ACCORD/ACCORDION study group and the National Heart, Lung, and Blood Institute Biological Specimen and Data Repository Information Coordinating Centre.

References
1.  Wong ND, Sattar N. Cardiovascular risk in diabetes mellitus: epidemiology, assessment and prevention. Nat Rev Cardiol. 2023;20:685-695.  [RCA]  [PubMed]  [DOI]  [Full Text]  [Cited by in Crossref: 380]  [Cited by in RCA: 299]  [Article Influence: 99.7]  [Reference Citation Analysis (6)]
2.  Sun H, Saeedi P, Karuranga S, Pinkepank M, Ogurtsova K, Duncan BB, Stein C, Basit A, Chan JCN, Mbanya JC, Pavkov ME, Ramachandaran A, Wild SH, James S, Herman WH, Zhang P, Bommer C, Kuo S, Boyko EJ, Magliano DJ. IDF Diabetes Atlas: Global, regional and country-level diabetes prevalence estimates for 2021 and projections for 2045. Diabetes Res Clin Pract. 2022;183:109119.  [RCA]  [PubMed]  [DOI]  [Full Text]  [Full Text (PDF)]  [Cited by in Crossref: 8030]  [Cited by in RCA: 6260]  [Article Influence: 1565.0]  [Reference Citation Analysis (12)]
3.  Ahmad E, Lim S, Lamptey R, Webb DR, Davies MJ. Type 2 diabetes. Lancet. 2022;400:1803-1820.  [RCA]  [PubMed]  [DOI]  [Full Text]  [Cited by in Crossref: 906]  [Cited by in RCA: 728]  [Article Influence: 182.0]  [Reference Citation Analysis (7)]
4.  Kannel WB, McGee DL. Diabetes and cardiovascular disease. The Framingham study. JAMA. 1979;241:2035-2038.  [RCA]  [PubMed]  [DOI]  [Full Text]  [Cited by in Crossref: 620]  [Cited by in RCA: 1281]  [Article Influence: 27.3]  [Reference Citation Analysis (6)]
5.  Morrish NJ, Wang SL, Stevens LK, Fuller JH, Keen H. Mortality and causes of death in the WHO Multinational Study of Vascular Disease in Diabetes. Diabetologia. 2001;44 Suppl 2:S14-S21.  [RCA]  [PubMed]  [DOI]  [Full Text]  [Cited by in Crossref: 946]  [Cited by in RCA: 816]  [Article Influence: 32.6]  [Reference Citation Analysis (6)]
6.  Schmidt AM. Diabetes Mellitus and Cardiovascular Disease. Arterioscler Thromb Vasc Biol. 2019;39:558-568.  [RCA]  [PubMed]  [DOI]  [Full Text]  [Cited by in Crossref: 147]  [Cited by in RCA: 128]  [Article Influence: 18.3]  [Reference Citation Analysis (0)]
7.  Sone H, Nakagami T, Nishimura R, Tajima N; MEGA Study Group. Comparison of lipid parameters to predict cardiovascular events in Japanese mild-to-moderate hypercholesterolemic patients with and without type 2 diabetes: Subanalysis of the MEGA study. Diabetes Res Clin Pract. 2016;113:14-22.  [RCA]  [PubMed]  [DOI]  [Full Text]  [Cited by in Crossref: 21]  [Cited by in RCA: 26]  [Article Influence: 2.6]  [Reference Citation Analysis (0)]
8.  Ye X, Kong W, Zafar MI, Chen LL. Serum triglycerides as a risk factor for cardiovascular diseases in type 2 diabetes mellitus: a systematic review and meta-analysis of prospective studies. Cardiovasc Diabetol. 2019;18:48.  [RCA]  [PubMed]  [DOI]  [Full Text]  [Full Text (PDF)]  [Cited by in Crossref: 41]  [Cited by in RCA: 86]  [Article Influence: 12.3]  [Reference Citation Analysis (0)]
9.  Weng Q, Deng K, Wu F, Gan M, Li J, Dai Y, Jiang Y, Chen J, Dai J, Ma H, Hu Z, Shen H, Du J, Hu Y, Jin G. Leukocyte telomere length, lipid parameters and gestational diabetes risk: a case-control study in a Chinese population. Sci Rep. 2019;9:8483.  [RCA]  [PubMed]  [DOI]  [Full Text]  [Full Text (PDF)]  [Cited by in Crossref: 5]  [Cited by in RCA: 15]  [Article Influence: 2.1]  [Reference Citation Analysis (0)]
10.  Fang Y, Su J, Zhao C, Meng Y, Wei B, Zhang B, Huang Y, Dai L, Ouyang S. Association between nontraditional lipid profiles and the severity of obstructive sleep apnea: A retrospective study. J Clin Lab Anal. 2023;37:e24499.  [RCA]  [PubMed]  [DOI]  [Full Text]  [Full Text (PDF)]  [Cited by in Crossref: 1]  [Cited by in RCA: 12]  [Article Influence: 4.0]  [Reference Citation Analysis (0)]
11.  Liu Y, Jin X, Fu K, Li J, Xue W, Tian L, Teng W. Non-traditional lipid profiles and the risk of stroke: A systematic review and meta-analysis. Nutr Metab Cardiovasc Dis. 2023;33:698-714.  [RCA]  [PubMed]  [DOI]  [Full Text]  [Cited by in RCA: 16]  [Reference Citation Analysis (0)]
12.  Yu S, Yan L, Yan J, Sun X, Fan M, Liu H, Li Y, Guo M. The predictive value of nontraditional lipid parameters for intracranial and extracranial atherosclerotic stenosis: a hospital-based observational study in China. Lipids Health Dis. 2023;22:16.  [RCA]  [PubMed]  [DOI]  [Full Text]  [Full Text (PDF)]  [Cited by in Crossref: 13]  [Cited by in RCA: 30]  [Article Influence: 10.0]  [Reference Citation Analysis (0)]
13.  Li R, Kong D, Ye Z, Zong G, Hu K, Xu W, Fang P, Zhang L, Zhou Y, Zhang K, Xue Y. Correlation of multiple lipid and lipoprotein ratios with nonalcoholic fatty liver disease in patients with newly diagnosed type 2 diabetic mellitus: A retrospective study. Front Endocrinol (Lausanne). 2023;14:1127134.  [RCA]  [PubMed]  [DOI]  [Full Text]  [Cited by in RCA: 14]  [Reference Citation Analysis (7)]
14.  ACCORD Study Group; Gerstein HC, Miller ME, Genuth S, Ismail-Beigi F, Buse JB, Goff DC Jr, Probstfield JL, Cushman WC, Ginsberg HN, Bigger JT, Grimm RH Jr, Byington RP, Rosenberg YD, Friedewald WT. Long-term effects of intensive glucose lowering on cardiovascular outcomes. N Engl J Med. 2011;364:818-828.  [RCA]  [PubMed]  [DOI]  [Full Text]  [Cited by in Crossref: 817]  [Cited by in RCA: 709]  [Article Influence: 47.3]  [Reference Citation Analysis (6)]
15.  Su M, Zhao W, Xu S, Weng J. Resveratrol in Treating Diabetes and Its Cardiovascular Complications: A Review of Its Mechanisms of Action. Antioxidants (Basel). 2022;11:1085.  [RCA]  [PubMed]  [DOI]  [Full Text]  [Full Text (PDF)]  [Cited by in Crossref: 5]  [Cited by in RCA: 66]  [Article Influence: 16.5]  [Reference Citation Analysis (1)]
16.  Al-Salameh A, Chanson P, Bucher S, Ringa V, Becquemont L. Cardiovascular Disease in Type 2 Diabetes: A Review of Sex-Related Differences in Predisposition and Prevention. Mayo Clin Proc. 2019;94:287-308.  [RCA]  [PubMed]  [DOI]  [Full Text]  [Cited by in Crossref: 37]  [Cited by in RCA: 50]  [Article Influence: 7.1]  [Reference Citation Analysis (6)]
17.  Bailey CJ, Marx N. Cardiovascular protection in type 2 diabetes: Insights from recent outcome trials. Diabetes Obes Metab. 2019;21:3-14.  [RCA]  [PubMed]  [DOI]  [Full Text]  [Cited by in Crossref: 33]  [Cited by in RCA: 42]  [Article Influence: 6.0]  [Reference Citation Analysis (6)]
18.  Xu L, Yang Q, Zhou J. Mechanisms of Abnormal Lipid Metabolism in the Pathogenesis of Disease. Int J Mol Sci. 2024;25:8465.  [RCA]  [PubMed]  [DOI]  [Full Text]  [Cited by in RCA: 38]  [Reference Citation Analysis (0)]
19.  Nelson AJ, Rochelau SK, Nicholls SJ. Managing Dyslipidemia in Type 2 Diabetes. Endocrinol Metab Clin North Am. 2018;47:153-173.  [RCA]  [PubMed]  [DOI]  [Full Text]  [Cited by in Crossref: 20]  [Cited by in RCA: 25]  [Article Influence: 3.1]  [Reference Citation Analysis (1)]
20.  Kaze AD, Santhanam P, Musani SK, Ahima R, Echouffo-Tcheugui JB. Metabolic Dyslipidemia and Cardiovascular Outcomes in Type 2 Diabetes Mellitus: Findings From the Look AHEAD Study. J Am Heart Assoc. 2021;10:e016947.  [RCA]  [PubMed]  [DOI]  [Full Text]  [Full Text (PDF)]  [Cited by in Crossref: 12]  [Cited by in RCA: 99]  [Article Influence: 19.8]  [Reference Citation Analysis (7)]
21.  Kopin L, Lowenstein C. Dyslipidemia. Ann Intern Med. 2017;167:ITC81-ITC96.  [RCA]  [PubMed]  [DOI]  [Full Text]  [Cited by in Crossref: 267]  [Cited by in RCA: 443]  [Article Influence: 49.2]  [Reference Citation Analysis (0)]
22.  Gonna H, Ray KK. The importance of dyslipidaemia in the pathogenesis of cardiovascular disease in people with diabetes. Diabetes Obes Metab. 2019;21 Suppl 1:6-16.  [RCA]  [PubMed]  [DOI]  [Full Text]  [Cited by in Crossref: 9]  [Cited by in RCA: 19]  [Article Influence: 2.7]  [Reference Citation Analysis (6)]
23.  Kyle JE, Bramer LM, Claborne D, Stratton KG, Bloodsworth KJ, Teeguarden JG, Gaddameedhi S, Metz TO, Van Dongen HPA. Simulated Night-Shift Schedule Disrupts the Plasma Lipidome and Reveals Early Markers of Cardiovascular Disease Risk. Nat Sci Sleep. 2022;14:981-994.  [RCA]  [PubMed]  [DOI]  [Full Text]  [Full Text (PDF)]  [Cited by in Crossref: 2]  [Cited by in RCA: 12]  [Article Influence: 3.0]  [Reference Citation Analysis (0)]
24.  Le TN, Bright R, Truong VK, Li J, Juneja R, Vasilev K. Key biomarkers in type 2 diabetes patients: A systematic review. Diabetes Obes Metab. 2025;27:7-22.  [RCA]  [PubMed]  [DOI]  [Full Text]  [Cited by in RCA: 18]  [Reference Citation Analysis (0)]
25.  Millán J, Pintó X, Muñoz A, Zúñiga M, Rubiés-Prat J, Pallardo LF, Masana L, Mangas A, Hernández-Mijares A, González-Santos P, Ascaso JF, Pedro-Botet J. Lipoprotein ratios: Physiological significance and clinical usefulness in cardiovascular prevention. Vasc Health Risk Manag. 2009;5:757-765.  [PubMed]  [DOI]
26.  Sun J, Zhang J, Xin B, Ye Z, Cai Y, Lu K, Wang Y, Lei X, Zheng C, Cai X. Traditional and Non-Traditional Lipid Parameters in Relation to Parenchymal Hemorrhage Following Endovascular Treatment for Acute Ischemic Stroke in Anterior Circulation. Clin Interv Aging. 2024;19:891-900.  [RCA]  [PubMed]  [DOI]  [Full Text]  [Full Text (PDF)]  [Cited by in RCA: 7]  [Reference Citation Analysis (7)]
27.  Lauber C, Gerl MJ, Klose C, Ottosson F, Melander O, Simons K. Lipidomic risk scores are independent of polygenic risk scores and can predict incidence of diabetes and cardiovascular disease in a large population cohort. PLoS Biol. 2022;20:e3001561.  [RCA]  [PubMed]  [DOI]  [Full Text]  [Full Text (PDF)]  [Cited by in Crossref: 15]  [Cited by in RCA: 36]  [Article Influence: 9.0]  [Reference Citation Analysis (7)]
28.  Bloomgarden ZT. Insulin resistance, dyslipidemia, and cardiovascular disease. Diabetes Care. 2007;30:2164-2170.  [RCA]  [PubMed]  [DOI]  [Full Text]  [Cited by in Crossref: 37]  [Cited by in RCA: 50]  [Article Influence: 2.6]  [Reference Citation Analysis (1)]
29.  Li M, Zhang W, Zhang M, Li L, Wang D, Yan G, Qiao Y, Tang C. Nonlinear relationship between untraditional lipid parameters and the risk of prediabetes: a large retrospective study based on Chinese adults. Cardiovasc Diabetol. 2024;23:12.  [RCA]  [PubMed]  [DOI]  [Full Text]  [Full Text (PDF)]  [Cited by in RCA: 49]  [Reference Citation Analysis (0)]
30.  Semenkovich CF. Insulin resistance and atherosclerosis. J Clin Invest. 2006;116:1813-1822.  [RCA]  [PubMed]  [DOI]  [Full Text]  [Cited by in Crossref: 361]  [Cited by in RCA: 322]  [Article Influence: 16.1]  [Reference Citation Analysis (6)]
31.  Ray S, Talukdar A, Sonthalia N, Saha M, Kundu S, Khanra D, Guha S, Basu AK, Mukherjee A, Ray D, Ganguly S. Serum lipoprotein ratios as markers of insulin resistance: a study among non-diabetic acute coronary syndrome patients with impaired fasting glucose. Indian J Med Res. 2015;141:62-67.  [RCA]  [PubMed]  [DOI]  [Full Text]  [Full Text (PDF)]  [Cited by in Crossref: 15]  [Cited by in RCA: 16]  [Article Influence: 1.5]  [Reference Citation Analysis (7)]
32.  Zhang L, Chen S, Deng A, Liu X, Liang Y, Shao X, Sun M, Zou H. Association between lipid ratios and insulin resistance in a Chinese population. PLoS One. 2015;10:e0116110.  [RCA]  [PubMed]  [DOI]  [Full Text]  [Full Text (PDF)]  [Cited by in Crossref: 33]  [Cited by in RCA: 41]  [Article Influence: 3.7]  [Reference Citation Analysis (0)]
33.  Sniderman AD, Jungner I, Holme I, Aastveit A, Walldius G. Errors that result from using the TC/HDL C ratio rather than the apoB/apoA-I ratio to identify the lipoprotein-related risk of vascular disease. J Intern Med. 2006;259:455-461.  [RCA]  [PubMed]  [DOI]  [Full Text]  [Cited by in Crossref: 64]  [Cited by in RCA: 70]  [Article Influence: 3.5]  [Reference Citation Analysis (6)]
34.  Zhou D, Liu X, Lo K, Huang Y, Feng Y. The effect of total cholesterol/high-density lipoprotein cholesterol ratio on mortality risk in the general population. Front Endocrinol (Lausanne). 2022;13:1012383.  [RCA]  [PubMed]  [DOI]  [Full Text]  [Full Text (PDF)]  [Cited by in Crossref: 1]  [Cited by in RCA: 27]  [Article Influence: 6.8]  [Reference Citation Analysis (0)]
35.  Zhang XX, Wei M, Shang LX, Lu YM, Zhang L, Li YD, Zhang JH, Xing Q, Tu-Erhong ZK, Tang BP, Zhou XH. LDL-C/HDL-C is associated with ischaemic stroke in patients with non-valvular atrial fibrillation: a case-control study. Lipids Health Dis. 2020;19:217.  [RCA]  [PubMed]  [DOI]  [Full Text]  [Full Text (PDF)]  [Cited by in Crossref: 5]  [Cited by in RCA: 16]  [Article Influence: 2.7]  [Reference Citation Analysis (7)]
36.  Kunutsor SK, Zaccardi F, Karppi J, Kurl S, Laukkanen JA. Is High Serum LDL/HDL Cholesterol Ratio an Emerging Risk Factor for Sudden Cardiac Death? Findings from the KIHD Study. J Atheroscler Thromb. 2017;24:600-608.  [RCA]  [PubMed]  [DOI]  [Full Text]  [Full Text (PDF)]  [Cited by in Crossref: 67]  [Cited by in RCA: 74]  [Article Influence: 8.2]  [Reference Citation Analysis (0)]
37.  Zhao Q, Liu F, Wang YH, Lai HM, Zhao Q, Luo JY, Ma YT, Li XM, Yang YN. LDL-C:HDL-C ratio and common carotid plaque in Xinjiang Uygur obese adults: a cross-sectional study. BMJ Open. 2018;8:e022757.  [RCA]  [PubMed]  [DOI]  [Full Text]  [Full Text (PDF)]  [Cited by in Crossref: 9]  [Cited by in RCA: 12]  [Article Influence: 1.5]  [Reference Citation Analysis (7)]
38.  Sheng G, Liu D, Kuang M, Zhong Y, Zhang S, Zou Y. Utility of Non-High-Density Lipoprotein Cholesterol to High-Density Lipoprotein Cholesterol Ratio in Evaluating Incident Diabetes Risk. Diabetes Metab Syndr Obes. 2022;15:1677-1686.  [RCA]  [PubMed]  [DOI]  [Full Text]  [Full Text (PDF)]  [Cited by in Crossref: 31]  [Cited by in RCA: 108]  [Article Influence: 27.0]  [Reference Citation Analysis (7)]
39.  Zhu L, Lu Z, Zhu L, Ouyang X, Yang Y, He W, Feng Y, Yi F, Song Y. Lipoprotein ratios are better than conventional lipid parameters in predicting coronary heart disease in Chinese Han people. Kardiol Pol. 2015;73:931-938.  [RCA]  [PubMed]  [DOI]  [Full Text]  [Cited by in Crossref: 37]  [Cited by in RCA: 136]  [Article Influence: 12.4]  [Reference Citation Analysis (6)]
40.  Kim SW, Jee JH, Kim HJ, Jin SM, Suh S, Bae JC, Kim SW, Chung JH, Min YK, Lee MS, Lee MK, Kim KW, Kim JH. Non-HDL-cholesterol/HDL-cholesterol is a better predictor of metabolic syndrome and insulin resistance than apolipoprotein B/apolipoprotein A1. Int J Cardiol. 2013;168:2678-2683.  [RCA]  [PubMed]  [DOI]  [Full Text]  [Cited by in Crossref: 51]  [Cited by in RCA: 145]  [Article Influence: 11.2]  [Reference Citation Analysis (5)]
41.  Yang S, Zhong J, Ye M, Miao L, Lu G, Xu C, Xue Z, Zhou X. Association between the non-HDL-cholesterol to HDL-cholesterol ratio and non-alcoholic fatty liver disease in Chinese children and adolescents: a large single-center cross-sectional study. Lipids Health Dis. 2020;19:242.  [RCA]  [PubMed]  [DOI]  [Full Text]  [Full Text (PDF)]  [Cited by in Crossref: 40]  [Cited by in RCA: 51]  [Article Influence: 8.5]  [Reference Citation Analysis (7)]
42.  Lamprea-Montealegre JA, Sharrett AR, Matsushita K, Selvin E, Szklo M, Astor BC. Chronic kidney disease, lipids and apolipoproteins, and coronary heart disease: the ARIC study. Atherosclerosis. 2014;234:42-46.  [RCA]  [PubMed]  [DOI]  [Full Text]  [Cited by in Crossref: 32]  [Cited by in RCA: 50]  [Article Influence: 4.2]  [Reference Citation Analysis (1)]
43.  Fujioka Y, Ishikawa Y. Remnant lipoproteins as strong key particles to atherogenesis. J Atheroscler Thromb. 2009;16:145-154.  [RCA]  [PubMed]  [DOI]  [Full Text]  [Cited by in Crossref: 88]  [Cited by in RCA: 104]  [Article Influence: 6.1]  [Reference Citation Analysis (3)]
44.  Varbo A, Benn M, Tybjærg-Hansen A, Jørgensen AB, Frikke-Schmidt R, Nordestgaard BG. Remnant cholesterol as a causal risk factor for ischemic heart disease. J Am Coll Cardiol. 2013;61:427-436.  [RCA]  [PubMed]  [DOI]  [Full Text]  [Cited by in Crossref: 589]  [Cited by in RCA: 828]  [Article Influence: 63.7]  [Reference Citation Analysis (5)]
45.  Authors/Task Force Members; ESC Committee for Practice Guidelines (CPG);  ESC National Cardiac Societies. 2019 ESC/EAS guidelines for the management of dyslipidaemias: Lipid modification to reduce cardiovascular risk. Atherosclerosis. 2019;290:140-205.  [RCA]  [PubMed]  [DOI]  [Full Text]  [Cited by in Crossref: 729]  [Cited by in RCA: 752]  [Article Influence: 107.4]  [Reference Citation Analysis (7)]
46.  Zou Y, Hu C, Kuang M, Chai Y. Remnant cholesterol/high-density lipoprotein cholesterol ratio is a new powerful tool for identifying non-alcoholic fatty liver disease. BMC Gastroenterol. 2022;22:134.  [RCA]  [PubMed]  [DOI]  [Full Text]  [Full Text (PDF)]  [Cited by in Crossref: 4]  [Cited by in RCA: 21]  [Article Influence: 5.3]  [Reference Citation Analysis (7)]
47.  Yang WS, Li R, Shen YQ, Wang XC, Liu QJ, Wang HY, Li Q, Yao GE, Xie P. Importance of lipid ratios for predicting intracranial atherosclerotic stenosis. Lipids Health Dis. 2020;19:160.  [RCA]  [PubMed]  [DOI]  [Full Text]  [Full Text (PDF)]  [Cited by in Crossref: 6]  [Cited by in RCA: 39]  [Article Influence: 6.5]  [Reference Citation Analysis (6)]
48.  Zeng RX, Li S, Zhang MZ, Li XL, Zhu CG, Guo YL, Zhang Y, Li JJ. Remnant cholesterol predicts periprocedural myocardial injury following percutaneous coronary intervention in poorly-controlled type 2 diabetes. J Cardiol. 2017;70:113-120.  [RCA]  [PubMed]  [DOI]  [Full Text]  [Cited by in Crossref: 13]  [Cited by in RCA: 21]  [Article Influence: 2.3]  [Reference Citation Analysis (3)]
Footnotes

Provenance and peer review: Unsolicited article; Externally peer reviewed.

Peer-review model: Single blind

Specialty type: Endocrinology and metabolism

Country of origin: China

Peer-review report’s classification

Scientific Quality: Grade B, Grade B, Grade C

Novelty: Grade B, Grade B

Creativity or Innovation: Grade B, Grade B

Scientific Significance: Grade B, Grade B

Open Access: This article is an open-access article that was selected by an in-house editor and fully peer-reviewed by external reviewers. It is distributed in accordance with the Creative Commons Attribution NonCommercial (CC BY-NC 4.0) license, which permits others to distribute, remix, adapt, build upon this work non-commercially, and license their derivative works on different terms, provided the original work is properly cited and the use is non-commercial. See: https://creativecommons.org/Licenses/by-nc/4.0/

P-Reviewer: Horowitz M; Wang W; Zhao JP S-Editor: Bai Y L-Editor: A P-Editor: Xu ZH

Write to the Help Desk