修回日期: 2025-10-07
接受日期: 2025-11-05
在线出版日期: 2025-11-28
肝动脉化疗栓塞术(transcatheter arterial chemoembolization, TACE)是中晚期肝细胞癌的主要治疗手段, 但术后自我护理能力不足可能影响康复进程. 本研究基于Orem理论, 提出自护模式可显著提升TACE患者自我效能、自护能力、生存质量, 改善肝功能.
探讨基于Orem理论的自护模式对肝癌介入治疗患者自我效能、自护能力、生存质量及肝功能的影响.
前瞻性选取2023-12/2025-03在舟山市普陀区人民医院行肝癌介入治疗患者100例, 采用随机数字表法分为观察组(n = 50)和对照组(n = 50). 对照组给予常规护理干预, 观察组在对照组基础上采用基于Orem理论的自护模式进行干预. 比较两组患者自我效能感(general self-efficacy scale, GSES)评分、自我护理能力(exercise of self-care agency scale, ESCA)评分、生存质量癌症患者生命质量测定量表体系肝癌量表(quality of life instruments for cancer patients-liver cancer, QLICP-LI)评分、心理状态[焦虑自评量表(self-rating anxiety scale, SAS)和抑郁自评量表(self-rating depression scale, SDS)评分]、肝功能指标[丙氨酸氨基转移酶(alanine aminotransferase, ALT)、门冬氨酸氨基转移酶(aspartate aminotransferase, AST)]、前白蛋白(prealbumin, PA)和甲胎蛋白(alpha fetoprotein, AFP)水平及并发症发生情况.
干预后, 观察组GSES评分(32.47±4.21分 vs 28.13±3.82分)、ESCA评分(151.34±13.72分 vs 132.52±15.43分)、QLICP-LI评分(170.04±14.22分 vs 128.07±13.55分)均高于对照组(t = 6.258、6.241、15.678, 均P<0.001), 且观察组ESCA(自我概念、健康知识、自护责任感、自护技能)、QLICP-LI(躯体功能、心理功能、社会功能、共性症状及副作用、肝癌特异模块)各维度评分均高于对照组(均P<0.001). 观察组SAS评分(40.23±3.61分 vs 46.85±4.12分)、SDS评分(39.54±3.23分 vs 45.92±3.81分)均低于对照组(t = 7.558、8.326, 均P<0.001). 观察组ALT(42.35±8.12 U/L vs 60.53±10.24 U/L)、AST(48.72±9.31 U/L vs 68.64±11.35 U/L)、AFP(80.53±35.44 ng/mL vs 140.80±45.70 ng/mL)均低于对照组(t = 9.354、10.288、7.930, 均P<0.001), PA(180.53±25.42 mg/L vs 152.35±20.76 mg/L)高于对照组(t = 7.568, P<0.001). 观察组并发症发生率(4.00% vs 18.00%)低于对照组(χ2 = 5.005, P = 0.025).
基于Orem理论的自护模式可显著提升肝癌介入治疗患者的自我效能、自护能力及生存质量, 缓解心理压力, 改善肝功能和营养状态, 并降低并发症风险.
核心提要: 原发性肝癌是全球范围内高发的恶性肿瘤之一, 其发病率和死亡率居恶性肿瘤前列. 肝动脉化疗栓塞术(transcatheter arterial chemoembolization, TACE)作为中晚期肝癌的重要介入治疗手段, 通过阻断肿瘤血供并局部释放化疗药物, 显著延长了患者的生存期. 但TACE术后常伴随栓塞后综合征、肝功能损伤及骨髓抑制等并发症, 且患者术后自我护理能力不足可能影响康复效果. 基于Orem理论的自护模式通过系统化护理干预增强患者的自我护理能力, 从而改善患者预后. 本研究旨在通过构建基于Orem理论的自护模式, 并系统评估其对TACE术后患者自我效能、自我护理能力、生存质量及肝功能等指标的影响, 为优化肝癌介入治疗患者全周期管理提供循证依据.
引文著录: 庄代红, 孙佳娜, 王少儿, 张璐. 赋能式自护模式对肝癌介入治疗患者自我效能和生存质量的影响. 世界华人消化杂志 2025; 33(11): 891-901
Revised: October 7, 2025
Accepted: November 5, 2025
Published online: November 28, 2025
Transcatheter arterial chemoembolization (TACE) is the main treatment method for advanced hepatocellular carcinoma. However, insufficient self-care ability after surgery may affect recovery. Based on the Orem theory, this study proposes that the self-care model can significantly enhance self-efficacy, self-care ability, and quality of life and improve liver function in patients after TACE for liver cancer.
To investigate the impact of self-care model guided by the Orem theory on self-efficacy, self-care ability, quality of life, and liver function in liver cancer patients undergoing interventional therapy.
One hundred liver cancer patients who underwent interventional therapy at Putuo District People's Hospital of Zhoushan from December 2023 to March 2025 were prospectively selected and randomly divided into an observation group (n = 50) and a control group (n = 50) using the random number table method. Both groups received routine nursing intervention, and the observation group additionally received self-care intervention guided by the Orem theory. The general self-efficacy scale (GSES) score, exercise of self-care agency scale (ESCA) score, quality of life instruments for cancer patients-liver cancer (QLICP-LI) score, psychological status [self-rating anxiety scale (SAS) and self-rating depression scale (SDS) scores], liver function indicators [alanine aminotransferase (ALT) and aspartate aminotransferase (AST)], prealbumin (PA) and alpha fetoprotein (AFP) levels, and incidence of complications were compared between the two groups.
After intervention, GSES score (32.47 ± 4.21 points vs 28.13 ± 3.82 points), ESCA score (151.34 ± 13.72 points vs 132.52 ± 15.43 points), and QLICP-LI score (170.04 ± 14.22 points vs 128.07 ± 13.55 points) in the observation group were significantly higher than those of the control group (t = 6.258, 6.241, and 15.678, respectively, all P < 0.001); ESCA score (self-concept, health knowledge, self-care responsibility, and self-care skills) and QLICP-LI score (physical function, psychological function, social function, common symptoms and side effects, and liver cancer specific module) in the observation group were significantly higher than those of the control group (both P < 0.001); SAS score (40.23 ± 3.61 points vs 46.85 ± 4.12 points) and SDS score (39.54 ± 3.23 points vs 45.92 ± 3.81 points) in the observation group were sginficantly lower than those of the control group (t = 7.558 and 8.326, , respectively, both P < 0.001); ALT (42.35 ± 8.12 U/L vs 60.53 ± 10.24 U/L), AST (48.72 ± 9.31 U/L vs 68.64 ± 11.35 U/L), and AFP (80.53 ± 35.44 ng/mL vs 140.80 ± 45.70 ng/mL) in the observation group were significantly lower than those of the control group (t = 9.354, 10.288, and 7.930, respectively, all P < 0.001); and PA (180.53 ± 25.42 mg/L vs 152.35 ± 20.76 mg/L) was significantly higher in the observation group than in the control group (t = 7.568, P < 0.001). The incidence of complications in the observation group (4.00% vs 18.00%) was significantly lower than that of the control group (χ2 = 5.005, P = 0.025).
The self-care model guided by Orem theory can significantly enhance self-efficacy, self-care ability, and quality of life among patients undergoing interventional therapy for liver cancer, alleviate psychological pressure, improve liver function and nutritional status, and reduce the risk of complications.
- Citation: Zhuang DH, Sun JN, Wang SE, Zhang L. Impact of enabling self-care model on self-efficacy and quality of life among liver cancer patients undergoing interventional therapy. Shijie Huaren Xiaohua Zazhi 2025; 33(11): 891-901
- URL: https://www.wjgnet.com/1009-3079/full/v33/i11/891.htm
- DOI: https://dx.doi.org/10.11569/wcjd.v33.i11.891
原发性肝癌(primary liver cancer, PLC)是全球范围内高发的恶性肿瘤之一, 其发病率和死亡率居恶性肿瘤前列[1]. 据流行病学统计数据显示, 全球每年约70万新发肝癌病例中, 中国肝癌发病人数约占全球50%, 且中国PLC的发病率和死亡率分别位居恶性肿瘤第4位和第2位[2]. 这一现状与肝癌起病隐匿、早期症状不典型密切相关, 而慢性乙型肝炎、黄曲霉毒素暴露及酒精性肝病等高危因素的广泛存在, 进一步加剧了疾病负担[3]. 尽管外科手术仍是早期肝癌的首选治疗方式, 但多数患者确诊时已进入中晚期, 失去根治性手术机会. 肝动脉化疗栓塞术(transcatheter arterial chemoembolization, TACE)作为中晚期肝癌的重要介入治疗手段, 通过阻断肿瘤血供并局部释放化疗药物, 显著延长了患者的生存期[4,5]. 但是, TACE术后常伴随栓塞后综合征、肝功能损伤及骨髓抑制等并发症, 且患者术后自我护理能力不足可能影响康复效果[6]. 因此, 优化术后护理模式对提升患者生活质量至关重要. 近年来, 基于Orem理论的自护模式在慢性病和肿瘤等疾病护理中展现出显著优势[7,8]. Orem理论强调通过系统化护理干预增强患者的自我护理能力, 从而改善患者预后. 基于此, 本研究旨在通过构建基于Orem理论的自护模式, 并系统评估其对TACE术后患者自我效能、自我护理能力、生存质量及肝功能等指标的影响, 为优化肝癌介入治疗患者全周期管理提供循证依据.
前瞻性选取2023-12/2025-03在本院行肝癌介入治疗患者100例为研究对象. 纳入标准: (1)符合《原发性肝癌诊疗指南》中原发性肝癌的诊断标准, 并通过病理学、影像学等检查确诊[9]; (2)符合TACE适应证且在本院接受TACE治疗[10]; (3)年龄18-75岁; (4)患者及家属均知情同意并签署知情同意书. 排除标准: (1)合并肝外转移、门静脉主干癌栓、肝衰竭; (2)合并严重主要脏器功能不全、凝血功能障碍等; (3)合并精神疾病史、认知功能障碍. 采用随机数字表法将纳入患者分为观察组(n = 50)和对照组(n = 50). 其中, 观察组, 男性30例, 女性20例; 年龄44-72岁, 平均(58.32±8.45)岁; 中国肝癌分期方案(chinese liver cancer, CNLC)分期Ⅰa期5例, Ⅰb期12例, Ⅱa期20例, Ⅱb期10例, Ⅲa期3例; Child-Pugh分级A级35例, B级15例. 对照组, 男性28例, 女性22例; 年龄40-70岁, 平均(59.15±9.20)岁; CNLC分期Ⅰa期6例, Ⅰb期10例, Ⅱa期22例, Ⅱb期9例, Ⅲa期3例; Child-Pugh分级A级33例, B级17例. 两组患者一般资料比较差异无统计学意义(P>0.05).
1.2.1 对照组干预方法: 给予常规护理干预, 包括术前宣教、术后监测、心理支持、饮食指导等.
1.2.2 观察组干预方法: 观察组在对照组基础上采用基于Orem理论的自护模式进行干预. 护理团队组成包括主治医师一名、营养师一名、康复治疗师一名、心理咨询师一名、护士长一名、责任护士两名. 为确保护理措施的一致性, 干预前对所有护理人员进行2次统一培训(每次2 h), 培训内容涵盖Orem理论核心概念、各阶段干预操作流程及量表评估标准, 培训后通过考核(合格率100%)方可参与研究; 同时制定《Orem理论自护模式标准化操作手册》, 明确各阶段护理操作的细节标准和注意事项. (1)术前完全补偿系统: 由责任护士协助患者完成术前检查, 建立静脉通路; 医生-护士-患者三方沟通, 明确介入方案; 指导患者术前6 h禁食, 2 h禁水; (2)术前部分补偿系统: 由责任护士使用3D动画演示TACE过程, 强调治疗目标; 向患者及家属讲解介入治疗流程、导管插入部位、术后注意事项, 解释可能出现的并发症; 由心理咨询师采用焦虑自评量表(Self Rating Anxiety Scale, SAS)和抑郁自评量表(Self-rating Depression Scale, SDS)筛查心理状态高危患者进行认知行为疗法, 每周2次, 每次30 min; (3)术前支持-教育系统: 由责任护士指导家属参与术前准备、学习术后护理技能, 提供家庭沟通技巧; 建立微信随访群, 推送术后康复视频; (4)术后完全补偿系统: 术后0-24 h保持去枕平卧6 h, 穿刺点压迫止血; 每小时1次监测生命体征, 观察穿刺点出血、血肿; 遵医嘱镇痛, 动态评估VAS评分, 及时调整镇痛方案; 责任护士对穿刺点护理, 保持穿刺点干燥清洁, 避免剧烈活动. 术后24-48小时责任护士协助患者床上排尿/排便, 预防尿潴留和便秘; 指导床上四肢被动运动, 术后24 h进行床上踝泵运动, 术后48 h进行床边坐立, 预防深静脉血栓; 开始流质饮食, 根据胃肠蠕动情况逐步增加流质量, 手术结束后4 h给予少量温水, 手术结束后6 h分次给予米汤, 手术结束后24 h给予高蛋白流质. 术后48-72 h协助早期下床活动, 促进肠道蠕动; 监测体温、白细胞计数, 预防感染; 指导深呼吸和咳嗽练习, 预防肺部感染; (5)术后部分补偿系统: 术后第4 d协助患者独立完成穿衣、洗漱等简单活动; 营养师指导患者饮食过渡至半流质饮食, 增加蛋白质摄入; 评估疼痛程度, 逐步减少镇痛药物. 术后第5 d康复治疗师指导患者进行抬腿、握拳等上下肢主动运动, 抗阻训练强度根据患者肌力分级个性化调整, 初始采用1级负荷(弹力带阻力级别: 黄色, 可重复15次无疲劳感), 每周评估后逐步调整负荷级别; 教授避免剧烈运动、观察出血迹象等穿刺点护理知识. 术后第7 d责任护士协助患者独立完成如厕、短距离步行; 采用自我护理能力量表(exercise of self-care agency scale, ESCA)评估患者自理能力, 制定出院前计划, 指导患者准备计步器、血糖仪等家庭康复工具; 开始健康教育, 发放《肝癌介入术后康复手册》, 教育患者及家属饮食禁忌、复查时间等出院后注意事项; (6)术后支持-教育系统: 术后第8-14 d鼓励患者独立完成日常活动, 护士仅提供咨询; 康复治疗师指导家庭康复训练, 每周3次有氧运动, 心率控制在最大心率的60%-70%; 营养师指导患者饮食调整为软食, 增加蛋白质摄入, 每日记录饮食日记, 避免高脂高盐食物. 术后第15-30 d责任护士每周1次电话随访, 询问疼痛、食欲、排便情况, 解答患者疑问, 评估患者自理能力恢复情况; 教授长期健康管理; 强调定期复查; 心理咨询师通过微信或视频平台提供持续心理疏导. 干预周期为术后1 mo.
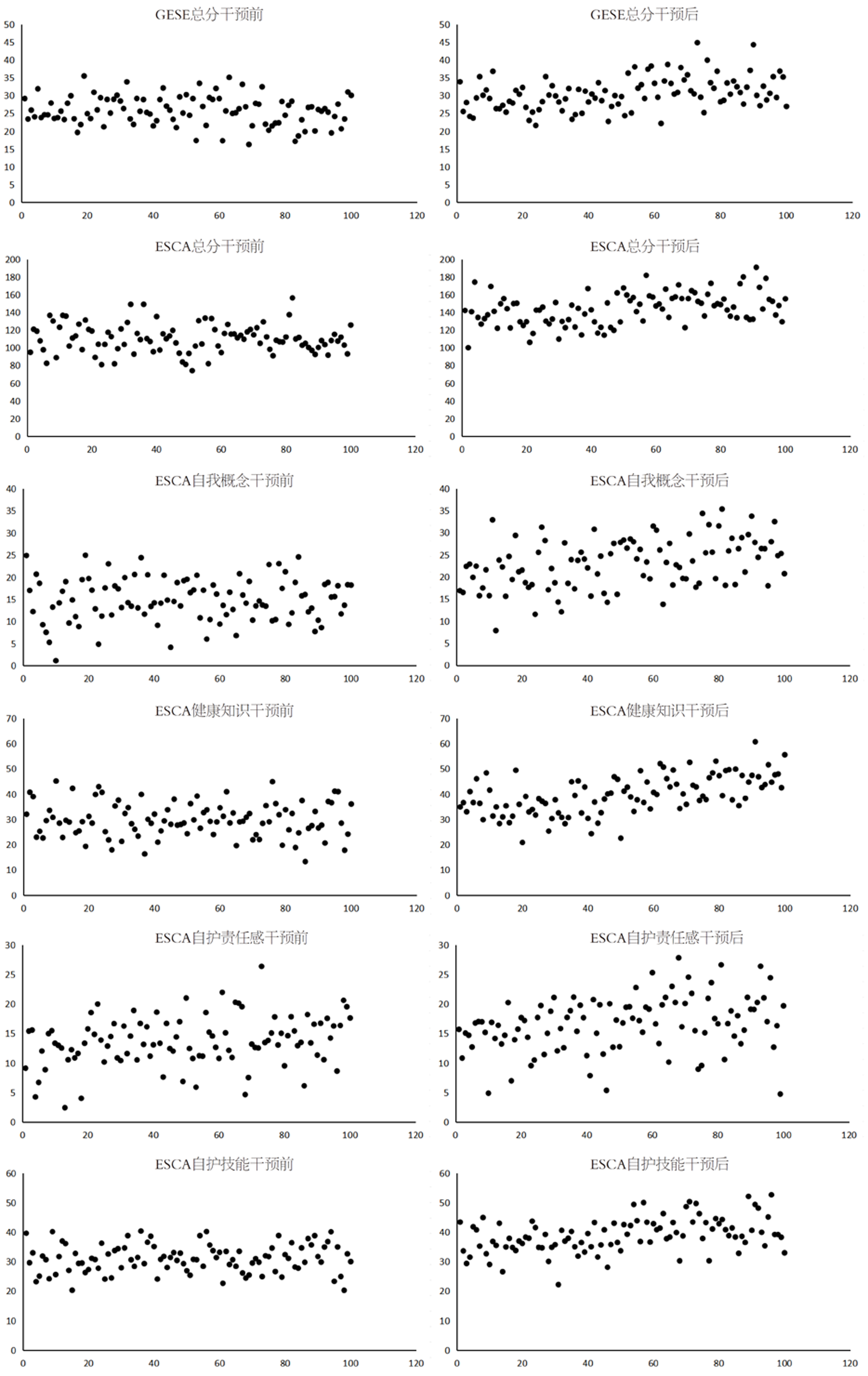
(1)两组自我效能和自我护理能力评分比较: 于干预前后分别采用自我效能感量表(general self-efficacy scale, GSES)、ESCA对患者进行评估. 其中GSES量表共10个项目, 得分范围10-40分, 得分越高表示自我效能感越强[11]; ESCA量表包括自我概念、健康知识、自护责任感、自护技能四个维度, 得分范围分别为0-32分、0-68分、0-24分、0-48分, 总分得分范围0-172分, 得分越高自理能力越强[12]; (2)两组生存质量评分比较: 于干预前后分别采用癌症患者生命质量测定量表体系肝癌量表(quality of life instruments for cancer patients-liver cancer, QLICP-LI)对患者进行评估. 其中QLICP-LI量表包括躯体功能、心理功能、社会功能、共性症状及副作用、肝癌特异模块5个维度, 得分范围分别为8-40分、9-45分、8-40分、7-35分、12-60分, 总分得分范围44-220分, 得分越高生存质量越好[13]; (3)两组心理状态评分比较: 于干预前后分别采用SAS评分和SDS评分对患者进行评估, 得分越高心理状态越差[14]; (4)两组肝功能指标比较: 于干预前后分别采集患者晨起空腹静脉血5 mL, 3000 r/min离心处理10 min后取上层清液, 采用全自动生化分析仪检测样本丙氨酸氨基转移酶(alanine aminotransferase, ALT)、门冬氨酸氨基转移酶(aspartate aminotransferase, AST)(迈瑞mindrayBS-1000M全自动生化分析仪); (5)两组营养指标和甲胎蛋白(alpha fetoprotein, AFP)水平比较: 于干预前后分别采集患者晨起空腹静脉血5 mL, 3000 r/min 离心处理10 min后取上层清液, 采用ELISA法测定样本前白蛋白(prealbumin, PA)、AFP水平(上海科艾博生物技术有限公司); (6)两组并发症发生率比较: 术后随访3 mo, 统计并记录两组患者并发症发生情况, 包括发热、恶心、呕吐、上腹部疼痛、肝功能异常等.
统计学处理 采用SPSS 26.0软件进行统计分析, 样本均数采用Kolmogorov-Smirnov检验对数据进行正态分布检验; 采用Levene检验进行方差齐性检验, 计量资料均通过正态分布检验, 满足方差齐性, 以均数±标准差(mean±SD)表示, 组间采用独立样本t检验, 组内采用配对t检验; 计数资料以[例数(%)]表示, 组间采用χ²检验; 以P<0.05表示差异有统计学意义.
干预前, 两组GSES、ESCA评分比较差异无统计学意义(P>0.05). 干预后, 两组GSES、ESCA评分较干预前升高, 且观察组GSES总分、ESCA总分及ESCA(自我概念、健康知识、自护责任感、自护技能)各维度评分均高于对照组(均P<0.001), 见表1和表2、图1.
干预前, 两组QLICP-LI评分比较差异无统计学意义(P>0.05). 干预后, 两组QLICP-LI评分较干预前升高, 且观察组QLICP-LI总分及QLICP-LI(躯体功能、心理功能、社会功能、共性症状及副作用、肝癌特异模块)各维度评分均高于对照组(均P<0.001), 见表3和表4、图2.
干预前, 两组SAS、SDS评分比较差异无统计学意义(P>0.05). 干预后, 两组SAS、SDS评分均较干预前降低, 且观察组SAS、SDS评分均低于对照组(均P<0.001), 见表5、图3.
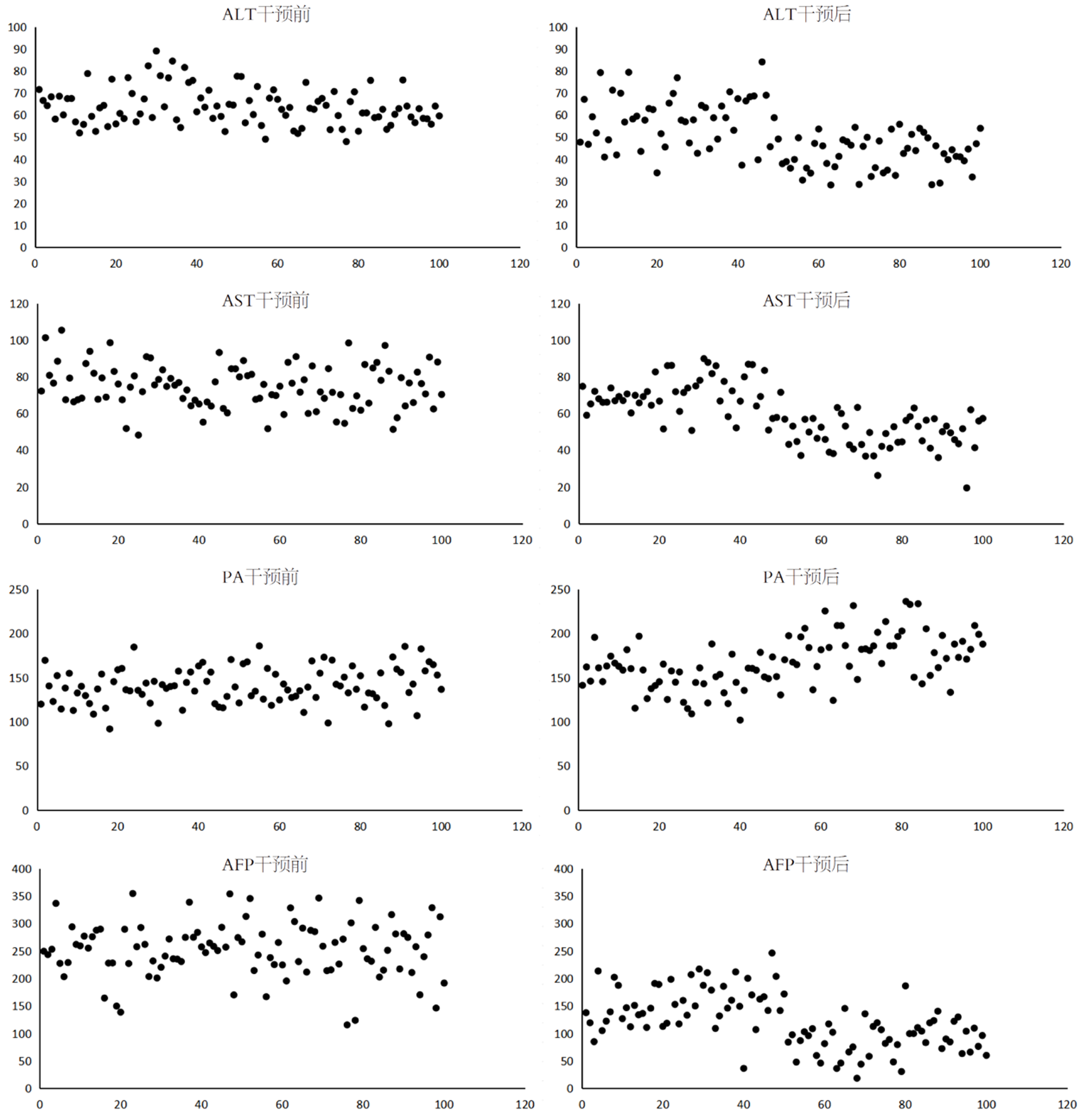
干预前, 两组ALT、AST、PA、AFP水平比较差异无统计学意义(P>0.05). 干预后, 两组ALT、AST、PA、AFP水平较干预前均有改善, 且观察组PA水平高于对照组, ALT、AST、AFP水平均低于对照组(均P<0.001), 见表6、图4.
| 组别 | 例数 | ALT(U/L) | AST(U/L) | PA(mg/L) | AFP(ng/mL) | ||||
| 干预前 | 干预后 | 干预前 | 干预后 | 干预前 | 干预后 | 干预前 | 干预后 | ||
| 对照组 | 50 | 66.11±9.24 | 60.53±10.24a | 75.83±11.35 | 68.64±11.35a | 132.74±19.82 | 152.35±20.76a | 245.81±48.73 | 140.80±45.70a |
| 观察组 | 50 | 62.22±7.56 | 42.35±8.12a | 74.32±10.14 | 48.72±9.31a | 140.26±20.51 | 180.53±25.42a | 250.62±50.24 | 80.53±35.44a |
| t | 1.293 | 9.354 | 0.556 | 10.288 | 1.884 | 7.568 | 0.104 | 7.930 | |
| P值 | 0.199 | <0.001 | 0.580 | <0.001 | 0.063 | <0.001 | 0.917 | <0.001 | |
术后随访期间, 观察组共2例出现并发症, 其中腹痛1例、发热1例, 并发症发生率为4.00%(2/50); 对照组共9例出现并发症, 其中腹痛4例、发热2例、肝功能异常2例、尿潴留1例, 并发症发生率为18.00%(9/50). 观察组并发症发生率低于对照组(χ2 = 5.005, P = 0.025).
Orem自理理论由美国护理学家Dorothea Orem提出, 核心思想是"护理的目标是帮助患者实现最大程度的自我护理能力", 强调通过科学干预提升个体的自理能力以促进健康[15,16]. 该理论包含三大核心框架: 自理需求理论、自理缺陷理论和护理系统理论, 其中护理系统理论根据患者自理能力分为完全补偿系统、部分补偿系统、支持-教育系统. 在肝癌介入术患者护理中, Orem理论的应用具有重要临床意义. TACE虽能延长患者生存期, 但术后常伴随栓塞后综合征、肝功能损伤等并发症, 患者对疾病知识的掌握不足及自理能力下降可能进一步影响康复效果[17,18]. 基于Orem理论的护理模式通过动态评估患者的自理缺陷类型, 针对性地选择护理系统, 完全补偿系统适用于术后早期完全依赖护理的患者, 部分补偿系统针对部分自理能力缺失者, 而支持-教育系统则通过健康宣教、心理支持及技能训练, 激发患者主动参与自我护理的潜能. 既往研究表明[19], 基于Orem理论的自我护理模式对癌症患者化疗相关副作用的管理和自我护理行为均有积极影响.
本研究结果显示, 观察组干预1 mo后的GSES、ESCA、QLICP-LI评分均高于对照组, SAS、SDS评分均低于对照组. 提示基于Orem理论的自护模式可有效提升肝癌介入治疗患者的自我效能、自护能力及生存质量, 缓解心理压力. Rakhshani等[8]研究结果显示, 基于Orem理论的护理模式使患者自护能力提高了约25%. 而本研究观察组ESCA总分提升幅度达39.2%, 优于该研究结果. 在生存质量方面, 本研究观察组QLICP-LI总分提升约40%, 其改善幅度高于Chen等[17]报道结果. 分析认为: 术前阶段完全补偿系统与部分补偿系统的联合应用, 通过责任护士的术前准备协助、心理咨询师的认知行为疗法及家属教育, 帮助患者克服术前焦虑, 建立对治疗流程的认知, 增强应对能力. 通过3D动画演示和SAS、SDS量表筛查, 不仅缓解了患者心理压力, 还通过家属的参与构建了家庭支持网络, 为术后康复奠定基础. 术后阶段, 护理团队根据患者恢复进度逐步过渡护理模式, 完全补偿系统保障术后早期生命体征稳定, 减少并发症风险, 部分补偿系统通过康复训练和饮食指导, 逐步恢复患者肢体功能与营养状态, 支持-教育系统则强化患者及家属的健康管理能力, 如家庭康复训练、饮食记录及定期随访. 这种由完全补偿系统逐渐过渡为部分补偿系统和支持-教育系统的护理策略, 使患者在护士指导下逐步掌握穿刺点护理、饮食调整等自我护理技能, 显著提升ESCA评分. 此外, Orem理论强调患者主动参与, 通过术后健康教育手册、微信随访群等工具, 将护理延伸至家庭场景, 促进患者形成规律的生活习惯与健康管理意识. Orem理论应用于肝癌介入护理的特殊性, 在于其分阶段护理系统能动态响应患者从穿刺点管理、栓塞后综合征等术后急性生理依赖向长期肝功能监测、生活方式调整等慢性期自我管理的过渡需求, 实现连续性干预.
本研究结果显示, 观察组干预1 mo后的PA水平高于对照组, ALT、AST、AFP水平均低于对照组; 且术后随访期间观察组并发症发生率低于对照组. 提示基于Orem理论的自护模式可有效改善肝癌介入治疗患者的肝功能指标和营养状态, 并减少并发症. 术后完全补偿系统通过每小时监测生命体征、及时镇痛管理, 减少疼痛应激导致的交感神经兴奋, 降低炎症因子(如白细胞介素-6、肿瘤坏死因子α)释放, 从而减轻肝细胞损伤, 改善ALT、AST水平. 同时, 营养师指导的高蛋白饮食和保肝药物辅助, 促进了肝细胞再生与功能恢复. 此外, 术后早期踝泵运动、床边活动及逐步下床训练, 通过改善微循环减少了肝缺血再灌注损伤, 进一步优化了肝功能指标. 早期干预减少了术后栓塞后综合征的发生风险, 间接改善了肝功能指标和营养状态. 术后阶段完全补偿系统保障术后早期生命体征稳定, 避免穿刺部位出血等并发症, 部分补偿系统通过营养师的高蛋白饮食指导和康复治疗师的抗阻训练, 逐步恢复患者营养状态及肢体功能, 从而减少因营养失衡或感染导致的并发症.
综上所述, 基于Orem理论的自护模式可显著提升肝癌介入治疗患者的自我效能、自护能力及生存质量, 缓解心理压力, 改善肝功能、营养状态, 并减少并发症, 具有多维度临床价值. 但本研究仍存在一定的局限性, 本研究为单中心小样本研究, 随访时间较短, 长期效果需多中心、大样本研究进一步验证; 且未监测患者干预依从性, 后续可通过"日记核查+电话回访"评估依从性, 并分析其对结局的影响.
原发性肝癌全球发病率较高, 肝动脉化疗栓塞术(transcatheter arterial chemoembolization, TACE)作为中晚期肝癌常用介入治疗手段, 虽能延长患者生存时间, 但术后并发症频发且患者自我护理能力普遍不足, 严重影响TACE患者康复效果与生活质量, 临床亟需有效的护理干预模式以优化全程管理.
本研究旨在解决TACE患者术后自我护理能力欠缺、心理负担重及肝功能恢复不佳等关键问题. 通过引入Orem理论构建结构化自护模式, 探索其在提升患者自我管理能力、改善身心状态及临床指标方面的潜力, 为临床护理实践提供新路径.
本研究主要目标是构建并验证基于Orem理论的自护模式在TACE患者中的应用效果. 具体目标包括评估该模式对患者自我效能、自护能力、生存质量、心理状态、肝功能及并发症发生率的影响, 以形成可推广的系统化护理方案.
本研究采用前瞻性随机对照设计, 将100例TACE术后患者分为观察组与对照组. 对照组接受常规护理, 观察组实施基于Orem理论的分阶段自护模式并结合多学科团队协作与标准化操作流程, 确保干预的系统性与可重复性, 并通过多维度量表及肝功能指标对干预结果进行系统评估.
本研究结果显示, 观察组在自我效能、自护能力、生存质量总分及各维度评分上均显著优于对照组, 心理状态、肝功能指标、营养状态明显改善, 观察组较对照组并发症发生率降低77.78%. 证实基于Orem理论的自护模式具有较高临床应用价值.
本研究首次系统验证基于Orem理论的自护模式在TACE患者临床护理中的综合效益, 提出"完全补偿-部分补偿-支持教育"动态过渡护理策略, 为TACE患者临床护理提供新范式, 并归纳其通过增强患者主动性与技能掌握改善身心与临床结局的机制, 为肿瘤介入护理提供了理论支持与实践范式, 对未来临床个体化护理方案制定具有指导意义.
本研究为单中心设计且随访时间较短, 下一步将开展多中心、大样本的长期随访研究, 并纳入干预依从性监测与经济效应评估, 进一步探索基于Orem理论的自护模式在不同人群与文化背景下的适用性与优化策略, 推动肝癌护理向标准化、人性化与全程化方向发展.
学科分类: 胃肠病学和肝病学
手稿来源地: 浙江省
同行评议报告学术质量分类
A级 (优秀): 0
B级 (非常好): 0
C级 (良好): C, C, C, C
D级 (一般): D
E级 (差): 0
科学编辑: 刘继红 制作编辑:张砚梁
| 1. | Mejia JC, Pasko J. Primary Liver Cancers: Intrahepatic Cholangiocarcinoma and Hepatocellular Carcinoma. Surg Clin North Am. 2020;100:535-549. [PubMed] [DOI] |
| 3. | Chen JG, Zhang YH, Lu JH, Kensler TW. Liver Cancer Etiology: Old Issues and New Perspectives. Curr Oncol Rep. 2024;26:1452-1468. [PubMed] [DOI] |
| 4. | Chang Y, Jeong SW, Young Jang J, Jae Kim Y. Recent Updates of Transarterial Chemoembolilzation in Hepatocellular Carcinoma. Int J Mol Sci. 2020;21:8165. [PubMed] [DOI] |
| 5. | 李 文利, 杜 阳峰, 袁 国盛, 臧 梦雅, 朱 培琳, 李 榕, 陈 泳如, 苏 开妍, 李 祺, 胡 晓云, 庞 桦进, 陈 锦章. 经肝动脉化疗栓塞联合系统治疗对不可切肝细胞癌的疗效分析. 中国肿瘤临床. 2023;50:1135-1141. [DOI] |
| 6. | Yao Y, Huang X, Zhao C, Wang X, Mi G, Liu J. Summary of the evidence of best practices for the prevention and treatment of embolism syndrome after TACE in primary liver cancer. Front Oncol. 2023;13:1274235. [PubMed] [DOI] |
| 7. | Khademian Z, Kazemi Ara F, Gholamzadeh S. The Effect of Self Care Education Based on Orem's Nursing Theory on Quality of Life and Self-Efficacy in Patients with Hypertension: A Quasi-Experimental Study. Int J Community Based Nurs. Midwifery. 2020;8:140-149. [PubMed] [DOI] |
| 8. | Rakhshani T, Najafi S, Javady F, Taghian Dasht Bozorg A, Mohammadkhah F, Khani Jeihooni A. The effect of Orem-based self-care education on improving self-care ability of patients undergoing chemotherapy: a randomized clinical trial. BMC Cancer. 2022;22:770. [PubMed] [DOI] |
| 11. | 俞 蕾蕾, 阮 洪, 夏 滴, 何 美娟, 孙 明媛, 郑 吉驷. 自我效能理论主导的居家康复方案在颞下颌关节盘复位术后的应用效果. 上海交通大学学报(医学版). 2023;43:532-539. [DOI] |
| 13. | 万 崇华, 杨 铮, 吴 婷, 罗 家洪, 孟 琼, 李 高峰, 寸 英丽. 癌症患者生命质量测定量表体系的测量学特性与应用. 中华行为医学与脑科学杂志. 2020;29:277-283. [DOI] |
| 14. | 钱 贞, 卢 同波, 何 俊, 朱 海颖, 王 瑾, 巩 尊科. 精准化运动处方对脑卒中患者焦虑和抑郁状态及认知功能的疗效及机制初探: 一项随机对照试验. 中国全科医学. 2024;27:2445-2450+2465. [DOI] |
| 15. | Nasiri M, Jafari Z, Rakhshan M, Yarahmadi F, Zonoori S, Akbari F, Sadeghi Moghimi E, Amirmohseni L, Abbasi M, Keyvanloo Sharstanaki S, Rezaei M. Application of Orem's theory-based caring programs among chronically ill adults: A systematic review and dose-response meta-analysis. Int Nurs Rev. 2023;70:59-77. [PubMed] [DOI] |
| 16. | Hartweg DL, Metcalfe SA. Orem's Self-Care Deficit Nursing Theory: Relevance and Need for Refinement. Nurs Sci Q. 2022;35:70-76. [PubMed] [DOI] |
| 17. | Chen P, Zhang L, Sun J, Xing Q, Shi D. Pre- and post-operative comprehensive nursing care versus conventional nursing care: An evaluation of quality of life, postoperative pain, adverse effects, and treatment satisfaction of patients who underwent surgeries and interventional therapies for liver cancer. Medicine (Baltimore). 2023;102:e34643. [PubMed] [DOI] |
| 18. | Wang XB, Sun LF, Niu ME, Cai JZ, Wang HF. The Effect of Nursing Management of Patients Undergoing Interventional Therapy for Liver Cancer Compared with Standard Care on Patient-Reported Outcomes. Clin Nurs Res. 2022;31:1100-1106. [PubMed] [DOI] |
| 19. | Urtekin D, Eroglu SA. Effect of training based on Orem's self-care deficit theory on breast cancer patients' management of chemotherapy-related side effects and self-care behaviors: A randomized controlled trial. Eur J Oncol Nurs. 2024;73:102698. [PubMed] [DOI] |
