Copyright
©The Author(s) 2025.
World J Diabetes. Oct 15, 2025; 16(10): 110211
Published online Oct 15, 2025. doi: 10.4239/wjd.v16.i10.110211
Published online Oct 15, 2025. doi: 10.4239/wjd.v16.i10.110211
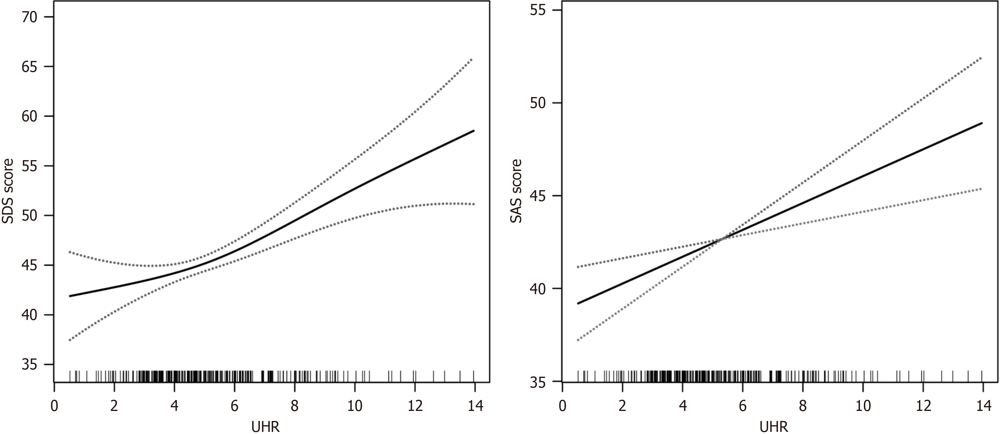
Figure 1 Association between uric acid-to-high-density lipoprotein cholesterol ratio with Self-Rating Depression Scale and Self-Rating Anxiety Scale scores.
We adjusted for gender, age, education level, diabetes mellitus duration, smoking status, drinking status, body mass index, glycated hemoglobin, fasting plasma glucose, aspartate aminotransferase, alanine aminotransferase, triglycerides, total cholesterol, and low-density lipoprotein cholesterol. SAS: Self-Rating Anxiety Scale; SDS: Self-Rating Depression Scale; UHR: Uric acid to high-density lipoprotein cholesterol ratio.
- Citation: Xu H, He DJ, Luo C, Yu XM, Duan CZ, Sun D, Wu DJ, Mao XQ, Jiang WF. Association between uric acid to high-density lipoprotein ratio and mental health symptoms in people with type 2 diabetes. World J Diabetes 2025; 16(10): 110211
- URL: https://www.wjgnet.com/1948-9358/full/v16/i10/110211.htm
- DOI: https://dx.doi.org/10.4239/wjd.v16.i10.110211
