Copyright: ©Author(s) 2026.
World J Hepatol. Mar 27, 2026; 18(3): 112934
Published online Mar 27, 2026. doi: 10.4254/wjh.v18.i3.112934
Published online Mar 27, 2026. doi: 10.4254/wjh.v18.i3.112934
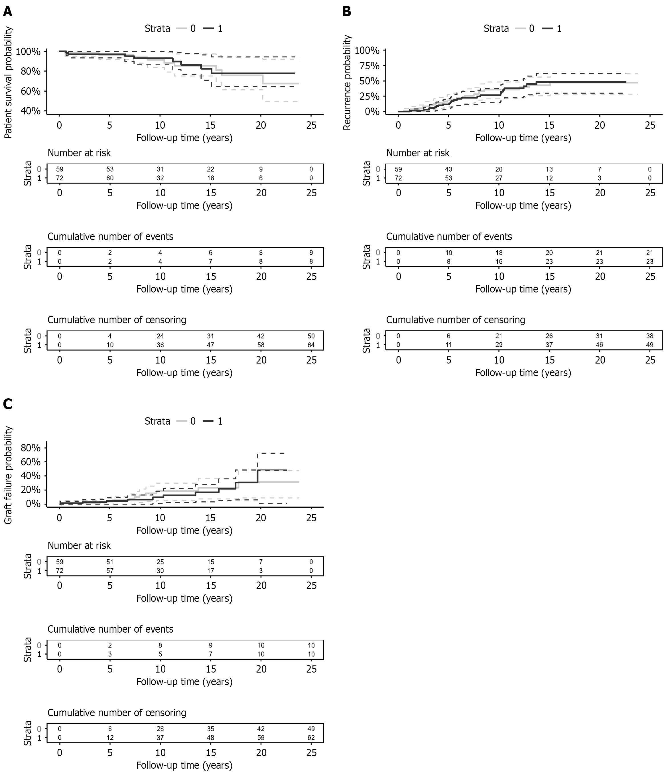
Figure 1 Overall survival, recurrent primary sclerosing cholangitis, and graft failure following liver transplant in primary sclerosing cholangitis patients with end-stage liver disease vs non-end-stage liver disease indications.
A: Overall survival following liver transplant in patients with primary sclerosing cholangitis. Intergroup differences were not significant (P = 0.78, log-rank test); B: Occurrence of recurrent primary sclerosing cholangitis following liver transplant in patients with primary sclerosing cholangitis. Intergroup differences were not significant (P = 0.78, log-rank test); C: Occurrence of graft failure following liver transplant in primary sclerosing cholangitis patients with primary sclerosing cholangitis. Intergroup differences were not significant (P = 0.878, log-rank test). 1: End-stage liver disease; 0: Non-end-stage liver disease.
- Citation: Hlavaty M, Brezina J, Wohl P, Modos I, Bajer L, Fabian O, Vajsova A, Hucl T, Drastich P. Patients with primary sclerosing cholangitis with and without end-stage liver disease have similar outcomes after liver transplantation. World J Hepatol 2026; 18(3): 112934
- URL: https://www.wjgnet.com/1948-5182/full/v18/i3/112934.htm
- DOI: https://dx.doi.org/10.4254/wjh.v18.i3.112934
