修回日期: 2025-10-10
接受日期: 2025-12-17
在线出版日期: 2025-12-28
研究显示, 糖尿病、高血压等疾病中肠道菌群分布异常改变, 促进短链脂肪酸降低, 脂肪酶升高, 使糖脂代谢紊乱, 且肠道菌群紊乱还可作用于老年冠状动脉粥样硬化性心脏病(coronary atherosclerotic heart disease, CHD)进程中的代谢及免疫通路.
探讨老年CHD患者肠道菌群分布情况, 并分析其对患者预后的预测价值, 为临床诊疗提供参考.
选取2019-07/2023-06浦江县人民医院收治的200例老年CHD患者为观察组, 根据病变程度分为轻度CHD(Gensini评分≤24分, 43例)、中度CHD(Gensini评分25-49分, 71例)、重度CHD(Gensini评分≥50分, 86例), 并选择同期在我院体检的200例同年龄段健康者为对照组(排除严重心血管疾病及肝肾疾病), 比较两组肠道菌群(双歧杆菌、肠杆菌、乳杆菌、肠球菌、拟杆菌)分布情况、脂质代谢指标[甘油三酯(triglyceride, TG)、总胆固醇(total cholesterol, TC)、高密度脂蛋白胆固醇(high density lipoprotein cholesterol, HDL-C)、低密度脂蛋白胆固醇(low density lipoprotein cholesterol, LDL-C)], 分析肠道菌群与CHD病变程度、脂质代谢的关系. 老年CHD患者均随访1年, 根据是否出现不良心血管事件分为预后良好组、预后不良组. 比较不同预后CHD患者肠道菌群分布情况, 分析肠道菌群分布对老年CHD患者预后的预测价值.
观察组Shannon指数、Simpson指数、Chao1指数及Observed species均低于对照组(P<0.05); 观察组不同病变程度的双歧杆菌、乳杆菌、拟杆菌均较对照组减少, 肠杆菌、肠球菌均较对照组增加(P<0.05); 观察组不同病变程度双歧杆菌、乳杆菌、拟杆菌比较, 轻度CHD>中度CHD>重度CHD, 肠杆菌、肠球菌比较轻度CHD<中度CHD<重度CHD(P<0.05); 观察组不同病变程度HDL-C比较, 轻度CHD>中度CHD>重度CHD, LDL-C、TG、TC比较轻度CHD<中度CHD<重度CHD(P<0.05); 肠杆菌与LDL-C及CHD病变程度呈正相关, 与HDL-C呈负相关(P<0.05), 肠球菌与CHD病变程度呈正相关, 与HDL-C呈负相关(P<0.05), 双歧杆菌、乳杆菌、拟杆菌与HDL-C呈正相关, 与LDL-C、TG、TC及CHD病变程度呈负相关(P<0.05); 重度CHD患者的不良事件发生率(36.05%)高于中度(23.94%)和轻度(11.63%)CHD患者(P<0.05); 预后良好组双歧杆菌、乳杆菌、拟杆菌较预后不良组多, 肠杆菌、肠球菌较预后不良组少(P<0.01); 联合检测各肠道菌群预测老年CHD预后不良的曲线下面积为0.938(95%CI: 0.895-0.967)(P<0.01).
老年CHD患者肠道双歧杆菌、乳杆菌、拟杆菌减少, 肠杆菌、肠球菌增多, 双歧杆菌、乳杆菌、拟杆菌、肠杆菌、肠球菌异常改变与CHD病变程度及脂质代谢状态有关, 联合检测对老年CHD预后有一定预测价值.
核心提要: 我们主要去探讨老年冠状动脉粥样硬化性心脏病患者肠道菌群分布情况, 并分析其对患者预后的预测价值, 为临床诊疗提供参考.
引文著录: 金月姮, 季菲菲, 陈雷阳, 吕赛华. 老年冠状动脉粥样硬化性心脏病患者肠道菌群分布情况及预后预测价值. 世界华人消化杂志 2025; 33(12): 1005-1012
Revised: October 10, 2025
Accepted: December 17, 2025
Published online: December 28, 2025
Studies have shown that abnormal changes in the distribution of intestinal flora in diseases such as diabetes and hypertension reduce short-chain fatty acids, increase lipase, and disrupt glucose and lipid metabolism. In addition, intestinal flora disorder can also affect the metabolic and immune pathways in elderly patients with coronary heart disease (CHD).
To explore the distribution of intestinal flora in elderly patients with CHD, and to analyze its predictive value for the prognosis of these patients, in order to provide reference for clinical diagnosis and treatment.
A total of 200 elderly patients with CHD admitted to Pujiang County People's Hospital from July 2019 to June 2023 were selected as an observation group, and they were further divided into mild CHD (Gensini score ≤ 24, 43 cases), moderate CHD (Gensini score of 25-49, 71 cases), and severe CHD (Gensini score ≥ 50, 86 cases) subgroups according to the severity of the disease. At the same time, 200 healthy people of the same age in our hospital were selected as a control group (excluding severe cardiovascular disease and liver and kidney disease). The distribution of intestinal flora (Bifidobacterium, Enterobacter, Lactobacillus, Enterococcus, and Bacteroides) and lipid metabolism indexes [triglyceride (TG), total cholesterol (TC), high density lipoprotein cholesterol (HDL-C), and low density lipoprotein cholesterol (LDL-C)] were compared between the two groups, and the relationship between intestinal flora and CHD lesion degree and lipid metabolism was analyzed. All elderly CHD patients were followed for 1 year. According to whether adverse cardiovascular events occurred, they were divided into a good prognosis group and a poor prognosis group. The distribution of intestinal flora in CHD patients with different prognoses was compared, and the predictive value of intestinal flora distribution in elderly CHD patients was analyzed.
The Shannon index, Simpson index, Chao1 index, and observed species in the observation group were lower than those in the control group (P < 0.05). The levels of Bifidobacterium, Lactobacillus, and Bacteroides in the observation group were lower than those in the control group, and the levels of Enterobacter and Enterococcus were higher than those in the control group (P < 0.05). In the observation group, the abundances of Bifidobacterium, Lactobacillus and Bacteroides were inversely correlated with disease severity, being highest in mild CHD, lower in moderate CHD, and lowest in severe CHD. Conversely, the abundances of Enterobacter and Enterococcus showed a positive correlation, increasing with disease severity (P < 0.05). HDL-C levels were inversely associated with coronary lesion severity (mild CHD > moderate CHD > severe CHD), while LDL-C, TG, and TC levels showed an opposite trend, increasing significantly with disease severity (P < 0.05). Enterobacter was positively correlated with LDL-C and the severity of CHD, and negatively correlated with HDL-C (P < 0.05). Enterococcus was positively correlated with the severity of CHD, and negatively correlated with HDL-C (P < 0.05). Bifidobacterium, Lactobacillus, and Bacteroides were positively correlated with HDL-C, and negatively correlated with LDL-C, TG, TC, and the severity of CHD (P < 0.05). The incidence of adverse events in patients with severe CHD (36.05%) was higher than that in patients with moderate (23.94%) and mild (11.63%) CHD (P < 0.05). Bifidobacteria, Lactobacillus, and Bacteroides in the good prognosis group were more than those in the poor prognosis group, and Enterobacter and Enterococcus were less than those in the poor prognosis group (P < 0.01). The area under the curve of combined detection of intestinal flora in predicting poor prognosis of elderly CHD was 0.938 (95%CI: 0.895-0.967) (P < 0.01).
The number of intestinal Bifidobacteria, Lactobacilli, and Bacteroides in elderly CHD patients decreases, while the number of Enterobacter and Enterococcus increases. The abnormal changes of Bifidobacteria, Lactobacilli, Bacteroides, Enterobacter, and Enterococcus are related to the severity of CHD and lipid metabolism. Combined detection has appreciated predictive value for the prognosis of elderly CHD.
- Citation: Jin YH, Ji FF, Chen LY, Lv SH. Intestinal flora distribution and its prognostic predictive value in elderly patients with coronary heart disease. Shijie Huaren Xiaohua Zazhi 2025; 33(12): 1005-1012
- URL: https://www.wjgnet.com/1009-3079/full/v33/i12/1005.htm
- DOI: https://dx.doi.org/10.11569/wcjd.v33.i12.1005
冠状动脉粥样硬化性心脏病(coronary atherosclerotic heart disease, CHD)是老年群体中常见的心脑血管疾病, 是一种持续进展的慢性疾病[1,2]. 及时识别CHD患者中易发生不良心血管事件的高风险患者, 指导临床采取积极的干预措施至关重要. 近年临床认为CHD的发生进展与代谢机制有关, 受到肠道菌群影响; 健康情况下机体肠道菌群结构相对稳定, 可维持肠黏膜完整性, 提供机体所需的营养物质, 在代谢性疾病中通过调控能量摄取影响糖、脂等物质代谢[3,4]. 研究显示[5,6], 糖尿病、高血压等疾病中肠道菌群分布异常改变, 促进短链脂肪酸降低, 脂肪酶升高, 使糖脂代谢紊乱, 且肠道菌群紊乱还可作用于CHD进程中的代谢及免疫通路. 临床对于CHD预后预测的研究多集中在心脏结构与功能指标, 有研究结合B型利钠肽、心电图Q-T间期离散度、左心室射血分数等构建CHD患者术后主要不良心血管事件发生的预测模型[7]. 目前, 对于肠道菌群与CHD的研究较少, 特别是在老年群体中肠道菌群对预后的预测价值尚不明确. 本研究初步探究老年CHD患者肠道菌群分布情况及预后预测价值, 以期为不良心血管事件的早期预测提供参考. 现报道如下.
本研究选取2019-07/2023-06浦江县人民医院收治的老年CHD患者200例为观察组, 纳入标准: (1)符合CHD相关诊断[8]; (2)近期未服用抗生素、益生菌、促胃肠动力类药物等影响肠道菌群药物; (3)无致肠道菌群失调的其他问题; (4)无自身免疫性系统疾病. 排除标准: (1)存在消化道器质性病变; (2)近期有活动性出血、重大手术史; (3)有胃肠道手术史; (4)急性心脑血管疾病; (5)存在肝肾等重要脏器病变; (6)合并恶性肿瘤; (7)凝血功能障碍; (8)伴有精神疾病. 中断、剔除与脱落标准: (1)观察期间服用影响研究结果的药物; (2)受试者依从性差, 无法配合完成本研究; (3)观察、随访期间由于各种因素影响退出本研究. 病例中断、剔除或脱落后按照例数以1:1原则根据就诊序号重新纳入病例.
另以1:1比例选择同期在我院体检的200例同年龄段健康者为对照组(排除严重心血管疾病及肝肾疾病). 两组基线资料均衡可比(P>0.05): 对照组男131例, 女69例, 年龄60-89岁, 平均(74.22±9.39)岁, 体质量指数19-25 kg/m2, 平均(21.86±1.34) kg/m2; 观察组男119例, 女81例, 年龄60-92岁, 平均(74.73±9.24)岁, 体质量指数18-25 kg/m2, 平均(21.73±1.51) kg/m2. 本研究遵循STROBE指南, 征得医院伦理委员会同意(伦理批号: 浦人医伦快审2025论第004号), 符合《赫尔辛基宣言》要求.
1.2.1 肠道菌群检测: 受试者入组后次日清晨均用无菌勺采集1 g新鲜粪便, 将粪便样本放入无菌保存管中, 对检测合格的粪便微生物DNA样本中的16S rRNA基因V3-V4高变区进行聚合酶链式反应扩增、文库制备与质检、定量, 以设定的TAG序列区分样本. 采用IⅢlumina Hiseq 2500高通量测序技术进行测序, 获取高通量下机原始碱基序列, Q30>80%; 引物序列: 双歧杆菌F: 5'-TACTTCGTCACCAACGCTGA-3', R: 5'-CCACGGATGTTGTTCAGGAT-3', 肠杆菌F: 5'-AGTGGATCGGTCTGAATGACAGGA-3', R: 5'-AGAAGTTGTCAGGCTGGTTTGGA-3', 乳杆菌F: 5'-CACCTTCCTCCGGTTTGTCA-3', R: 5'-CGAGCGCAACCCTTATTATCA-3', 肠球菌F: 5'-CCTACGGGNGGCWGCAG-3', R: 5'-GGACTACHVGGGTATCTAAT--3', 拟杆菌, F: 5'-TCCTGCGACGCCACTGGTGT-3', R: 5'-ATACGGATCTGATACAAGAT-3'. 基于有效数据在97%相似度水平下进行OTU聚类, 对OTUs序列进行物种分类学注释. 利用Qiime 1.9.1软件分析Shannon指数、Simpson指数、Chao1指数和Observed species等肠道菌群α多样性指数.
1.2.2 脂代谢指标检测: 受试者入组后采集4 mL空腹静脉血, 使用恒温低速离心机设定RCF2500g, 离心时间10 min分离血清, 以酶比色法测定血清总胆固醇(total cholesterol, TC)、高密度脂蛋白胆固醇(high density lipoprotein cholesterol, HDL-C)、低密度脂蛋白胆固醇(low density lipoprotein cholesterol, LDL-C)、甘油三酯(triglyceride, TG).
1.2.3 CHD病变程度评估: 入院当天评估观察组Gensini评分, 进行冠脉造影检查(美国GE DISCOVERY IGS730型数字减影血管造影仪), 根据造影结果计算Gensini评分, 狭窄程度分值与位置系数相乘, 各狭窄段总分相加即为Gensini评分. 根据Gensini评分将CHD病变程度分为轻度CHD(Gensini评分≤24分, 43例)、中度CHD(Gensini评分25-49分, 71例)、重度CHD(Gensini评分≥50分, 86例)[9].
1.2.4 随访预后: 老年CHD患者出院后通过电话、微信及门诊随访1年, 根据是否出现不稳定性心绞痛、CHD性心脏病、心肌梗死、心源性死亡等不良心血管事件及全因死亡、再入院等分为预后不良组、预后良好组.
(1)比较两组肠道菌群α多样性指标; (2)比较两组及观察组不同病变程度双歧杆菌、肠杆菌、乳杆菌、肠球菌、拟杆菌等肠道菌群分布情况; (3)比较不同病变程度脂质代谢指标; (4)分析肠道菌群与CHD病变程度、脂质代谢的相关性; (5)比较不同病变程度老年CHD患者预后不良事件; (6)比较不同预后CHD患者肠道菌群分布情况; (7)分析肠道菌群分布对老年CHD患者预后的预测价值.
统计学处理 采用SPSS 27.0对数据进行分析, 计数资料以n(%)表示, 差异行χ2检验, 计量资料采取Bartlett方差齐性检验与夏皮罗-威尔克正态性检验, 均确认具备方差齐性且服从正态分布, 以(mean±SD)表示, 多组间比较以单因素方差分析, 组间两两对比采用LSD-t检验, 两组间比较采用独立样本t检验, 以Spearman/Pearson相关系数法进行相关性分析, 采用受试者工作特征(receiver operating characteristic, ROC)曲线分析肠道菌群分布对老年CHD患者预后的预测价值, 检验水准α = 0.05.
观察组Shannon指数、Simpson指数、Chao1指数及Observed species指数均低于对照组(P<0.05), 见表1.
| 组别 | 例数 | Shannon指数 | Simpson指数 | Chao1指数 | Observed species |
| 对照组 | 200 | 5.27±0.73 | 0.87±0.05 | 782.32±224.36 | 625.41±158.13 |
| 观察组 | 200 | 4.01±0.61 | 0.71±0.08 | 485.35±128.32 | 412.26±105.64 |
| t | 18.731 | 23.985 | 16.249 | 15.851 | |
| P值 | <0.001 | <0.001 | <0.001 | <0.001 |
观察组不同病变程度的双歧杆菌、乳杆菌、拟杆菌均较对照组减少, 肠杆菌、肠球菌均较对照组增加(P<0.05); 观察组不同病变程度双歧杆菌、乳杆菌、拟杆菌比较, 轻度CHD>中度CHD>重度CHD, 肠杆菌、肠球菌比较轻度CHD<中度CHD<重度CHD(P<0.05), 见表2.
| 组别 | 例数 | 双歧杆菌 | 肠杆菌 | 乳杆菌 | 肠球菌 | 拟杆菌 |
| 对照组 | 200 | 9.28±1.67 | 8.04±1.65 | 8.71±1.41 | 7.85±1.22 | 9.12±1.34 |
| 观察组 | ||||||
| 轻度CHD | 43 | 8.30±1.54a | 8.69±1.57a | 8.05±1.23a | 8.40±1.09a | 8.25±1.03a |
| 中度CHD | 71 | 6.24±1.13a,b | 9.31±1.46a,b | 6.47±1.12a,b | 9.15±1.22a,b | 7.44±1.05a,b |
| 重度CHD | 86 | 5.83±0.98a,b,c | 9.83±1.63a,b,c | 5.91±1.02a,b,c | 9.66±1.63a,b,c | 6.57±0.93a,b,c |
| F | 152.189 | 28.874 | 122.729 | 44.965 | 104.805 | |
| P值 | <0.001 | <0.001 | <0.001 | <0.001 | <0.001 |
观察组不同病变程度HDL-C比较, 轻度CHD>中度CHD>重度CHD, LDL-C、TG、TC比较轻度CHD<中度CHD<重度CHD(P<0.05), 见表3.
肠杆菌、肠球菌与CHD病变程度(赋值方式: 轻度CHD=1, 中度CHD = 2, 重度CHD = 3)呈正相关(r = 0.611、0.589, P<0.05), 双歧杆菌、乳杆菌、拟杆菌与CHD病变程度呈负相关(r = -0.603、-0.592、-0.577, P<0.05). 经Pearson相关系数法分析, 双歧杆菌、乳杆菌、拟杆菌与HDL-C呈正相关, 与LDL-C、TG、TC呈负相关(P<0.05), 肠杆菌与LDL-C呈正相关, 与HDL-C呈负相关(P<0.05), 肠球菌与HDL-C呈负相关(P<0.05), 见表4.
| 肠道菌群 | HDL-C | LDL-C | TG | TC | ||||
| r | P值 | r | P值 | r | P值 | r | P值 | |
| 双歧杆菌 | 0.402 | <0.05 | -0.312 | <0.05 | -0.294 | <0.05 | -0.368 | <0.05 |
| 肠杆菌 | -0.152 | <0.05 | 0.156 | <0.05 | 0.006 | 0.937 | 0.117 | 0.099 |
| 乳杆菌 | 0.408 | <0.05 | -0.236 | <0.05 | -0.335 | <0.05 | -0.333 | <0.05 |
| 肠球菌 | -0.223 | <0.05 | 0.123 | 0.082 | 0.107 | 0.130 | 0.138 | 0.050 |
| 拟杆菌 | 0.367 | <0.05 | -0.275 | <0.05 | -0.294 | <0.05 | -0.330 | <0.05 |
对200例老年CHD患者随访1年, 共有53例(26.5%)发生不良心血管事件(预后不良组). 重度CHD患者的不良事件发生率高于中度和轻度CHD患者(P<0.05), 见表5.
| CHD病变程度 | 例数 | 预后不良例数 | 预后不良发生率(%) |
| 轻度CHD | 43 | 5 | 11.63 |
| 中度CHD | 71 | 17 | 23.94 |
| 重度CHD | 86 | 31 | 36.05 |
| χ2 | 9.145 | ||
| P值 | 0.010 | ||
预后良好组双歧杆菌、乳杆菌、拟杆菌较预后不良组多, 肠杆菌、肠球菌较预后不良组少(P<0.01), 见表6.
| 组别 | 例数 | 双歧杆菌 | 肠杆菌 | 乳杆菌 | 肠球菌 | 拟杆菌 |
| 预后良好组 | 147 | 6.72±1.47 | 9.11±1.33 | 6.89±1.26 | 8.84±1.23 | 7.51±1.16 |
| 预后不良组 | 53 | 5.32±0.81 | 10.72±1.08 | 5.24±0.80 | 10.69±1.25 | 6.28±0.88 |
| t | 6.576 | -7.918 | 8.901 | -9.347 | 7.021 | |
| P值 | <0.01 | <0.01 | <0.01 | <0.01 | <0.01 |
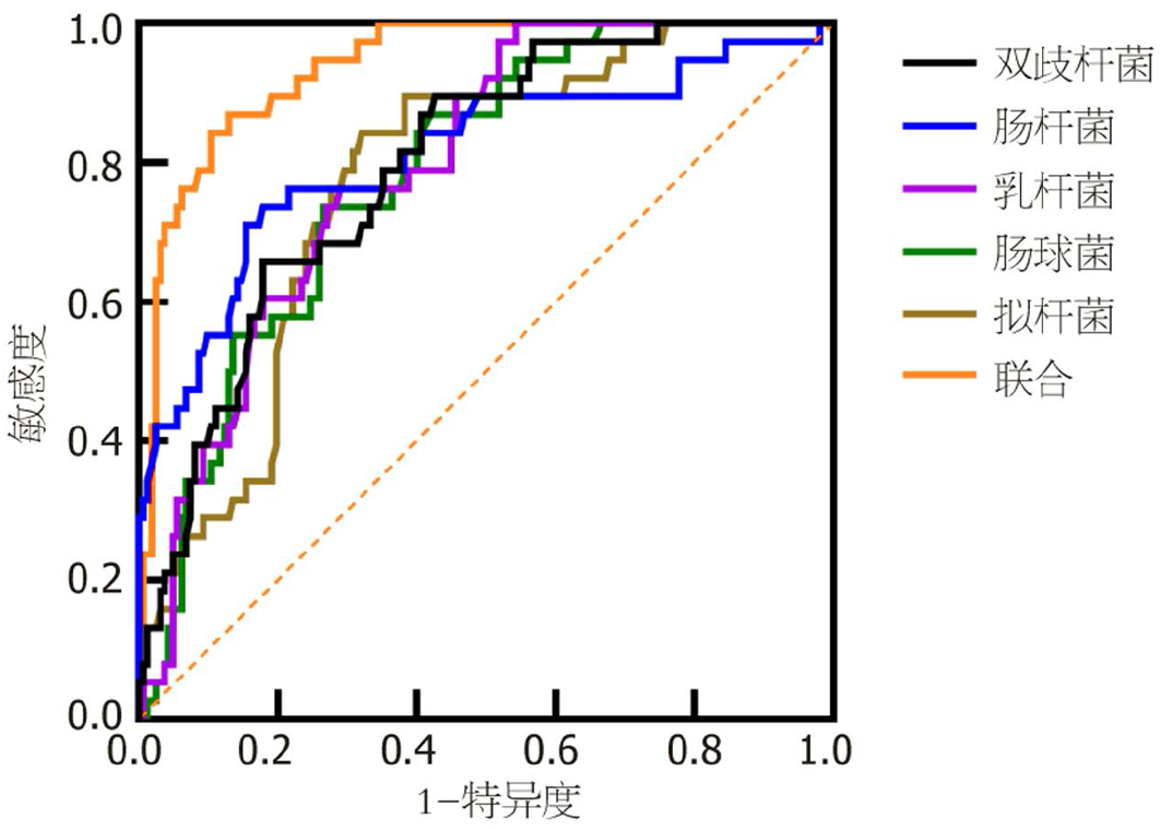
以预后不良老年CHD为阳性样本, 预后良好老年CHD患者为阴性样本, 绘制肠道菌群预测老年CHD预后的ROC曲线, 结果显示联合检测各肠道菌群对老年CHD预后不良有较高预测价值, 联合预测的曲线下面积(area under the curve, AUC)为0.938(P<0.01). 见表7、图1.
| 指标 | AUC | 95%CI | 截断值 | 敏感度 | 特异度 | P值 |
| 双歧杆菌 | 0.795 | 0.732-0.849 | 6.26 lgCFU/g | 0.658 | 0.821 | <0.01 |
| 肠杆菌 | 0.811 | 0.749-0.862 | 9.15 lgCFU/g | 0.735 | 0.821 | <0.01 |
| 乳杆菌 | 0.794 | 0.731-0.848 | 6.40 lgCFU/g | 0.763 | 0.710 | <0.01 |
| 肠球菌 | 0.784 | 0.720-0.839 | 9.48 lgCFU/g | 0.737 | 0.735 | <0.01 |
| 拟杆菌 | 0.774 | 0.710-0.830 | 9.76 lgCFU/g | 0.842 | 0.679 | <0.01 |
| 联合 | 0.938 | 0.895-0.967 | - | 0.868 | 0.870 | <0.01 |
CHD是一种常见的动脉疾病, 病情持续进展可导致心肌缺血、缺氧或坏死, 易引起冠心病、心肌梗死等疾病[10,11]. 临床认为CHD受到高血压、高脂血症等多种因素影响[12,13]. 肠道各菌类可参与食物消化、营养物质吸收等肠道生理活动, 还可影响肠道微生态、机体免疫及代谢状态, 近年来肠道菌群变化逐渐受到临床重视.
有研究指出[14-16], 在2型糖尿病等代谢紊乱疾病中肠道益生菌、致病菌中可影响肠道内分泌细胞, 发挥调节机体免疫力、糖脂代谢的作用, 进而促进或抑制病理改变. 肠道菌群可调控肠道屏障、参与维生素合成、激活免疫系统, 肠道菌群分布异常与病原体侵害、多种疾病的发生有关[17]. 本研究显示观察组Chao1指数及Observed species降低, 表明老年CHD患者肠道内的细菌物种总数、丰富度减少, 且观察组Shannon指数、Simpson指数低于对照组, 表明菌群内物种分布的均匀性下降, 可能有致病菌过度增殖成为了优势菌, 肠道菌群稳定性、抵抗力降低. 上述结果表明老年CHD患者存在整体性的肠道菌群结构紊乱. 为了进一步探究其具体的菌群构成变化, 本研究对几类特定菌属进行分析, 结果显示, 观察组不同病变程度的双歧杆菌、乳杆菌、拟杆菌均较对照组减少, 肠杆菌、肠球菌均较对照组增加, 这一结果反映老年CHD患者存在一定程度肠道菌群失衡情况. 观察组不同病变程度肠道菌群分布失衡程度有显著差异, 其中双歧杆菌、乳杆菌、拟杆菌随着CHD病变程度加重呈降低趋势, 肠杆菌、肠球菌则随着CHD病变进展而逐渐升高. 分析各肠道菌群在CHD发生进展中的作用, 其中肠球菌、肠杆菌属致病菌, 此类菌群分布增多可破坏肠道保护屏障, 造成肠道内致病菌过度增加, 刺激肠道内毒素分泌, 并进入外周循环释放炎性细胞因子, 引发炎症反应[17-19]. 乳杆菌、双歧杆菌、拟杆菌属益生菌, 有研究表明乳杆菌、双歧杆菌等作为益生菌在脂肪性肝病、糖尿病等代谢性疾病防治、糖脂代谢水平调节中有重要作用[20,21]. 牛尚梅等[22]报道显示, 冠心病患者糖、脂代谢与肠道菌群显著相关. 拟杆菌、双歧杆菌、乳杆菌可直接作用于肠道上皮, 抑制致病菌生长, 调节肠道生态、菌群分布, 维持肠道内环境及稳定. 另外, 研究表明[23,24], 肠道菌群的代谢产物氧化三甲胺可通过促进促炎症细胞因子、细胞热休克蛋白表达, 上调血浆胆固醇、巨噬细胞清道夫受体水平, 等促进CHD形成、斑块生长, 参与CHD病情发展过程, 可能是影响老年CHD患者预后的作用机制之一.
本研究结果显示, 肠杆菌与LDL-C及CHD病变程度呈正相关, 与HDL-C呈负相关, 肠球菌与CHD病变程度呈正相关, 与HDL-C呈负相关, 双歧杆菌、乳杆菌、拟杆菌与HDL-C呈正相关, 与LDL-C、TG、TC及CHD病变程度呈负相关; 且重度CHD患者的不良事件发生率高于中度和轻度CHD患者, 另外预后不良组肠道菌群分布失衡较预后良好组更为明显. 上述结果说明肠道菌群分布改变可影响老年CHD患者机体血脂代谢水平, 与CHD病情进展有关. 考虑可能由于肠道菌群紊乱导致氧化三甲胺、粪甾烷醇、胆汁酸等代谢物生成增多, 影响脂质循环, 进而影响CHD机体血脂代谢状态[25,26]. 肠道益生菌减少可造成肠道代谢紊乱, 增加老年CHD患者代谢负担, 促进CHD发展.
门莉等[27]基于动态心电图定量参数建立模型预测CHD术后主要不良心血管事件, 康路等[28]联合经胸超声心动图定量参数与心室重塑相关血清指标预测CHD患者预后, 其预测模型的AUC为均达0.9以上. 与上述研究相比, 本研究聚焦肠道菌群这一新型生物标志物, 探讨其在老年CHD患者预后预测中的价值, ROC曲线分析显示, 联合检测各肠道菌群预测老年CHD患者预后不良的AUC达0.9以上, 敏感度、特异度较高, 对患者预后有较高预测效能, 与基于基因组学的预测模型相当, 且优于部分传统的临床指标, 或将为CHD临床治疗提供新思路. 然而, 肠道菌群检测的复杂性可能限制其临床推广应用, 未来研究可考虑将肠道菌群指标与传统临床指标相结合, 比较不同模型的应用价值, 进一步探讨不同指标对老年CHD预后的预测效能, 建立更简便、高效的预测模型, 在临床实践中为医生提供有效的风险分层依据.
综上所述, 老年CHD患者肠道菌群紊乱, 双歧杆菌、乳杆菌、拟杆菌减少, 肠杆菌、肠球菌增多, 检测双歧杆菌、乳杆菌、拟杆菌、肠杆菌、肠球菌分布改变可一定程度反映CHD病变程度及脂质代谢状态, 有利于预测老年CHD预后. 但本研究随访时间较短, 可能影响统计效力, 有待未来研究中延长随访时间, 进一步研究证实.
研究显示, 糖尿病、高血压等疾病中肠道菌群分布异常改变, 促进短链脂肪酸降低, 脂肪酶升高, 使糖脂代谢紊乱, 且肠道菌群紊乱还可作用于冠状动脉粥样硬化性心脏病(coronary atherosclerotic heart disease, CHD)进程中的代谢及免疫通路.
临床对于CHD预后预测的研究多集中在心脏结构与功能指标. 目前, 对于肠道菌群与CHD的研究较少, 特别是在老年群体中肠道菌群对预后的预测价值尚不明确.
探讨老年CHD患者肠道菌群分布情况, 并分析其对患者预后的预测价值, 为临床诊疗提供参考.
选取200例老年CHD患者为观察组, 200例同年龄段健康者为对照组, 比较两组肠道菌群, 分析肠道菌群与CHD病变程度、脂质代谢的关系. 分析肠道菌群分布对老年CHD患者预后的预测价值.
观察组肠道菌群多样性及物种数均显著低于对照组. 双歧杆菌、乳杆菌、拟杆菌随CHD病变程度加重而减少, 肠杆菌、肠球菌则增加. 这些菌群与血脂指标及CHD病变程度显著相关. 联合检测肠道菌群预测CHD预后不良的曲线下面积达0.938.
老年CHD患者肠道双歧杆菌、乳杆菌、拟杆菌减少, 肠杆菌、肠球菌增多, 双歧杆菌、乳杆菌、拟杆菌、肠杆菌、肠球菌异常改变与CHD病变程度及脂质代谢状态有关, 联合检测对老年CHD预后有一定预测价值.
本研究不良心血管事件的早期预测提供参考. 促进CHD发展. 建立更简便、高效的预测模型, 在临床实践中为医生提供有效的风险分层依据.
学科分类: 胃肠病学和肝病学
手稿来源地: 浙江省
同行评议报告学术质量分类
A级 (优秀): A
B级 (非常好): B
C级 (良好): C, C, C
D级 (一般): D
E级 (差): 0
科学编辑: 刘继红 制作编辑:张砚梁
| 3. | 张 慧, 杨 勇江, 肖 珊, 白 一锋, 贾 鸳鸯, 靳 春荣. 冠心病病人肠道菌群代谢物与冠状动脉血流储备的关系探讨. 中西医结合心脑血管病杂志. 2024;22:884-887. |
| 4. | Gagnon E, Mitchell PL, Manikpurage HD, Abner E, Taba N, Esko T, Ghodsian N, Thériault S, Mathieu P, Arsenault BJ. Impact of the gut microbiota and associated metabolites on cardiometabolic traits, chronic diseases and human longevity: a Mendelian randomization study. J Transl Med. 2023;21:60. [PubMed] [DOI] |
| 5. | 王 宇航, 贾 晓静, 郭 莉, 刑 园园, 李 皓楠, 许 鹏. 肠道菌群调控对冠状动脉粥样硬化性心脏病患者经皮冠脉介入术后不良心血管事件发生率的影响. 中国临床医生杂志. 2024;52:310-313. [DOI] |
| 6. | Gawałko M, Agbaedeng TA, Saljic A, Müller DN, Wilck N, Schnabel R, Penders J, Rienstra M, van Gelder I, Jespersen T, Schotten U, Crijns HJGM, Kalman JM, Sanders P, Nattel S, Dobrev D, Linz D. Gut microbiota, dysbiosis and atrial fibrillation. Arrhythmogenic mechanisms and potential clinical implications. Cardiovasc Res. 2022;118:2415-2427. [PubMed] [DOI] |
| 7. | 桂 元, 蒋 毅, 詹 继东, 黄 沁, 张 祎, 张 静. 冠心病患者经皮冠状动脉介入术后主要不良心血管事件发生的影响因素及列线图模型的构建. 中国心血管病研究. 2025;23:29-34. [DOI] |
| 9. | 于 倩, 陈 茵茵, 赵 晴, 赵 林亚. 非传统血脂参数对老年冠心病患者冠状动脉病变程度的临床预测价值. 中国循证心血管医学杂志. 2024;16:806-809. [DOI] |
| 10. | Sagris M, Theofilis P, Antonopoulos AS, Oikonomou E, Paschaliori C, Galiatsatos N, Tsioufis K, Tousoulis D. Inflammation in Coronary Microvascular Dysfunction. Int J Mol Sci. 2021;22:13471. [PubMed] [DOI] |
| 11. | Li J, Dong Z, Wu H, Liu Y, Chen Y, Li S, Zhang Y, Qi X, Wei L. The triglyceride-glucose index is associated with atherosclerosis in patients with symptomatic coronary artery disease, regardless of diabetes mellitus and hyperlipidaemia. Cardiovasc Diabetol. 2023;22:224. [PubMed] [DOI] |
| 12. | Medina-Leyte DJ, Zepeda-García O, Domínguez-Pérez M, González-Garrido A, Villarreal-Molina T, Jacobo-Albavera L. Endothelial Dysfunction, Inflammation and Coronary Artery Disease:Potential Biomarkers and Promising Therapeutical Approaches. Int J Mol Sci. 2021;22:3850. [PubMed] [DOI] |
| 13. | Bergström G, Persson M, Adiels M, Björnson E, Bonander C, Ahlström H, Alfredsson J, Angerås O, Berglund G, Blomberg A, Brandberg J, Börjesson M, Cederlund K, de Faire U, Duvernoy O, Ekblom Ö, Engström G, Engvall JE, Fagman E, Eriksson M, Erlinge D, Fagerberg B, Flinck A, Gonçalves I, Hagström E, Hjelmgren O, Lind L, Lindberg E, Lindqvist P, Ljungberg J, Magnusson M, Mannila M, Markstad H, Mohammad MA, Nystrom FH, Ostenfeld E, Persson A, Rosengren A, Sandström A, Själander A, Sköld MC, Sundström J, Swahn E, Söderberg S, Torén K, Östgren CJ, Jernberg T. Prevalence of Subclinical Coronary Artery Atherosclerosis in the General Population. Circulation. 2021;144:916-929. [PubMed] [DOI] |
| 14. | 王 奕, 王 志方, 刘 志强, 张 晓光. 血尿酸与肠道菌群在不同严重程度冠心病患者中的关系. 中国循证心血管医学杂志. 2023;15:183-187, 192. [DOI] |
| 16. | Iatcu CO, Steen A, Covasa M. Gut Microbiota and Complications of Type-2 Diabetes. Nutrients. 2021;14:166. [PubMed] [DOI] |
| 17. | Wastyk HC, Fragiadakis GK, Perelman D, Dahan D, Merrill BD, Yu FB, Topf M, Gonzalez CG, Van Treuren W, Han S, Robinson JL, Elias JE, Sonnenburg ED, Gardner CD, Sonnenburg JL. Gut-microbiota-targeted diets modulate human immune status. Cell. 2021;184:4137-4153. [PubMed] [DOI] |
| 18. | Walker GK, Yustyniuk V, Shamoun J, Jacob ME, Correa M, Vaden SL, Borst LB. Detection of Escherichia coli and Enterococcus spp.in dogs with polymicrobial urinary tract infections: A 5-year retrospective study. J Vet Intern Med. 2022;36:1322-1329. [PubMed] [DOI] |
| 19. | Piccioni A, de Cunzo T, Valletta F, Covino M, Rinninella E, Raoul P, Zanza C, Mele MC, Franceschi F. Gut Microbiota and Environment in Coronary Artery Disease. Int J Environ Res Public Health. 2021;18:4242. [PubMed] [DOI] |
| 20. | 易 默, 吕 飒美, 张 健, 何 瑜, 刘 倩, 史 丽萍. 双歧杆菌乳杆菌三联活菌片联合多烯磷脂酰胆碱对非酒精性脂肪性肝病患者糖脂代谢水平及血清层黏连蛋白、TGF-β1水平的影响. 胃肠病学和肝病学杂志. 2022;31:1108-1112. [DOI] |
| 23. | Thomas MS, Fernandez ML. Trimethylamine N-Oxide (TMAO), Diet and Cardiovascular Disease. Curr Atheroscler Rep. 2021;23:12. [PubMed] [DOI] |
| 25. | Nakajima A, Mitomo S, Yuki H, Araki M, Seegers LM, McNulty I, Lee H, Kuter D, Ishibashi M, Kobayashi K, Dijkstra J, Onishi H, Yabushita H, Matsuoka S, Kawamoto H, Watanabe Y, Tanaka K, Chou S, Naganuma T, Okutsu M, Tahara S, Kurita N, Nakamura S, Das S, Nakamura S, Jang IK. Gut Microbiota and Coronary Plaque Characteristics. J Am Heart Assoc. 2022;11:26036. [PubMed] [DOI] |
| 26. | Hu XM, Li HY, Zhao XY, Zhou R, Liu H, Sun Y, Fan Y, Shi Y, Qiao S, Liu S, Liu H, Zhang S. Multi-omics study reveals that statin therapy is associated with restoration of gut microbiota homeostasis and improvement in outcomes in patients with acute coronary syndrome. Theranostics. 2021;11:5778-5793. [PubMed] [DOI] |
