Copyright
©The Author(s) 2025.
World J Stem Cells. Nov 26, 2025; 17(11): 110381
Published online Nov 26, 2025. doi: 10.4252/wjsc.v17.i11.110381
Published online Nov 26, 2025. doi: 10.4252/wjsc.v17.i11.110381
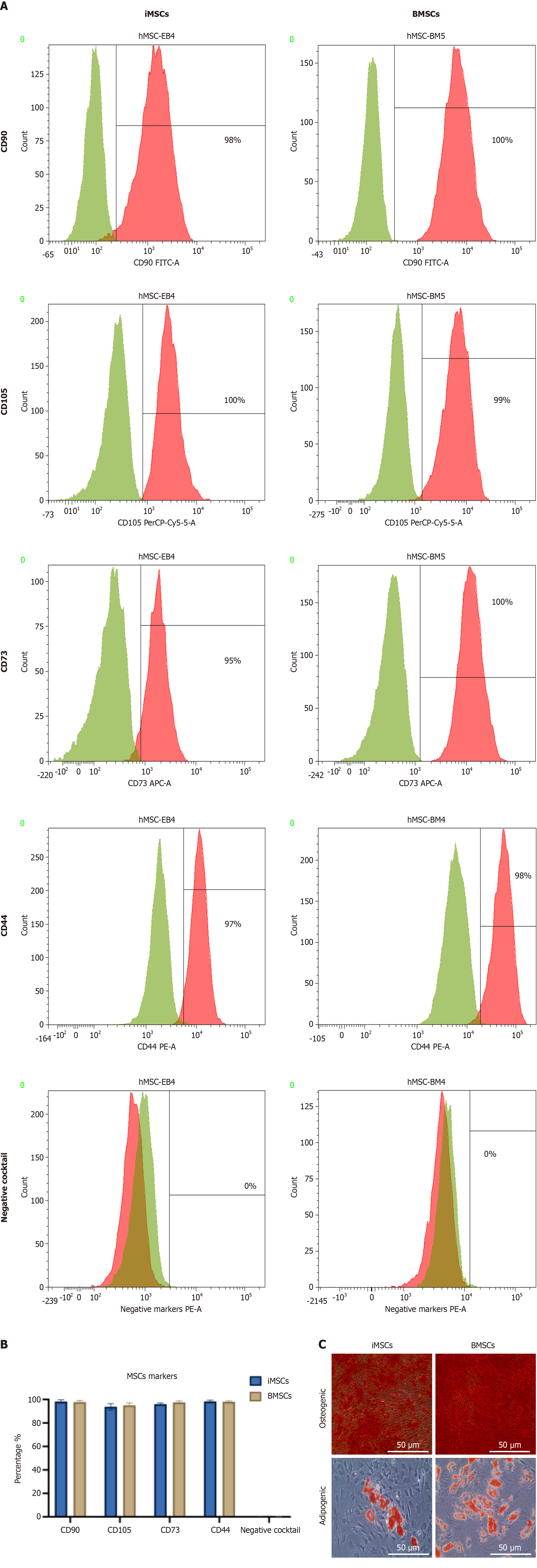
Figure 1 Characterization of induced pluripotent stem cell-derived mesenchymal stem cells and bone marrow mesenchymal stem cells.
A: Flow cytometry analysis showed the expression of mesenchymal stem cell (MSC) positive surface markers (CD90, CD105, CD73, CD44) and negative hematopoietic lineage markers (CD34, CD45, CD14, CD11b, CD79a, CD19, HLA-DR) in both induced pluripotent stem cell-derived MSCs (iMSCs) and bone marrow MSCs (BMSCs); B: Quantitative comparison of human MSC surface marker expression between iMSCs and BMSCs; C: Osteogenic and adipogenic differentiation of iMSCs and BMSCs demonstrated by Alizarin Red staining (top panels) indicating calcium deposits and Oil Red O staining (bottom panels) showing lipid droplet formation. Images of differentiated iMSC-derived cells are displayed in the lower left panels while those of BMSC-derived cells appear in the lower right panels (scale bar = 50 μm). iMSCs: Induced pluripotent stem cell-derived mesenchymal stem cells; BMSCs: Bone marrow mesenchymal stem cell; MSCs: Mesenchymal stem cells.
Figure 2 Characterization of exosomes derived from induced pluripotent stem cell-derived mesenchymal stem cells and bone marrow mesenchymal stem cells.
A: Flow cytometry analysis showing expression of tetraspanin surface markers CD9, CD81, and CD63 on exosomes using sulfate-latex bead capture; B: Quantification of surface marker expression comparing exosomes derived from induced pluripotent stem cell-derived mesenchymal stem cells (iMSC-Exos) and exosomes derived from bone marrow mesenchymal stem cells (BMSC-Exos); C: Representative transmission electron microscopy images of iMSC-Exos (left) and BMSC-Exos (right). Scale bar = 200 nm; D: Dynamic light scattering profiles depicting size distribution of iMSC-Exos (top) and BMSC-Exos (bottom); E and F: Confocal microscopy images showing uptake of DiI-labeled exosomes (red) by human dermal fibroblasts (E) and human umbilical vein endothelial cells (F). Cells were costained with 5-chloromethylfluorescein diacetate (green) for the cytoplasm and DAPI (blue) for the nuclei. Scale bar = 50 μm. iMSC-Exos: Exosomes derived from induced pluripotent stem cell-derived mesenchymal stem cells; BMSC-Exos: Exosomes derived from bone marrow mesenchymal stem cell; Exos: Exosomes; HDFs: Human dermal fibroblasts; HUVECs: Human umbilical vein endothelial cells.
Figure 3 Assessment of exosome uptake, proliferation, and apoptosis in PANC1 and MDA-MB-231 cells with exosomes derived from induced pluripotent stem cell-derived mesenchymal stem cells or bone marrow mesenchymal stem cells.
A and B: Fluorescence images showing internalization of DiI-labeled exosomes derived from induced pluripotent stem cell-derived mesenchymal stem cells and bone marrow mesenchymal stem cells by PANC1 (A) and MDA-MB-231 (B) cells after 12 hours of incubation. Red fluorescence indicates exosomes, scale bar = 50 μm; C-E: MTT assay results showing cell viability in PANC1 (C), MDA-MB-231 (D), and human dermal fibroblasts (E) following 24 hours and 48 hours of treatment with 50 μg/mL exosomes derived from induced pluripotent stem cell-derived mesenchymal stem cells or bone marrow mesenchymal stem cells; F and G: Flow cytometric analysis of apoptosis in PANC1 (F) and MDA-MB-231 (G) after 48-hour exposure to exosomes, using Annexin V-FITC/PI staining. Quadrants represent: Q1 = necrotic; Q2 = late apoptotic; Q3 = viable; and Q4 = early apoptotic cells. Data are presented as mean ± SD. aP ≤ 0.05, dP ≤ 0.0001. iMSC-Exos: Exosomes derived from induced pluripotent stem cell-derived mesenchymal stem cells; BMSC-Exos: Exosomes derived from bone marrow mesenchymal stem cell; SFM: Serum-free medium; HDF: Human dermal fibroblasts.
Figure 4 Senescence induction in PANC1 and MDA-MB-231 cells following treatment with exosomes derived from induced pluripotent stem cell-derived mesenchymal stem cells and bone marrow mesenchymal stem cells.
A: Representative images of senescence-associated beta-galactosidase (SA-βGal)-stained PANC1 cells after 48 hours of treatment. Blue staining marks SA-βGal-positive senescent cells (scale bar = 20 μm); B: Quantification of SA-βGal-positive cells expressed as a percentage of the total cell population in PANC1 cultures; C: Representative images of SA-βGal-stained MDA-MB-231 cells after 48 hours of treatment. Blue staining marks SA-βGal-positive senescent cells (scale bar = 20 μm); D: Quantification of SA-βGal-positive cells expressed as a percentage of the total cell population in MDA-MB-231 cultures. Values represent mean ± SD. aP ≤ 0.05, bP ≤ 0.01, cP ≤ 0.001, dP ≤ 0.0001. iMSC-Exos: Exosomes derived from induced pluripotent stem cell-derived mesenchymal stem cells; BMSC-Exos: Exosomes derived from bone marrow mesenchymal stem cell; SFM: Serum-free medium.
Figure 5 Invasion of PANC1 and MDA-MB-231 cells treated with exosomes.
A and B: Representative images from the scratch assay illustrating wound closure in PANC1 (A) and MDA-MB-231 (B) cells treated with induced pluripotent stem cell-derived mesenchymal stem cell-derived exosomes or bone marrow mesenchymal stem cell-derived exosomes (scale bar = 200 μm); C and D: Quantitative analysis of wound area closure was conducted at 0 hour, 9 hours, and 48 hours post-scratch for PANC1 (C) and MDA-MB-231 (D) cells. Results are presented as mean ± SD. cP ≤ 0.001, dP ≤ 0.0001. iMSC-Exos: Exosomes derived from induced pluripotent stem cell-derived mesenchymal stem cells; BMSC-Exos: Exosomes derived from bone marrow mesenchymal stem cell; SFM: Serum-free medium.
- Citation: Ababneh NA, Nashwan S, AlDiqs R, Ismail MA, Abdulelah AA, Abu-Humaidan AHA, AlQirem L, Al-Abdallat K, Al-Qaisi T, Saleh T, Awidi A. Cancer cell-dependent increase in senescence-like populations following exosome treatment from bone marrow and induced pluripotent stem cell-derived mesenchymal stem cells. World J Stem Cells 2025; 17(11): 110381
- URL: https://www.wjgnet.com/1948-0210/full/v17/i11/110381.htm
- DOI: https://dx.doi.org/10.4252/wjsc.v17.i11.110381
