BPG is committed to discovery and dissemination of knowledge
Retrospective Study Open Access
Copyright: ©Author(s) 2026. This article is an open access article distributed under the terms and conditions of the Creative Commons Attribution-NonCommercial (CC BY-NC 4.0) license. No commercial re-use. See permissions. Published by Baishideng Publishing Group Inc.
World J Hepatol. Apr 27, 2026; 18(4): 116176
Published online Apr 27, 2026. doi: 10.4254/wjh.v18.i4.116176
In-hospital mortality and dynamic modified end-stage liver disease score after emergency general surgery in patients with cirrhosis
Ashling L Zhang, Nathnael Tessema, Department of Surgery, University of Maryland School of Medicine, Baltimore, MD 21201, United States
Jaclyn Clark, David T Efron, Mira H Ghneim, Program in Trauma, University of Maryland School of Medicine, R. Adams Cowley Shock Trauma Center, Baltimore, MD 21201, United States
Roumen Vesselinov, Department of Epidemiology and Public Health, University of Maryland School of Medicine, Baltimore, MD 21201, United States
Lindsay O’Meara, Department of Surgery, University of Maryland Medical Center, Baltimore, MD 21201, United States
ORCID number: Ashling L Zhang (0009-0007-8134-0398); Roumen Vesselinov (0000-0001-9843-1586); Lindsay O’Meara (0000-0003-1283-5315); David T Efron (0009-0003-1136-7238); Mira H Ghneim (0000-0001-5129-1520).
Author contributions: Zhang AL and Tessema N extracted data from medical records; Zhang AL and Ghneim MH designed the study and were major contributors to the writing of the manuscript; Zhang AL, Vesselinov R, and Ghneim MH performed the statistical analyses; Clark J, O’Meara L, and Efron DT contributed to critical revision of the manuscript; All authors read, revised, and approved the final manuscript.
Institutional review board statement: The study protocol was reviewed and approved by the University of Maryland, Baltimore Institutional Review Board (Approval No. HP-00112669).
Informed consent statement: Patients were not required to give informed consent to the study, because the analysis used anonymous clinical data that were obtained after each patient agreed to treatment by written consent.
Conflict-of-interest statement: The authors have no conflicts of interest to declare.
Data sharing statement: The datasets generated during the current study are not publicly available due to sensitivity and are available from the corresponding author on reasonable request.
Corresponding author: Mira H Ghneim, MD, Associate Professor, FACS, Program in Trauma, University of Maryland School of Medicine, R. Adams Cowley Shock Trauma Center, 22 S. Greene Street, Baltimore, MD 21201, United States. mira.ghneim@som.umaryland.edu
Received: November 5, 2025
Revised: December 9, 2025
Accepted: January 20, 2026
Published online: April 27, 2026
Processing time: 168 Days and 6.5 Hours

Abstract
BACKGROUND

Improvement in care has resulted in a greater incidence of patients with cirrhosis requiring emergency general surgery procedures (EGSPs). Understanding perioperative risk factors is essential to guide surgical decision-making and optimize outcomes in this high-risk population.

AIM

To describe perioperative characteristics and outcomes of and identify risk factors for in-hospital mortality among patients with cirrhosis requiring EGSP.

METHODS

This was a retrospective study of patients with cirrhosis who underwent EGSP at a single quaternary care center from 2016 to 2023. Data collected included demographics, disease characteristics, perioperative management, and outcomes. The primary outcome was in-hospital mortality. Multivariable logistic regression models were employed to identify factors independently associated with in-hospital mortality. P < 0.05 was considered statistically significant.

RESULTS

Of the 94 patients included, 69% survived. In-hospital mortality was 31%. Non-survivors presented with higher model for end-stage liver disease (MELD) scores (26 vs 13; P < 0.001), had more complex surgical pathology, and suffered more non-surgical complications (97% vs 57%; P < 0.001). Of the 24 patients with improved MELD scores, 92% survived; conversely, of the 14 patients whose MELD scores worsened, 93% died. All patients with a final MELD ≥ 30 died. Worsening MELD was primarily driven by bilirubin and creatinine rather than international normalized ratio. In the adjusted model, preoperative vasopressors (odds ratio [OR]: 18, 95% confidence interval [CI]: 2.9-116) and MELD score at discharge/death (OR: 1.3, 95%CI: 1.1-1.4) were independently associated with in-hospital mortality.

CONCLUSION

In patients with cirrhosis requiring EGSP, initial MELD alone may be insufficient for assessing risk of in-hospital mortality, as it can change postoperatively and may improve after indicated intervention. Postoperative MELD trajectory aligned with prognosis, and increasing MELD – primarily driven by bilirubin and creatinine – was associated with higher in-hospital mortality, highlighting potential targets for postoperative risk mitigation.

Key Words: Emergency general surgery; Cirrhosis; Outcomes; Mortality; Model for end-stage liver disease

Core Tip: For patients with cirrhosis requiring emergency general surgery, initial model for end-stage liver disease (MELD) score alone may be insufficient for perioperative risk assessment, as MELD can change postoperatively. In this single-center retrospective study of 94 patients, MELD at discharge/death was independently associated with in-hospital mortality, whereas admission and day-of-surgery MELD were not. Among 24 patients whose MELD improved after surgery, 92% survived; among 14 whose MELD worsened, 93% died. All patients with final MELD ≥ 30 died. Increases in MELD were driven by bilirubin and creatinine, highlighting the need for targeted postoperative strategies to limit renal and hepatic dysfunction.



INTRODUCTION

An increasing number of patients with cirrhosis are undergoing and surviving emergency general surgery procedures (EGSPs). Those who survive are subject to elevated risk of postoperative morbidity, including more postoperative admissions to the intensive care unit (ICU), longer hospital length of stay, and more frequent readmissions[1-3]. These risks are even more pronounced in patients undergoing emergency procedures compared to those undergoing elective procedures[4-6].

Several factors account for this increase in morbidity and mortality. There is a stress response due to anesthesia, surgery, and critical illness, which combined lead to an increased risk of hepatic decompensation and multisystem organ failure[7-9]. Additionally, the pathophysiology of cirrhosis makes patients vulnerable to a host of complications. Portal hypertension and hepatic dysfunction result in coagulopathy, exacerbation of ascites, immunocompromise, encephalopathy, and malnutrition, which in turn contribute to surgical complications. This includes hemorrhage, anastomotic leakage, hepatorenal syndrome, surgical site infections, ascites leakage, wound dehiscence, secondary bacterial peritonitis (SBP), and sepsis[2,4,10,11].

The model for end-stage liver disease (MELD) score, MELD-sodium (MELD-Na) score, and Child-Pugh (CP) class are well-established predictors of mortality following elective surgeries[1,10,12-17]. Recent studies suggest that all three also maintain an association with postoperative mortality in urgent/emergent cases[18-20]. However, the relationship between postoperative mortality and traditional measures of cirrhosis severity is complicated by additional risk factors introduced in emergent scenarios.

As the prevalence of patients with cirrhosis continues to increase and the need for EGSP in such patients becomes more frequent[13,21-23], it becomes imperative that we develop a better understanding of the risk factors for perioperative morbidity and mortality in this population. Although numerous reports consistently confirm higher morbidity and mortality in emergent compared to elective cases, the literature evaluating risk factors for these poor outcomes remains scarce[13,21].

Therefore, the aims of our study were to: (1) Describe the perioperative characteristics and outcomes of patients with cirrhosis requiring EGSP; and (2) Identify risk factors for in-hospital mortality and surgical complications in this population. We hypothesized that an increase in MELD score postoperatively would be associated with an increased risk of in-hospital mortality.

MATERIALS AND METHODS
Study population and patient selection

After obtaining approval from our institutional review board, a retrospective study of patients with cirrhosis who underwent EGSP by the acute care emergency general surgery (EGS) service at a quaternary care center from 2016 to 2023 was conducted. All patients evaluated by the service during this period who carried an International Classification of Diseases, 10th Revision code indicative of cirrhosis were screened for inclusion (Figure 1). The diagnosis of cirrhosis was confirmed through clinical documentation in the electronic medical record of one or more of the following: Computed tomography evidence of a cirrhotic liver and/or sequela of cirrhosis, intraoperative confirmation by the surgical team, biopsy-confirmed disease, or prior outpatient hepatology documentation of cirrhosis. EGSP was defined as intra-abdominal operative EGS procedures aligned with prior national definitions of core EGS operations, including cholecystectomy, appendectomy, colectomy, small bowel resection, lysis of adhesions, peptic ulcer repair, and exploratory laparotomy[24]. Urgent/emergent cases were defined by a time-to-intervention approach, operationalized here as surgery within 1-6 hours of EGS evaluation and case posting. Patients who were < 18 years of age, prisoners, pregnant, recipients of a liver transplant during the same admission, or transferred following an operative intervention at an outside hospital were excluded.

Figure 1
Figure 1 Process of screening for patients with cirrhosis who underwent an abdominal emergency general surgery procedure. ICD-10: International Classification of Diseases, 10th Revision.
Covariates and outcomes

Data collected included preoperative patient demographics, comorbidities, Charlson comorbidity index (CCI), cirrhosis characteristics (etiology of cirrhosis, ascites, encephalopathy, transjugular intrahepatic portosystemic shunt [TIPS], CP class, and MELD score), laboratory values (white blood cell count, platelet count, lactate, ammonia, international normalized ratio [INR], total bilirubin, creatinine), ICU admission, vasopressor use, and operative indication. MELD score was calculated using the original, pre-2016 formula: [0.957 × ln(serum creatinine) + 0.378 × ln(serum bilirubin) + 1.120 × ln(INR) + 0.643] × 10. Intraoperative data collected included EGSP performed, surgical approach, resuscitation strategies, type and timing of abdominal closure, and total number of operations performed. Postoperative data collected included the use of antibiotics, antifungals, diuretics, use of paracentesis, vasopressor use, unplanned interventions, use of renal replacement therapy, and SBP. Outcomes collected included surgical and non-surgical complications, hospital length-of-stay, ICU length of stay, ventilator days, change in MELD at time of discharge and discharge disposition.

Surgical complications were defined as skin dehiscence, fascial dehiscence, superficial surgical site infection, superficial or deep/incisional hematoma, intra-abdominal hematoma, and intra-abdominal infection requiring interventional radiology drainage. Postoperative bleeding events were accounted for as superficial, deep/incisional, or intra-abdominal hematomas.

Non-surgical complications were defined as bacteremia, sepsis, urinary tract infection, venous thromboembolism, pulmonary embolism, myocardial infarction, arrythmias, acute kidney injury (AKI), pulmonary effusions, pneumonia, and heart failure. Patients were defined as having had an unplanned operative intervention if they required a return trip to the operating room for an unexpected complication/indication.

MELD score and components were recorded on the day of admission, day of the index operation (prior to operative intervention), and day of discharge/death. The MELD scores on the day of surgery and day of discharge were divided into five categories: 6-9, 10-19, 20-29, 30-39, and 40. Postoperative worsening of MELD was defined as a higher MELD category at discharge or death relative to the day of surgery.

The change in variables that comprise the MELD score - total bilirubin, INR, and creatinine - was calculated for each individual patient as the numerical value at discharge minus the numerical value on the day of the index operation. The one categorical aspect of the MELD is whether the patient has been on hemodialysis (HD) or continuous renal replacement therapy (CRRT); a change in this variable was defined as a patient who was initially not on HD/CRRT at the time of the index operation being started on HD/CRRT by the time of discharge/death. Utilization of HD/CRRT was defined as requiring two or more treatments in a week, in accordance with United Network for Organ Sharing criteria for calculating MELD score. The primary outcome assessed was in-hospital mortality. The secondary outcome assessed was any surgical complications.

Statistical analyses

Comparisons were made between patients who experienced in-hospital mortality vs those who survived. An a priori power analysis was not performed given the retrospective design, the relative infrequency of patients with cirrhosis undergoing EGS, and limited heterogeneous data to support reliable baseline mortality estimates for prespecifying an effect size. Therefore, the study sample comprised all eligible patients identified during the study period.

Means, medians, and proportions were used to represent the distributions of the main characteristics for our study sample. Analysis of variance was used to test for differences between means. χ2 tests and Fisher’s exact tests were used to evaluate the relationship between categorical variables by testing differences in proportions. For multiple pairwise comparisons of means, Tukey post-hoc test was used. For multiple pairwise comparisons of proportions, the Bonferroni correction was used. For patients whose MELD worsened to ≥ 30 between the day of surgery and day of discharge/death, differences in total bilirubin, INR, and creatinine between these two time points were analyzed using Wilcoxon matched-pairs signed rank tests.

Multivariable logistic regression models were then used to identify factors independently associated with the primary and secondary outcomes (in-hospital mortality and surgical complications). Variables were selected based on bivariate significance and a priori clinical relevance. Clinically relevant variables were defined as factors known to influence or be independently associated with in-hospital mortality in cirrhotic and/or emergency surgical populations. This included age, sex, CCI, CP class, total bilirubin, albumin, INR, platelet count, ascites, and encephalopathy on admission, preoperative vasopressor use, MELD on day of surgery, indication for surgery, surgical approach, closure at index procedure, intraoperative transfusion requirement, postoperative vasopressor use, postoperative ICU admission, need for unplanned intervention, and MELD on discharge/death. Stepwise selection procedure was used to create more parsimonious models and leave only statistically significant variables in the final models. Statistical analysis was performed using SAS 9.4 (SAS Institute, Cary, NC, United States) and GraphPad Prism 10.5.0 (GraphPad Software, Boston, MA, United States). P < 0.05 was considered statistically significant.

RESULTS
Preoperative characteristics, perioperative course, and postoperative outcomes of the entire cohort of patients with cirrhosis undergoing EGS operations

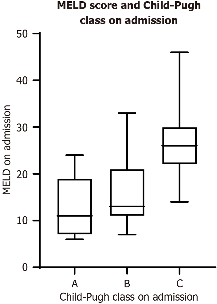
Ninety-four patients were included in the study (Figure 1). The mean age was 57 ± 11 years, 19 (20%) patients were female, and the median CCI was 5 (interquartile range [IQR]: 3-7]. The most common cause of cirrhosis was alcoholic cirrhosis (57%). The median MELD score on admission was 17 (IQR: 12-24). The distribution of patients across CP classes A, B, and C was 19 (20%), 46 (49%), and 29 (31%), respectively (Supplemental Table 1). Among patients admitted with CP class A, B, and C, the median MELD scores on admission were 11 (7-19), 13 (11-21), and 26 (22-30), respectively (Figure 2). Of the 69 (73%) patients who presented with ascites, 22 (23%) presented with encephalopathy and 4 (4%) had a history of a TIPS procedure. Of the 43 (46%) patients who were managed in the ICU, 31 (33%) required vasopressors preoperatively (Supplemental Table 1).

Figure 2
Figure 2 Median model for end-stage liver disease scores within each Child-Pugh class at the time of admission. Among patients admitted with Child-Pugh class A, B, and C, the median model for end-stage liver disease (MELD) scores on admission were 11 (7-19), 13 (11-21), and 26 (22-30), respectively.
Table 1 Demographics, preoperative cirrhosis characteristics, preoperative laboratory values, and operative indications among survivors vs non-survivors (n = 94), n (%)/mean ± SD.

Survivors (n = 65)
Non-survivors (n = 29)
P value
Age56 ± 1060 ± 130.21
Female11 (17)8 (28)0.23
Race0.48
White/Caucasian40 (62)16 (55)
Black/African American19 (29)10 (35)
Hispanic4 (6)2 (7)
Asian2 (3)0 (0)
CCI, median (IQR)4 (3-7)5 (3-8)0.05
Etiology of cirrhosis0.07
Alcoholic liver cirrhosis40 (62)14 (48)
Hepatitis B0 (0)2 (7)
Hepatitis C16 (25)3 (10)
NAFLD1 (2)2 (7)
Cirrhosis characteristics
Ascites46 (71)23 (79)0.39
Encephalopathy10 (15)12 (41)0.006
History of TIPS4 (6)0 (0)0.17
Childs-Pugh class
Class A17 (26)2 (7)0.02
Class B37 (57)9 (31)0.04
Class C11 (17)18 (62)< 0.001
MELD on admission, median (IQR)13 (10-22)26 (18-30)< 0.001
INR1.4 ± 0.32.3 ± 1.7< 0.001
Preoperative critical illness indicators
ICU admission19 (30)24 (83)< 0.001
Vasopressors9 (14)22 (76)< 0.001
HD/CRRT1 (2)3 (10)0.05
Laboratory values
White blood cells (× 1000 cells per uL)10 ± 614 ± 80.02
Platelets (× 1000 per uL)168 ± 134165 ± 1250.92
Ammonia (ug/dL)44 ± 7871 ± 1070.32
Lactate (mmol/L)3 ± 38 ± 6< 0.001
Indication for operative intervention0.002
Acute appendicitis4 ± 60 ± 0
Acute cholecystitis13 ± 203 ± 10
Acute diverticulitis0 ± 01 ± 3
Hernia16 ± 251 ± 3
Infectious colitis0 ± 03 ± 10
Small bowel obstruction3 ± 50 ± 0
Bowel ischemia8 ± 123 ± 10
Acute pancreatitis3 ± 51 ± 3
Perforated peptic ulcer disease3 ± 53 ± 10
Abdominal compartment syndrome0 ± 03 ± 10
Hemorrhage4 ± 64 ± 14
Pneumoperitoneum/pneumatosis3 ± 54 ± 14

On the day of surgery, the median MELD score was 17 (IQR: 12-24). The most common operative indication was an incarcerated abdominal hernia (18%), followed by acute cholecystitis (17%) and bowel ischemia (12%). The most frequent surgical approach was an exploratory laparotomy (79%), and the most common operations performed were bowel resection (27%), and hernia repair (15%). Forty-two (52%) patients achieved fascial and skin closure at the index operation. On average, patients underwent 2 ± 2 operations during their hospital course and achieved definitive abdominal closure within 4 ± 9 days (Supplemental Table 2).

Table 2 Intraoperative and postoperative management of survivors vs non-survivors (n = 94), n (%)/mean ± SD.

Survivors (n = 65)
Non-survivors (n = 29)
P value
MELD on day of surgery, median (IQR)13 (10-25)23 (17-29)< 0.001
Approach
Laparoscopic12 (19)0 (0)0.04
Exploratory laparotomy45 (69)29 (100)0.002
Laparoscopic converted to open8 (12)0 (0)0.14
Operation(s) performed
Bowel resection19 (29)6 (21)0.46
Hernia repair13 (20)1 (3)0.06
Laparoscopic cholecystectomy9 (14)0 (0)0.05
Open cholecystectomy7 (11)2 (7)0.72
Laparoscopic appendectomy3 (5)0 (0)0.55
Open appendectomy2 (3)0 (0)0.48
Repair of gastric or duodenal ulcer4 (6)3 (10)0.37
Intraoperative resuscitation at index case
pRBCs (units)1 ± 26 ± 7< 0.001
FFP (units)1 ± 25 ± 6< 0.001
Platelets (pack)0.4 ± 10.9 ± 10.045
Cryoprecipitate (units)0.1 ± 0.30.4 ± 0.70.002
Hemostatic agents used14 ± 2215 ± 520.003
Closure at index procedure
Open abdomen19 ± 2919 ± 660.01
Fascia only5 ± 81 ± 30.99
Fascia and skin41 ± 638 ± 280.01
Skin only0 ± 01 ± 30.39
Postoperative management
Antibiotics50 (77)27 (93)0.06
Antifungals16 (25)17 (59)0.001
Diuretics40 (62)8 (28)0.002
Paracentesis9 (14)5 (17)0.67
Total number of operations2 ± 23 ± 20.07
Days to final closure3 ± 78 ± 140.03
Closure at final procedure
Open abdomen0 (0)12 (41)< 0.001
Fascia only11 (17)4 (14)0.99
Fascia and skin48 (74)11 (38)0.01
Skin only3 (5)1 (3)0.99
Fascial bridge closure3 (5)1 (3)0.99

Postoperatively, 67 (71%) patients were admitted to the ICU, 55 (59%) were treated with vasopressors, 77 (82%) were treated with antibiotics, 33 (35%) were treated with antifungals, 48 (51%) were started on diuretics, 14 (15%) underwent postoperative paracentesis, 28 (30%) experienced postoperative surgical complications, and 12 (13%) were on HD or CRRT at the end of the hospital course (Supplemental Table 2). Most patients who presented as CP A did not experience any surgical complication (79%). Of the 19 CP A patients, the most common surgical complication was intra-abdominal hematoma (11%), and the most common medical complication was AKI (37%). Among both the 46 CP B patients and 29 CP C patients, the most common surgical complication was an intra-abdominal infection requiring image-guided drainage (22% of CP B, 28% of CP C), and the most common medical complication was AKI (43% of CP B, 76% of CP C).

The mean number of days spent in the hospital was 24 ± 28, in the ICU was 13 ± 21, and on mechanical ventilation was 9 ± 17. The median MELD on the day of discharge/death was 14 (IQR: 9-24). Twenty-nine (31%) patients died prior to discharge. 11%, 20%, and 62% of patients admitted with CP class A, B, and C, respectively, died prior to discharge. Of the 65 (69%) patients who survived to discharge, 38% were discharged home, 29% were discharged to a rehabilitation or skilled nursing facility, and 2% were transferred to hospice care (Supplemental Table 2).

Demographics, preoperative cirrhosis characteristics, preoperative laboratory values, and indications for operative intervention of survivors vs non-survivors

Demographics, etiology of cirrhosis, ascites present on admission, and history of TIPS were similar between survivors and non-survivors. Non-survivors were more likely to present with encephalopathy (41% vs 15%; P = 0.006), CP class C (62% vs 17%; P < 0.001), and higher MELD (26 vs 13; P < 0.001) than survivors (Table 1). Non-survivors were also more likely to be admitted to the ICU (83% vs 30%; P < 0.001), require vasopressors during the initial phase of resuscitation (76% vs 14%; P < 0.001), and present with a higher lactate (8 vs 3; P < 0.001) (Table 1). Indications for operative interventions differed between the two groups (P = 0.002). Non-survivors were more likely to undergo operative interventions for infectious colitis, perforated peptic ulcer disease, abdominal compartment syndrome, hemorrhage, and bowel perforation (Table 1).

Intraoperative and postoperative management of survivors vs non-survivors

Non-survivors experienced a higher day-of-surgery MELD (23 vs 13; P < 0.001) compared to survivors. Additionally, non-survivors were more likely to undergo open exploration (100% vs 69%; P = 0.002), require more packed red blood cells (6 vs 1; P < 0.001), fresh frozen plasma (5 vs 1; P < 0.001), platelets (0.9 vs 0.4; P = 0.045), and require the use of intra-abdominal hemostatic agents (52% vs 22%; P = 0.003) than survivors. Survivors were more likely to undergo a laparoscopic approach at the index procedure (19% vs 0%; P = 0.04) than non-survivors (Table 2).

While the types of operations performed did not significantly differ between the two groups, non-survivors were more likely to be managed with an open abdomen at the index operation (66% vs 22%; P = 0.01) and more frequently received postoperative antifungal therapy (59% vs 25%; P = 0.001). Although the mean number of return trips to the operating room was similar between groups, non-survivors experienced a delay in achieving definitive closure (8 operations vs 3 operations; P = 0.03) and were more likely to have an open abdomen at their final operation (41% vs 0%; P < 0.001). On the other hand, survivors were more likely to achieve fascial and skin closure at the index operation (74% vs 38%; P = 0.01) (Table 2).

Outcomes and complications of survivors vs non-survivors

In the postoperative period, non-survivors were more likely to be admitted to the ICU (100% vs 55%; P < 0.001), be treated with vasopressors (93% vs 43%; P < 0.001), and be treated for SBP (31% vs 12%; P = 0.03) than survivors. Non-survivors were more likely to undergo an unplanned operative intervention; however, this did not reach statistical significance (45% vs 26%; P = 0.07). Non-survivors were also more likely to be on HD/CRRT at the end of the hospital course (31% vs 5%; P < 0.001) and experience any non-surgical complication (97% vs 57%; P < 0.001) compared to survivors. This included sepsis (79% vs 31%; P < 0.001) and AKI (83% vs 40%; P < 0.001). Non-survivors experienced a longer ICU length of stay (21 days vs 10 days; P = 0.02) and spent more days on the ventilator (9 days vs 6 days; P = 0.008) (Table 3). Non-survivors had a higher MELD at the time of discharge/death (33 vs 11; P < 0.001) than survivors. On average, non-survivors experienced a 3-point increase in MELD, whereas survivors experienced a 2-point decrease in MELD (P < 0.001) (Table 3).

Table 3 Postoperative management, complications, and outcomes of survivors vs non-survivors (n = 94), n (%)/mean ± SD.

Survivors (n = 65)
Non-survivors (n = 29)
P value
Postoperative management
ICU admission36 (55)29 (100)< 0.001
Vasopressors28 (43)27 (93)< 0.001
Treatment for SBP8 (12)9 (31)0.03
HD/CRRT3 (5)9 (31)< 0.001
Unplanned operative intervention17 (26)13 (45)0.07
Surgical complications23 (35)5 (17)0.08
Skin dehiscence3 (56)1 (8)0.75
Fascial dehiscence4 (7)1 (6)0.98
Surgical site infection7 (11)2 (7)0.56
Superficial or deep/incisional hematoma0 (0)2 (7)0.03
Intra-abdominal hematoma7 (11)6 (21)0.20
Need for IR intervention14 (22)5 (17)0.63
Non-surgical complications37 (57)28 (97)< 0.001
Bacteremia13 (20)10 (35)0.12
Sepsis20 (31)23 (79)< 0.001
Urinary tract infection4 (6)3 (10)0.48
VTE/PE3 (5)1 (3)0.80
Myocardial infarction0 (0)1 (3)0.13
Arrhythmia4 (6)6 (21)0.04
AKI26 (40)24 (83)< 0.001
Pulmonary effusions9 (14)11 (38)0.01
Pneumonia8 (12)10 (35)0.01
Heart failure6 (9)7 (24)0.05
Postoperative outcomes
Hospital LOS24 ± 2732 ± 240.93
ICU LOS10 ± 1521 ± 290.02
Ventilator days6 ± 1223 ± 90.008
MELD at day of discharge/death, median (IQR)11 (8-16)33 (21-37)< 0.001
Change in MELD score, median (IQR)-2 (-4 to 0)3 (0-9)< 0.001
Discharge disposition< 0.001
Home36 (55)0 (0)
Rehabilitation/skilled nursing facility27 (42)0 (0)
Hospice2 (3)0 (0)
Changes in MELD score distribution in the perioperative period

Figure 3 illustrates the pathways of change in MELD score category leading to in-hospital mortality. Of the 14 patients whose MELD worsened, 13 (93%) died. Among patients with MELD 20-29 on the day of surgery, all 8 patients who had a worsening in MELD category died. Five who had no change in the MELD category died. All 8 who improved, survived. All 11 patients whose MELD worsened to ≥ 30, regardless of their initial MELD category, died. A total of 7%, 19%, 57%, 80%, and 100% of patients with MELD 6-9, 10-19, 20-29, 30-39, and > 40 on the day of surgery, respectively, died prior to discharge. Based on final MELD alone, 3% of patients with MELD 6-9, 16% of patients with MELD 10-19, 39% with MELD 20-29, and 100% with MELD 30-39 or MELD ≥ 40 at the end of their hospital course died.

Figure 3
Figure 3 Pathways of change in model for end-stage liver disease scores from day of surgery to discharge/death and associated in-hospital mortality. MELD: Model for end-stage liver disease.
Components of worsening MELD scores

Changes in MELD components among the 11 patients whose MELD category worsened to ≥ 30 were assessed to identify which components primarily drove the worsening MELD score. Total bilirubin worsened from a median of 2.5 (1.6-6.5) mg/dL to 9.9 (5.9-16.3) mg/dL (P = 0.005). INR worsened from a median of 2.2 (1.7-2.7) to 3.0 (2.1-3.6) (P = 0.046). Excluding patients on HD/CRRT (n = 7), creatinine worsened from a median of 1.5 (1.2-3.3) mg/dL to 2.6 (1.2-3.0) mg/dL (P = 0.047) (Figure 4).

Figure 4
Figure 4 Change in model for end-stage liver disease score components among patients whose model for end-stage liver disease category worsened to ≥ 30 (n = 11). INR: International normalized ratio.
Factors independently associated with in-hospital mortality and postoperative surgical complications in the cohort of patients with cirrhosis undergoing EGSP

After adjusting for clinical and statistically significant confounders, the variables independently associated with in-hospital mortality were MELD at discharge/death (odds ratio [OR]: 1.25, 95% confidence interval [CI]: 1.09-1.44) and preoperative vasopressor use (OR: 18.3, 95%CI: 2.88-116) (Table 4). The variables associated with surgical complications included open abdomen at the final operation (OR: 8.36, 95%CI: 1.11-62), total number of operations performed prior to final closure, where each additional operation contributing to the total number of operations throughout admission was associated with a 8.21 times greater risk of surgical complications (OR: 8.21, 95%CI: 3.10-22), and the use of postoperative diuretics (OR: 8.53, 95%CI: 2.00-39) (Table 4).

Table 4 Independent predictors of in-hospital mortality and surgical complications across the entire cohort.
Outcome
OR
95%CI
P value
Mortality1
MELD at discharge/death1.251.09-1.440.002
Vasopressors at index operation18.32.88-1160.002
Surgical complications2
Final closure: Open abdomen8.361.11-620.039
Total number of operations8.213.10-22< 0.001
Postoperative diuretic use8.532.00-390.006
DISCUSSION

To the best of our knowledge, our study is one of the few to assess the in-hospital mortality rate and identify risk factors for in-hospital mortality in patients with cirrhosis undergoing abdominal EGSP. In our cohort, MELD at discharge/death and postoperative vasopressor use are independently associated with in-hospital mortality. Postoperative MELD trajectory also aligned with outcomes, with higher mortality among patients whose MELD increased and improved survival among those whose MELD decreased. These findings suggest that dynamic, postoperative changes in organ dysfunction may refine in-hospital mortality risk stratification beyond admission or day-of-surgery MELD alone.

The in-hospital mortality rate in our cohort was 31%. Early reports of emergent abdominal surgery in patients with cirrhosis described high mortality, including the 51% rate reported by Mansour et al[25] in 92 patients over 12 years, despite a relatively small proportion of CP C disease. Subsequent studies have reported substantial variability in mortality across eras, institutions, and case mixes. For example, Farnsworth et al[20] reported 21% 90-day mortality in a small United States Veterans Affairs cohort, whereas Neeff et al[18] reported 47% perioperative mortality in 138 cases at a single center in Germany. Havens et al[[19] reported 25% in-hospital mortality and 30.1% 90-day mortality in 707 cases from two centers. More contemporary cohorts continue to demonstrate wide ranges, including 21% 90-day mortality in a national United States Veterans Affairs sample[26] and 16% 90-day mortality in a more recent single-center European cohort[27], while smaller modern cohorts with high illness severity have reported markedly higher mortality[28]. Collectively, these data highlight the sensitivity of outcomes to baseline liver disease severity, physiologic derangement, operative indication, and differences in inclusion criteria and definitions of emergent surgery.

Our cohort included a higher proportion of advanced cirrhosis (31% CP C) and was restricted to intra-abdominal and abdominal wall EGS operations, whereas several prior studies have included nonabdominal procedures. This narrower surgical scope, combined with high baseline illness severity, may contribute to our observed mortality rate and provides added granularity for this specific operative subset. Compared with Havens et al[19], our slightly higher in-hospital mortality may also reflect differences in case capture and acuity. We included all patients with cirrhosis undergoing EGSP evaluated by the acute care surgery service, including those who died before ICU admission or deteriorated later during hospitalization, whereas the prior cohort focused on patients admitted to the ICU within 48 hours of surgery. Our patients also demonstrated high perioperative acuity, including frequent vasopressor use and complex operative courses.

Both MELD and CP class scores are associated with mortality after EGSP in patients with cirrhosis[12,14,16-18,20,25]. However, which score more accurately predicts in-hospital postoperative mortality in this population remains controversial[17,29]. In our cohort, MELD at death/discharge was independently associated with in-hospital mortality, suggesting that MELD score may be a more reliable prognostic tool than CP class in this setting. This may reflect key differences in construct and perioperative reliability: MELD incorporates serum creatinine, capturing renal dysfunction, a well-established risk factor for poor EGSP outcomes[30-32], whereas CP relies in part on ascites and encephalopathy, which may fluctuate significantly in the perioperative period due to sepsis, the etiology of intra-abdominal pathology, resuscitation, medications, or sedation. As a result, these components may be less reliable indicators of surgical risk in the acute setting.

MELD score at the time of discharge/death demonstrated a greater predictive value for in-hospital mortality than MELD measured at admission or on the day of surgery. This is likely due to postoperative MELD reflecting not only baseline hepatic reserve but also the cumulative burden of perioperative stress, sepsis, septic shock, physiologic deterioration, and postoperative complications frequently encountered in the EGS setting.

Stratification by MELD category at multiple points in the hospital course revealed clear trends in survival/mortality risk. Patients with MELD scores < 20 on the day of discharge/death experienced relatively low mortality, consistent with prior literature[12,14,18,33]. Conversely, patients with MELD ≥ 30 at discharge/death experienced universally poor outcomes, reinforcing the grave prognosis associated with this threshold in the postoperative setting[12,34,35]. In total, 93% of all patients whose MELD category worsened postoperatively died, emphasizing the importance of postoperative MELD trajectory.

The association between MELD score trajectory and mortality in our cohort aligns with prior reports of improved survival among patients in the ICU whose MELD decreased within 48 hours after EGSP[19]. Our findings further refine risk stratification within this high-risk group by suggesting that patients with a day-of-surgery MELD of 20-29 have heterogeneous outcomes: Some improved and survived, whereas others deteriorated and died, particularly those whose MELD rose to ≥ 30. These data highlight the importance of close monitoring and early postoperative optimization in patients with intermediate MELD scores, as this subgroup may be especially vulnerable to clinical deterioration after EGSP[12,34].

Among patients whose MELD worsened to ≥ 30, total bilirubin and creatinine demonstrated greater magnitudes of change and contributed more toward worsening MELD scores than INR. Total bilirubin can rise in the setting of both hepatic and renal dysfunction, suggesting that worsening renal function may have contributed to postoperative MELD increases through multiple pathways. This postoperative bilirubin increase is not expected to be substantially mitigated by standard HD/CRRT. By contrast, creatinine trajectories may be influenced by perioperative supportive therapies commonly used for cirrhosis-associated renal dysfunction, including albumin administration for suspected hepatorenal physiology and initiation of HD/CRRT, which can lower serum creatinine independent of intrinsic renal recovery. Thus, these component trajectories should be interpreted in the context of perioperative renal support. Among the 11 patients whose MELD worsened to ≥ 30, four were started on HD/CRRT and 5 received albumin within the first 48 hours after surgery. These therapies also serve as clinical markers of high-risk postoperative renal deterioration in cirrhotic patients, reinforcing that the observed MELD worsening likely reflects clinically significant organ dysfunction rather than isolated laboratory variation. Prior work in trauma patients with cirrhosis has similarly linked MELD-associated mortality to changes in renal function[36]. AKI in our population is likely multifactorial, reflecting both cirrhosis-related mechanisms such as hepatorenal physiology and the systemic stressors of emergency surgery and critical illness, including sepsis, shock, and labile hemodynamics[37].

Preoperative vasopressor use was also independently associated with in-hospital mortality. Vasopressors are commonly administered to manage perioperative septic shock in patients with EGS undergoing urgent or emergent operative intervention[38,39]. Their use likely reflects a critical state of illness rather than serving as a direct cause of mortality. In our cohort, patients who did not survive typically presented with more severe pathophysiology, underwent more complex surgical procedures, and experienced a higher burden of surgical and non-surgical complications, reflecting a persistently critical illness throughout their hospital course.

Not undergoing primary fascial closure at the final operation and an increase in the number of return trips to the operating room were associated with an increased risk of experiencing postoperative surgical complications. This is not completely unexpected as the open abdomen has been well established to be associated with coagulopathy, bleeding complications, and infectious complications, such as wound infections, intra-abdominal abscesses, and bacteremia[40-44].

Postoperative diuretics demonstrated the strongest association with postoperative surgical complications. This association may be due to the administration of diuretics to patients with ascites, since ascites is a known risk factor for surgical wound dehiscence[45,46]. Recent guidelines from the American Association for the Surgery of Trauma describe the loss of ascites fluid during and after abdominal surgery as akin to paracentesis-induced circulatory dysfunction[9], which should theoretically be managed with albumin replacement[47,48]. Prior to 2022, our acute care surgery team relied on surgical drains and immediate initiation of postoperative diuretics to control ascites. However, patients continued to experience ascites-related complications. Since 2022, our practice has transitioned to the routine placement of surgical drains, a regimented suctioning protocol for emptying drains of ascitic fluid, and repletion of fluid losses with albumin and normal saline. Once drain output decreases, patients start diuretics for several days before the drains are removed. Thus far anecdotally, we have observed a decrease in rates of fascial dehiscence, and data collection is ongoing to formally study the utility of this new strategy in reducing ascites-related surgical complications[49,50].

Limitations

The retrospective, single-center design of this study limits the external validity of our results and generalizability to other settings. As a quaternary care center, our cohort likely reflects higher acuity and more complex pathology than other settings. A priori power analysis was not performed because of limited prior data and the relative infrequency of EGSP in patients with cirrhosis, which may have limited power to detect some associations. The retrospective design and temporal relationships of variables precludes causal inference; thus, identified risk factors, including final MELD at discharge/death, which occurs at the same timepoint as in-hospital mortality, should be interpreted as associated with in-hospital mortality. The heterogeneity of EGS indications and procedures may limit procedure-specific inferences. Despite multivariable adjustment, residual confounding may remain.

CONCLUSION

MELD score at discharge/death was more strongly associated with in-hospital mortality than MELD on the day of surgery or admission. Postoperative MELD trajectory further aligned with prognosis, with worsening MELD associated with higher in-hospital mortality and MELD improvement associated with survival in our cohort. These findings suggest that assessment of in-hospital mortality risk in patients with cirrhosis undergoing EGSP may benefit from incorporating serial MELD measurements rather than relying only on the preoperative MELD score. Worsening MELD was primarily driven by bilirubin and creatinine, highlighting the importance of targeted postoperative strategies to mitigate hepatic and renal dysfunction.

References
1.  Morris SM, Abbas N, Osei-Bordom DC, Bach SP, Tripathi D, Rajoriya N. Cirrhosis and non-hepatic surgery in 2023 - a precision medicine approach. Expert Rev Gastroenterol Hepatol. 2023;17:155-173.  [RCA]  [PubMed]  [DOI]  [Full Text]  [Cited by in Crossref: 5]  [Cited by in RCA: 6]  [Article Influence: 2.0]  [Reference Citation Analysis (0)]
2.  de Goede B, Klitsie PJ, Lange JF, Metselaar HJ, Kazemier G. Morbidity and mortality related to non-hepatic surgery in patients with liver cirrhosis: a systematic review. Best Pract Res Clin Gastroenterol. 2012;26:47-59.  [RCA]  [PubMed]  [DOI]  [Full Text]  [Cited by in Crossref: 103]  [Cited by in RCA: 78]  [Article Influence: 5.6]  [Reference Citation Analysis (0)]
3.  Zhang L, Brennan K, Flemming JA, Nanji S, Djerboua M, Merchant SJ, Caycedo-Marulanda A, Patel SV. Emergency Colorectal Surgery in Those with Cirrhosis: A Population-based Study Assessing Practice Patterns, Outcomes and Predictors of Mortality. J Can Assoc Gastroenterol. 2024;7:160-168.  [RCA]  [PubMed]  [DOI]  [Full Text]  [Full Text (PDF)]  [Cited by in RCA: 1]  [Reference Citation Analysis (0)]
4.  Newman KL, Johnson KM, Cornia PB, Wu P, Itani K, Ioannou GN. Perioperative Evaluation and Management of Patients With Cirrhosis: Risk Assessment, Surgical Outcomes, and Future Directions. Clin Gastroenterol Hepatol. 2020;18:2398-2414.e3.  [RCA]  [PubMed]  [DOI]  [Full Text]  [Cited by in Crossref: 49]  [Cited by in RCA: 69]  [Article Influence: 11.5]  [Reference Citation Analysis (0)]
5.  Gray SH, Vick CC, Graham LA, Finan KR, Neumayer LA, Hawn MT. Umbilical herniorrhapy in cirrhosis: improved outcomes with elective repair. J Gastrointest Surg. 2008;12:675-681.  [RCA]  [PubMed]  [DOI]  [Full Text]  [Cited by in Crossref: 74]  [Cited by in RCA: 57]  [Article Influence: 3.2]  [Reference Citation Analysis (0)]
6.  Andraus W, Pinheiro RS, Lai Q, Haddad LBP, Nacif LS, D'Albuquerque LAC, Lerut J. Abdominal wall hernia in cirrhotic patients: emergency surgery results in higher morbidity and mortality. BMC Surg. 2015;15:65.  [RCA]  [PubMed]  [DOI]  [Full Text]  [Full Text (PDF)]  [Cited by in Crossref: 55]  [Cited by in RCA: 44]  [Article Influence: 4.0]  [Reference Citation Analysis (1)]
7.  Ziser A, Plevak DJ, Wiesner RH, Rakela J, Offord KP, Brown DL. Morbidity and mortality in cirrhotic patients undergoing anesthesia and surgery. Anesthesiology. 1999;90:42-53.  [RCA]  [PubMed]  [DOI]  [Full Text]  [Cited by in Crossref: 293]  [Cited by in RCA: 224]  [Article Influence: 8.3]  [Reference Citation Analysis (2)]
8.  Hackl C, Schlitt HJ, Renner P, Lang SA. Liver surgery in cirrhosis and portal hypertension. World J Gastroenterol. 2016;22:2725-2735.  [RCA]  [PubMed]  [DOI]  [Full Text]  [Full Text (PDF)]  [Cited by in CrossRef: 59]  [Cited by in RCA: 71]  [Article Influence: 7.1]  [Reference Citation Analysis (0)]
9.  Seshadri A, Appelbaum R, Carmichael SP 2nd, Cuschieri J, Hoth J, Kaups KL, Kodadek L, Kutcher ME, Pathak A, Rappold J, Rudnick SR, Michetti CP. Management of Decompensated Cirrhosis in the Surgical ICU: an American Association for the Surgery of Trauma Critical Care Committee Clinical Consensus Document. Trauma Surg Acute Care Open. 2022;7:e000936.  [RCA]  [PubMed]  [DOI]  [Full Text]  [Full Text (PDF)]  [Cited by in Crossref: 1]  [Cited by in RCA: 4]  [Article Influence: 1.0]  [Reference Citation Analysis (0)]
10.  Millwala F, Nguyen GC, Thuluvath PJ. Outcomes of patients with cirrhosis undergoing non-hepatic surgery: risk assessment and management. World J Gastroenterol. 2007;13:4056-4063.  [PubMed]  [DOI]  [Full Text]
11.  Kaltenbach MG, Mahmud N. Assessing the risk of surgery in patients with cirrhosis. Hepatol Commun. 2023;7:e0086.  [RCA]  [PubMed]  [DOI]  [Full Text]  [Cited by in Crossref: 40]  [Cited by in RCA: 35]  [Article Influence: 11.7]  [Reference Citation Analysis (0)]
12.  Teh SH, Nagorney DM, Stevens SR, Offord KP, Therneau TM, Plevak DJ, Talwalkar JA, Kim WR, Kamath PS. Risk factors for mortality after surgery in patients with cirrhosis. Gastroenterology. 2007;132:1261-1269.  [RCA]  [PubMed]  [DOI]  [Full Text]  [Cited by in Crossref: 490]  [Cited by in RCA: 372]  [Article Influence: 19.6]  [Reference Citation Analysis (0)]
13.  Jackson FC, Christophersen EB, Peternel WW, Kirimli B. Preoperative management of patients with liver disease. Surg Clin North Am. 1968;48:907-930.  [RCA]  [PubMed]  [DOI]  [Full Text]  [Cited by in Crossref: 20]  [Cited by in RCA: 14]  [Article Influence: 0.2]  [Reference Citation Analysis (0)]
14.  Northup PG, Wanamaker RC, Lee VD, Adams RB, Berg CL. Model for End-Stage Liver Disease (MELD) predicts nontransplant surgical mortality in patients with cirrhosis. Ann Surg. 2005;242:244-251.  [RCA]  [PubMed]  [DOI]  [Full Text]  [Cited by in Crossref: 243]  [Cited by in RCA: 236]  [Article Influence: 11.2]  [Reference Citation Analysis (0)]
15.  Lopez-Delgado JC, Ballus J, Esteve F, Betancur-Zambrano NL, Corral-Velez V, Mañez R, Betbese AJ, Roncal JA, Javierre C. Outcomes of abdominal surgery in patients with liver cirrhosis. World J Gastroenterol. 2016;22:2657-2667.  [RCA]  [PubMed]  [DOI]  [Full Text]  [Full Text (PDF)]  [Cited by in CrossRef: 52]  [Cited by in RCA: 62]  [Article Influence: 6.2]  [Reference Citation Analysis (0)]
16.  Befeler AS, Palmer DE, Hoffman M, Longo W, Solomon H, Di Bisceglie AM. The safety of intra-abdominal surgery in patients with cirrhosis: model for end-stage liver disease score is superior to Child-Turcotte-Pugh classification in predicting outcome. Arch Surg. 2005;140:650-4; discussion 655.  [RCA]  [PubMed]  [DOI]  [Full Text]  [Cited by in Crossref: 193]  [Cited by in RCA: 158]  [Article Influence: 7.5]  [Reference Citation Analysis (0)]
17.  Hoteit MA, Ghazale AH, Bain AJ, Rosenberg ES, Easley KA, Anania FA, Rutherford RE. Model for end-stage liver disease score versus Child score in predicting the outcome of surgical procedures in patients with cirrhosis. World J Gastroenterol. 2008;14:1774-1780.  [RCA]  [PubMed]  [DOI]  [Full Text]  [Full Text (PDF)]  [Cited by in CrossRef: 57]  [Cited by in RCA: 66]  [Article Influence: 3.7]  [Reference Citation Analysis (0)]
18.  Neeff H, Mariaskin D, Spangenberg HC, Hopt UT, Makowiec F. Perioperative mortality after non-hepatic general surgery in patients with liver cirrhosis: an analysis of 138 operations in the 2000s using Child and MELD scores. J Gastrointest Surg. 2011;15:1-11.  [RCA]  [PubMed]  [DOI]  [Full Text]  [Cited by in Crossref: 139]  [Cited by in RCA: 120]  [Article Influence: 8.0]  [Reference Citation Analysis (0)]
19.  Havens JM, Columbus AB, Olufajo OA, Askari R, Salim A, Christopher KB. Association of Model for End-Stage Liver Disease Score With Mortality in Emergency General Surgery Patients. JAMA Surg. 2016;151:e160789.  [RCA]  [PubMed]  [DOI]  [Full Text]  [Cited by in Crossref: 21]  [Cited by in RCA: 21]  [Article Influence: 2.1]  [Reference Citation Analysis (0)]
20.  Farnsworth N, Fagan SP, Berger DH, Awad SS. Child-Turcotte-Pugh versus MELD score as a predictor of outcome after elective and emergent surgery in cirrhotic patients. Am J Surg. 2004;188:580-583.  [RCA]  [PubMed]  [DOI]  [Full Text]  [Cited by in Crossref: 225]  [Cited by in RCA: 179]  [Article Influence: 8.1]  [Reference Citation Analysis (0)]
21.  Bleszynski MS, Bressan AK, Joos E, Morad Hameed S, Ball CG. Acute care and emergency general surgery in patients with chronic liver disease: how can we optimize perioperative care? A review of the literature. World J Emerg Surg. 2018;13:32.  [RCA]  [PubMed]  [DOI]  [Full Text]  [Full Text (PDF)]  [Cited by in Crossref: 8]  [Cited by in RCA: 18]  [Article Influence: 2.3]  [Reference Citation Analysis (0)]
22.  Liu YB, Chen MK. Epidemiology of liver cirrhosis and associated complications: Current knowledge and future directions. World J Gastroenterol. 2022;28:5910-5930.  [PubMed]  [DOI]  [Full Text]
23.  Huang DQ, Terrault NA, Tacke F, Gluud LL, Arrese M, Bugianesi E, Loomba R. Global epidemiology of cirrhosis - aetiology, trends and predictions. Nat Rev Gastroenterol Hepatol. 2023;20:388-398.  [RCA]  [PubMed]  [DOI]  [Full Text]  [Full Text (PDF)]  [Cited by in Crossref: 666]  [Cited by in RCA: 551]  [Article Influence: 183.7]  [Reference Citation Analysis (0)]
24.  Scott JW, Olufajo OA, Brat GA, Rose JA, Zogg CK, Haider AH, Salim A, Havens JM. Use of National Burden to Define Operative Emergency General Surgery. JAMA Surg. 2016;151:e160480.  [RCA]  [PubMed]  [DOI]  [Full Text]  [Cited by in Crossref: 280]  [Cited by in RCA: 382]  [Article Influence: 38.2]  [Reference Citation Analysis (0)]
25.  Mansour A, Watson W, Shayani V, Pickleman J. Abdominal operations in patients with cirrhosis: still a major surgical challenge. Surgery. 1997;122:730-5; discussion 735.  [RCA]  [PubMed]  [DOI]  [Full Text]  [Cited by in Crossref: 329]  [Cited by in RCA: 242]  [Article Influence: 8.3]  [Reference Citation Analysis (0)]
26.  Johnson KM, Newman KL, Green PK, Berry K, Cornia PB, Wu P, Beste LA, Itani K, Harris AHS, Kamath PS, Ioannou GN. Incidence and Risk Factors of Postoperative Mortality and Morbidity After Elective Versus Emergent Abdominal Surgery in a National Sample of 8193 Patients With Cirrhosis. Ann Surg. 2021;274:e345-e354.  [RCA]  [PubMed]  [DOI]  [Full Text]  [Cited by in Crossref: 15]  [Cited by in RCA: 39]  [Article Influence: 7.8]  [Reference Citation Analysis (0)]
27.  Canillas L, Pelegrina A, León FW, Salis A, Colominas-González E, Caro A, Sánchez J, Álvarez J, Burdio F, Carrión JA. Clinical Ascites and Emergency Procedure as Determinants of Surgical Risk in Patients with Advanced Chronic Liver Disease. J Clin Med. 2025;14:1077.  [RCA]  [PubMed]  [DOI]  [Full Text]  [Cited by in RCA: 1]  [Reference Citation Analysis (0)]
28.  Skovsen AP, Jensen TK, Gögenur I, Tolstrup MB. A high rate of mortality in liver cirrhosis patients after emergency abdominal surgery. Eur J Trauma Emerg Surg. 2025;51:117.  [RCA]  [PubMed]  [DOI]  [Full Text]  [Full Text (PDF)]  [Cited by in RCA: 1]  [Reference Citation Analysis (0)]
29.  Singal AK, Kamath PS. Model for End-stage Liver Disease. J Clin Exp Hepatol. 2013;3:50-60.  [RCA]  [PubMed]  [DOI]  [Full Text]  [Full Text (PDF)]  [Cited by in Crossref: 144]  [Cited by in RCA: 131]  [Article Influence: 10.1]  [Reference Citation Analysis (2)]
30.  Briggs A, Havens JM, Salim A, Christopher KB. Acute kidney injury predicts mortality in emergency general surgery patients. Am J Surg. 2018;216:420-426.  [RCA]  [PubMed]  [DOI]  [Full Text]  [Cited by in Crossref: 9]  [Cited by in RCA: 15]  [Article Influence: 1.9]  [Reference Citation Analysis (0)]
31.  Mikkelsen TB, Schack A, Oreskov JO, Gögenur I, Burcharth J, Ekeloef S. Acute kidney injury following major emergency abdominal surgery - a retrospective cohort study based on medical records data. BMC Nephrol. 2022;23:94.  [RCA]  [PubMed]  [DOI]  [Full Text]  [Full Text (PDF)]  [Cited by in Crossref: 4]  [Cited by in RCA: 11]  [Article Influence: 2.8]  [Reference Citation Analysis (0)]
32.  Akinbami F, Askari R, Steinberg J, Panizales M, Rogers SO Jr. Factors affecting morbidity in emergency general surgery. Am J Surg. 2011;201:456-462.  [RCA]  [PubMed]  [DOI]  [Full Text]  [Cited by in Crossref: 57]  [Cited by in RCA: 67]  [Article Influence: 4.5]  [Reference Citation Analysis (0)]
33.  Telem DA, Schiano T, Goldstone R, Han DK, Buch KE, Chin EH, Nguyen SQ, Divino CM. Factors that predict outcome of abdominal operations in patients with advanced cirrhosis. Clin Gastroenterol Hepatol. 2010;8:451-457, quiz e58.  [RCA]  [PubMed]  [DOI]  [Full Text]  [Cited by in Crossref: 116]  [Cited by in RCA: 90]  [Article Influence: 5.6]  [Reference Citation Analysis (0)]
34.  Hickman L, Tanner L, Christein J, Vickers S. Non-Hepatic Abdominal Surgery in Patients with Cirrhotic Liver Disease. J Gastrointest Surg. 2019;23:634-642.  [RCA]  [PubMed]  [DOI]  [Full Text]  [Full Text (PDF)]  [Cited by in Crossref: 17]  [Cited by in RCA: 21]  [Article Influence: 3.0]  [Reference Citation Analysis (0)]
35.  Lai CC, Tseng KL, Ho CH, Chiang SR, Chan KS, Chao CM, Hsing SC, Cheng KC, Chen CM. Outcome of liver cirrhosis patients requiring prolonged mechanical ventilation. Sci Rep. 2020;10:4980.  [RCA]  [PubMed]  [DOI]  [Full Text]  [Full Text (PDF)]  [Cited by in Crossref: 3]  [Cited by in RCA: 8]  [Article Influence: 1.3]  [Reference Citation Analysis (0)]
36.  Peetz A, Salim A, Askari R, De Moya MA, Olufajo OA, Simon TG, Gibbons FK, Christopher KB. Association of Model for End-Stage Liver Disease Score and Mortality in Trauma Patients With Chronic Liver Disease. JAMA Surg. 2016;151:41-48.  [RCA]  [PubMed]  [DOI]  [Full Text]  [Cited by in Crossref: 4]  [Cited by in RCA: 4]  [Article Influence: 0.4]  [Reference Citation Analysis (0)]
37.  Nadim MK, Garcia-Tsao G. Acute Kidney Injury in Patients with Cirrhosis. N Engl J Med. 2023;388:733-745.  [RCA]  [PubMed]  [DOI]  [Full Text]  [Cited by in Crossref: 150]  [Cited by in RCA: 126]  [Article Influence: 42.0]  [Reference Citation Analysis (1)]
38.  Boyer N, Eldridge J, Prowle JR, Forni LG. Postoperative Acute Kidney Injury. Clin J Am Soc Nephrol. 2022;17:1535-1545.  [RCA]  [PubMed]  [DOI]  [Full Text]  [Cited by in Crossref: 12]  [Cited by in RCA: 96]  [Article Influence: 24.0]  [Reference Citation Analysis (0)]
39.  Prowle JR, Forni LG, Bell M, Chew MS, Edwards M, Grams ME, Grocott MPW, Liu KD, McIlroy D, Murray PT, Ostermann M, Zarbock A, Bagshaw SM, Bartz R, Bell S, Bihorac A, Gan TJ, Hobson CE, Joannidis M, Koyner JL, Levett DZH, Mehta RL, Miller TE, Mythen MG, Nadim MK, Pearse RM, Rimmele T, Ronco C, Shaw AD, Kellum JA. Postoperative acute kidney injury in adult non-cardiac surgery: joint consensus report of the Acute Disease Quality Initiative and PeriOperative Quality Initiative. Nat Rev Nephrol. 2021;17:605-618.  [RCA]  [PubMed]  [DOI]  [Full Text]  [Full Text (PDF)]  [Cited by in Crossref: 39]  [Cited by in RCA: 193]  [Article Influence: 38.6]  [Reference Citation Analysis (0)]
40.  Manolopoulos PP, Boutsikos I, Boutsikos P, Iacovidou N, Ekmektzoglou K. Current use and advances in vasopressors and inotropes support in shock. J Emerg Crit Care Med. 2020;4:20.  [PubMed]  [DOI]  [Full Text]
41.  Russell JA, Gordon AC, Williams MD, Boyd JH, Walley KR, Kissoon N. Vasopressor Therapy in the Intensive Care Unit. Semin Respir Crit Care Med. 2021;42:59-77.  [RCA]  [PubMed]  [DOI]  [Full Text]  [Cited by in Crossref: 11]  [Cited by in RCA: 47]  [Article Influence: 7.8]  [Reference Citation Analysis (0)]
42.  Chabot E, Nirula R. Open abdomen critical care management principles: resuscitation, fluid balance, nutrition, and ventilator management. Trauma Surg Acute Care Open. 2017;2:e000063.  [RCA]  [PubMed]  [DOI]  [Full Text]  [Full Text (PDF)]  [Cited by in Crossref: 28]  [Cited by in RCA: 32]  [Article Influence: 3.6]  [Reference Citation Analysis (0)]
43.  Coccolini F, Kluger Y, Ansaloni L, Moore EE, Coimbra R, Fraga GP, Kirkpatrick A, Peitzman A, Maier R, Baiocchi G, Agnoletti V, Gamberini E, Leppaniemi A, Ivatury R, Sugrue M, Sartelli M, Di Saverio S, Biffl W, Catena F. WSES worldwide emergency general surgery formation and evaluation project. World J Emerg Surg. 2018;13:13.  [RCA]  [PubMed]  [DOI]  [Full Text]  [Full Text (PDF)]  [Cited by in Crossref: 32]  [Cited by in RCA: 20]  [Article Influence: 2.5]  [Reference Citation Analysis (0)]
44.  Roberts DJ, Leppäniemi A, Tolonen M, Mentula P, Björck M, Kirkpatrick AW, Sugrue M, Pereira BM, Petersson U, Coccolini F, Latifi R. The open abdomen in trauma, acute care, and vascular and endovascular surgery: comprehensive, expert, narrative review. BJS Open. 2023;7:zrad084.  [RCA]  [PubMed]  [DOI]  [Full Text]  [Full Text (PDF)]  [Cited by in RCA: 22]  [Reference Citation Analysis (0)]
45.  Demetriades D. Total management of the open abdomen. Int Wound J. 2012;9 Suppl 1:17-24.  [RCA]  [PubMed]  [DOI]  [Full Text]  [Cited by in Crossref: 58]  [Cited by in RCA: 49]  [Article Influence: 3.5]  [Reference Citation Analysis (0)]
46.  Diaz JJ Jr, Cullinane DC, Dutton WD, Jerome R, Bagdonas R, Bilaniuk JW, Collier BR, Como JJ, Cumming J, Griffen M, Gunter OL, Kirby J, Lottenburg L, Mowery N, Riordan WP Jr, Martin N, Platz J, Stassen N, Winston ES. The management of the open abdomen in trauma and emergency general surgery: part 1-damage control. J Trauma. 2010;68:1425-1438.  [RCA]  [PubMed]  [DOI]  [Full Text]  [Cited by in Crossref: 117]  [Cited by in RCA: 84]  [Article Influence: 5.3]  [Reference Citation Analysis (0)]
47.  van Ramshorst GH, Nieuwenhuizen J, Hop WC, Arends P, Boom J, Jeekel J, Lange JF. Abdominal wound dehiscence in adults: development and validation of a risk model. World J Surg. 2010;34:20-27.  [RCA]  [PubMed]  [DOI]  [Full Text]  [Full Text (PDF)]  [Cited by in Crossref: 218]  [Cited by in RCA: 172]  [Article Influence: 10.8]  [Reference Citation Analysis (0)]
48.  Webster C, Neumayer L, Smout R, Horn S, Daley J, Henderson W, Khuri S; National Veterans Affairs Surgical Quality Improvement Program. Prognostic models of abdominal wound dehiscence after laparotomy. J Surg Res. 2003;109:130-137.  [RCA]  [PubMed]  [DOI]  [Full Text]  [Cited by in Crossref: 122]  [Cited by in RCA: 98]  [Article Influence: 4.3]  [Reference Citation Analysis (0)]
49.  Aithal GP, Palaniyappan N, China L, Härmälä S, Macken L, Ryan JM, Wilkes EA, Moore K, Leithead JA, Hayes PC, O'Brien AJ, Verma S. Guidelines on the management of ascites in cirrhosis. Gut. 2021;70:9-29.  [RCA]  [PubMed]  [DOI]  [Full Text]  [Full Text (PDF)]  [Cited by in Crossref: 328]  [Cited by in RCA: 288]  [Article Influence: 57.6]  [Reference Citation Analysis (1)]
50.  Shrestha DB, Budhathoki P, Sedhai YR, Baniya R, Awal S, Yadav J, Awal L, Davis B, Kashiouris MG, Cable CA. Safety and efficacy of human serum albumin treatment in patients with cirrhotic ascites undergoing paracentesis: A systematic review and meta-analysis. Ann Hepatol. 2021;26:100547.  [RCA]  [PubMed]  [DOI]  [Full Text]  [Cited by in Crossref: 19]  [Cited by in RCA: 18]  [Article Influence: 3.6]  [Reference Citation Analysis (0)]
Footnotes

Peer review: Externally peer reviewed.

Peer-review model: Single blind

Specialty type: Gastroenterology and hepatology

Country of origin: United States

Peer-review report’s classification

Scientific quality: Grade B, Grade B, Grade D

Novelty: Grade A, Grade C, Grade C

Creativity or innovation: Grade B, Grade C, Grade C

Scientific significance: Grade C, Grade C, Grade D

P-Reviewer: El Tawil AI, Principal Investigator, Brazil; Giacomelli L, PhD, Italy S-Editor: Hu XY L-Editor: Filipodia P-Editor: Lei YY

Write to the Help Desk