BPG is committed to discovery and dissemination of knowledge
Retrospective Cohort Study Open Access
©The Author(s) 2025. Published by Baishideng Publishing Group Inc. All rights reserved.
World J Gastroenterol. Dec 28, 2025; 31(48): 113856
Published online Dec 28, 2025. doi: 10.3748/wjg.v31.i48.113856
AADN score: Predicting response to transarterial chemoembolization, sintilimab and lenvatinib in patients with hepatocellular carcinoma
Xue Zhang, Min-Jun Liao, Li-Ying Ren, Shao-Ping She, Ran Fei, Xu Cong, Dong-Bo Chen, Hong-Song Chen, Peking University People’s Hospital, Peking University Hepatology Institute, Infectious Disease and Hepatology Center of Peking University People’s Hospital, Beijing Key Laboratory of Hepatitis C and Immunotherapy for Liver Diseases, Beijing International Cooperation Base for Science and Technology on NAFLD Diagnosis, Beijing 100044, China
Min-Jun Liao, Yuan-Ping Zhou, Department of Gastroenterology, Nanfang Hospital, Southern Medical University, Guangzhou 510515, Guangdong Province, China
Wan-Ying Qin, Laboratory of Hepatobiliary and Pancreatic Surgery, Affiliated Hospital of Guilin Medical University, Guilin 541000, Guangxi Zhuang Autonomous Region, China
Shao-Wei Mu, Department of Hepatobiliary Surgery, Peking University People’s Hospital, Beijing 100044, China
Hong-Song Chen, Peking University Third Hospital, Beijing 100191, China
ORCID number: Min-Jun Liao (0000-0002-2328-8209); Wan-Ying Qin (0000-0001-6040-9340); Hong-Song Chen (0000-0001-6858-8398).
Co-first authors: Xue Zhang and Min-Jun Liao.
Co-corresponding authors: Dong-Bo Chen and Hong-Song Chen.
Author contributions: Zhang X and Liao MJ contributed to data analysis and manuscript writing; Ren LY, Qin WY, Mu SW, She SP, Fei R and Cong X were responsible for patient enrollment and data collection; Zhou YP provided patient care and study materials; Chen DB and Chen HS conceived and supervised the study; Zhang X and Liao MJ contributed equally to this manuscript and are co-first authors; Chen DB and Chen HS contributed equally to this manuscript and are co-corresponding authors. All authors reviewed and approved the final manuscript.
Supported by National Key Sci-Tech Special Project of China, No. 2018ZX10302207; Beijing Nova Program, No. 20250484965; Beijing Natural Science Foundation, No. 7222191 and No. 7244426; Fundamental Research Funds for the Central Universities, Peking University, No. PKU2024XGK005; Peking University Medicine Seed Fund for Interdisciplinary Research, No. BMU2021MX007 and No. BMU2022MX001; Fundamental Research Funds for the Central Universities, Peking University People’s Hospital Scientific Research Development Funds, No. RDX2020-06 and No. RDJ2022-14; and the Qi-Min Project.
Institutional review board statement: The study protocol, conducted in accordance with the principles of the Declaration of Helsinki, was approved by the Institutional Review Board of each participating center of Peking University People’s Hospital (Approval No. 2024PHB061-001), NanFang Hospital of Southern Medical University (Approval No. NFEC-202305-K32-01), and Affiliated Hospital of Guilin Medical University (Approval No. 2021WJWZC14).
Informed consent statement: Written informed consent was obtained from all participants prior to the initiation of combined therapy.
Conflict-of-interest statement: The authors declare no conflict of interest.
STROBE statement: The authors have read the STROBE Statement-checklist of items, and the manuscript was prepared and revised according to the STROBE Statement-checklist of items.
Data sharing statement: If reasonably necessary, the datasets used and analyzed in this study can be obtained from the corresponding author.
Corresponding author: Hong-Song Chen, Professor, Peking University People’s Hospital, Peking University Hepatology Institute, Infectious Disease and Hepatology Center of Peking University People’s Hospital, Beijing Key Laboratory of Hepatitis C and Immunotherapy for Liver Diseases, Beijing International Cooperation Base for Science and Technology on NAFLD Diagnosis, No. 11 Xizhimen South Street, Xicheng District, Beijing 100044, China. chenhongsong2999@163.com
Received: September 9, 2025
Revised: October 11, 2025
Accepted: November 10, 2025
Published online: December 28, 2025
Processing time: 110 Days and 2.6 Hours

Abstract
BACKGROUND

Although the triple therapy of transarterial chemoembolization (TACE) combined with immune checkpoint inhibitors and tyrosine kinase inhibitors is becoming an effective treatment for unresectable hepatocellular carcinoma (uHCC). However, there is still a lack of effective tools for predicting therapeutic effects at present.

AIM

To develop a predictive tool for the prognosis of uHCC patients treated with TACE, sintilimab and lenvatinib.

METHODS

Based on multicenter data, this study constructed and validated an AADN score as variables to predict overall survival in patients treated with this combination therapy. This study included 188 uHCC cases (training cohort: n = 101, validation cohort: n = 87) from three different hospitals. Who were treated with TACE, sintilimab and lenvatinib.

RESULTS

In multivariate analysis, alpha-fetoprotein ≥ 100 ng/mL [hazard ratio (HR) = 2.579, P = 0.010], alkaline phosphatase > 120 U/L, (HR = 2.234, P = 0.021), direct bilirubin > 7.3 μmol/L (HR = 2.931, P = 0.007) and neutrophil to lymphocyte ratio > 2.5 (HR = 3.127, P = 0.006) were identified as independent prognostic factors and were used to establish the AADN score. Kaplan-Meier survival curves and time-dependent receiver operating characteristic curves were used to assess the accuracy of the AADN score, with area under receiver operating characteristic curve values of 0.827 (training cohort, 95% confidence interval: 0.743-0.911) and 0.832 (validation cohort, 95% confidence interval: 0.742-0.923). According to the score, the patients were divided into low-risk, intermediate-risk and high-risk groups. Overall survival and progression-free survival were significantly different between groups.

CONCLUSION

The AADN score can distinguish the prognostic risk of uHCC patients treated with TACE, sintilimab and lenvatinib, provides a basis for individualized treatment decision-making, and have clinical application prospect.

Key Words: Hepatocellular carcinoma; Transarterial chemoembolization; Sintilimab; Lenvatinib; AADN score

Core Tip: This multicenter study developed and validated a novel AADN score to predict survival in patients with unresectable hepatocellular carcinoma treated with triple therapy (transarterial chemoembolization, sintilimab, and lenvatinib). The AADN score effectively stratified patients into distinct low-risk, intermediate-risk, and high-risk groups with significantly different overall and progression-free survival outcomes, demonstrating high predictive accuracy. This tool provides a practical basis for prognostic assessment and individualized treatment decision-making in this patient population.



INTRODUCTION

Hepatocellular carcinoma (HCC) is the third leading cause of cancer-related death worldwide[1], and its treatment strategy is highly dependent on staging, tumor burden and liver function status[2]. For early-stage HCC, radical surgical resection or liver transplantation is the preferred treatment, with a 5-year survival rate of 50% to 70%[3,4]. For intermediate-stage HCC, transarterial chemoembolization (TACE) or systemic therapy is commonly adopted. In contrast, for advanced-stage HCC, targeted therapy (such as lenvatinib), immune checkpoint inhibitors [such as programmed death-1 (PD-1)/programmed death-ligand 1 (PD-L1) inhibitors], or combination regimens are the main treatment options[4]. For patients with advanced liver cirrhosis or multiple tumors (≥ 3) that cannot be surgical-removed, liver transplantation is a potential curative option[5]. Furthermore, for end-stage HCC (such as extensive metastasis, Child-Pugh grade C and refusal of active treatment), palliative care focuses on symptom control, with the goal of improving the quality of life. Radical resection remains the preferred treatment option for HCC patients, but more than 50% of HCC patients have lost the opportunity for surgical resection when diagnosed and are classified as unresectable HCC (uHCC)[2]. TACE is a well-established therapeutic approach for advanced HCC[6-8]. By obstructing the blood supply to the tumor tissue, TACE induces ischemic necrosis and is extensively employed in Asian nations[9-11]. The therapeutic effect of TACE shows significant heterogeneity, mainly influenced by factors such as tumor blood supply, liver function, operation techniques, and tumor biological characteristics. Importantly, integration of TACE with targeted therapy and immunotherapy has demonstrated notable enhancements in the antineoplastic efficacy, emerging as a pivotal treatment modality for uHCC[12-14].

The combination of TACE with immune checkpoint inhibitors like sintilimab and tyrosine kinase inhibitors such as lenvatinib has demonstrated notable efficacy in treating advanced HCC[15-17], which can provide survival benefits for patients with uHCC[18,19]. However, there is still a lack of effective tools for predicting therapeutic effects at present. Consequently, there is a pressing demand for pragmatic and robust prognostic models to prognosticate the outcomes of uHCC patients undergoing triple therapy.

To enhance the prognostic model for uHCC patients undergoing TACE with sintilimab and lenvatinib, this study developed and validated an AADN score. This model, utilizing alpha-fetoprotein (AFP), alkaline phosphatase (ALP), direct bilirubin (DBIL), and neutrophil to lymphocyte ratio (NLR) as parameters, was derived from multicenter real-world data. The aim was to predict survival outcomes in uHCC patients receiving TACE with sintilimab and lenvatinib, offering a standardized prognostic tool for clinical trials in this setting.

MATERIALS AND METHODS
Patient enrollment

This multicenter retrospective cohort study included 188 patients with uHCC (advanced disease or predicted residual liver volume after surgery) who were admitted to Peking University People’s Hospital, Hepatobiliary Surgery, Nanfang Hospital (Southern Medical University) and Affiliated Hospital of Guilin Medical University. All patients received TACE in combination with sintilimab (200 mg, intravenous injection every 3 weeks) and lenvatinib (12 mg/day for those weighing ≥ 60 kg and 8 mg/day for those weighing < 60 kg). Before each TACE treatment, lenvatinib and sintilimab were suspended for 3 days. If no serious TACE-related adverse events occurred, they resumed after 3 days. Antiviral treatment with entecavir or tenofovir is provided to all patients with hepatitis B virus infection. The study protocol, conducted in accordance with the principles of the Declaration of Helsinki[20], was approved by the Institutional Review Board of each participating center of Peking University People’s Hospital (Approval No. 2024PHB061-001), NanFang Hospital of Southern Medical University (Approval No. NFEC-202305-K32-01), and Affiliated Hospital of Guilin Medical University (Approval No. 2021WJWZC14). All patients signed written informed consent prior to combination therapy. A total of 188 patients were enrolled. The training cohort and validation cohort were divided randomly: 101 in the training cohort and 87 in the validation cohort (Figure 1).

Figure 1
Figure 1 Flowchart of the research cohort. uHCC: Unresectable hepatocellular carcinoma; BCLC: Barcelona Clinic Liver Cancer; TACE: Transarterial chemoembolization; mRECIST: Modified Response Evaluation Criteria for Solid Tumors; HCC: Hepatocellular carcinoma.

Inclusion criteria: (1) Age ≥ 18 years; (2) uHCC (BCLC stage B/C) diagnosed by imaging (enhanced computed tomography/magnetic resonance imaging meeting the diagnostic criteria for HCC); (3) Treated with TACE, sintilimab and lenvatinib; (4) Clinical data recording at baseline (within 1 week before treatment); and (5) At least one measurable lesion that meets the modified Response Evaluation Criteria for Solid Tumors (mRECIST) exists.

Exclusion criteria: (1) With other malignant tumors; (2) With severe liver and kidney dysfunction (Child-Pugh C); (3) With previous systemic treatment for HCC; (4) With missing follow-up data; and (5) Active autoimmune diseases or severe hematological diseases.

Treatment and follow-up

All patients received TACE (tumor response was evaluated according to mRECIST criteria) combined with sintilimab plus lenvatinib. They underwent enhanced computed tomography/magnetic resonance imaging examinations and laboratory evaluations every 4-8 weeks. The therapeutic efficacy was assessed by two independent radiologists in accordance with the mRECIST criteria. Overall survival (OS) was defined as the time from the start of treatment to all-cause death or the last follow-up. The primary endpoint was OS. The secondary endpoint was progression-free survival (PFS), defined as the time interval from the start of treatment to disease progression or death.

Model construction and validation

Training cohort analysis: (1) Predictors with P < 0.05 in univariate Cox regression entered multivariate modeling. The AADN score was constructed based on Cox proportional hazards regression to determine prognostic factors, time-dependent receiver operating characteristic was used to assess discrimination between training and validation cohorts, and X-tile index was used to determine the optimal cutoff value. Kaplan-Meier survival curves were plotted according to risk stratification of AADN score, and log-rank test was used for comparison between groups; (2) Building AADN score based on regression coefficients: Binomial threshold setting for AFP, ALP, DBIL, NLR (AFP ≤ 100 ng/mL vs > 100 ng/mL, ALP ≤ 120 U/L vs > 120 U/L, DBIL ≤ 7.3 μmol/L vs > 7.3 μmol/L, NLR ≤ 2.5 vs > 2.5), each variable was assigned an approximate integer value of its regression coefficient β (AFP: 0.947, ALP: 0.804, DBIL: 1.075, NLR: 1.14, the weighted sum of original coefficients is retained in actual modeling, AADN score = 0.947 × AFP (ng/mL) (0: ≤ 100 ng/mL; 1: > 100 ng/mL) + 0.804 × ALP (U/L) (0: ≤ 120 U/L; 1: > 120 U/L) + 1.075 × DBIL (μmol/L) (0: ≤ 7.3 μmol/L; 1: > 7.3 μmol/L) + 1.14 × NLR (0: ≤ 2.5; 1: > 2.5); and (3) Risk groups were divided according to the score distribution: The optimal cutoff value was determined (≤ 1.10 as low risk, > 1.10 to ≤ 3.10 as intermediate risk, > 3.10 as high risk).

Validation cohort analysis: The AADN score constructed by the training group was applied to the validation group, and the AADN score of each patient were calculated and grouped, and the OS differences and model consistency between the groups were compared.

Statistical analysis

The SPSS version 26.0 software was used for analysis and R version 4.3.1 or GraphPad version 10 was used for plotting. Normal distribution data were expressed as mean ± SD, and group comparisons were performed by t-test; non-normal distribution data were expressed as median (interquartile range), and were performed by Mann-Whitney U test. Categorical variables were expressed as n (%) using χ2 test or Fisher’s exact test. Univariate/multivariate Cox regression analysis was performed to analyze OS-related factors, and the hazard ratio (HR) and 95% confidence interval (CI) were calculated. Differences in survival between risk groups were compared by Kaplan-Meier curves and Log-rank test. P < 0.05 was statistically significant.

RESULTS
Patient baseline characteristics

A multicenter cohort of 188 patients with uHCC treated with TACE in combination with sintilimab and lenvatinib (training cohort: n = 101, validation cohort: n = 87) was analyzed. Baseline characteristics are shown in Table 1. There were no differences between the two groups in terms of demographic and clinical characteristics (P > 0.05): Male (86.1% in training cohort vs 88.5% in validation cohort, P = 0.790), mean age (57.74 ± 12.44 years old in training cohort vs 57.78 ± 10.06 years old in validation cohort, P = 0.808), hepatitis B surface antigen (76.2% in training cohort vs 85.1% in validation cohort, P = 0.183). The disease characteristics, including portal vein tumor thrombus (PVTT) (27.7% in training cohort vs 40.2% in validation cohort, P = 0.098), AFP (training cohort: 96.5 (5.96-1210) vs validation cohort: 115.4 (7.16-1098.3), P = 0.808), and extrahepatic spread (training cohort: 26% vs validation cohort: 24%, P = 0.933), were also not statistically different between groups (P > 0.05). The balance of these baseline characteristics provided a reliable basis for subsequent cohort comparisons.

Table 1 Comparison of clinicopathological characteristics of two groups patients, mean ± SD/median (interquartile range).
Parameter
Total patients (n = 188)
Training cohort (n = 101)
Validation cohort (n = 87)
P value
Gender: Female/male24/16414/8710/770.790
Age (years)57.76 ± 11.4057.74 ± 12.4457.78 ± 10.160.808
BMI21.81 ± 2.7221.96 ± 2.6621.62 ± 2.770.415
Family history: No/yes173/1594/779/80.763
Alcohol abuse: No/yes119/6963/3856/310.896
Smoking: No/yes133/5569/3264/230.530
HBsAg: Negative/positive 37/15124/7713/740.183
Tumor size (cm)8.31 ± 3.908.27 ± 3.978.35 ± 3.820.896
TBS8.42 ± 3.718.33 ± 3.808.52 ± 3.590.735
PVTT: No/yes125/6373/2852/350.098
EHS141/4775/2666/210.933
Child stage: A/B132/5667/3465/220.275
BCLC stage: B/C104/8459/4245/420.439
ECOG-PS: 0/1-2134/5474/2760/270.516
WBC (× 109/L)6.04 ± 2.236.11 ± 2.415.95 ± 2.010.994
NEUT (× 109/L)3.76 ± 1.743.72 ± 1.733.81 ± 1.750.736
LYMPH (× 109/L)1.41 ± 0.551.49 ± 0.611.33 ± 0.460.085
Platelets (× 109/L)179.61 ± 92.69180.05 ± 91.57179.09 ± 93.970.994
Albumin (g/L)36.48 ± 6.4436.50 ± 5.3136.45 ± 7.540.316
Globulin (g/L)35.28 ± 7.5334.74 ± 8.0435.92 ± 6.850.155
TBIL (μmol/L)18.55 ± 12.6918.50 ± 12.0618.61 ± 13.390.545
DBIL (μmol/L)10.12 ± 9.999.94 ± 9.7410.33 ± 10.280.791
ALT (U/L)30.65 (21.3-50.58)28.9 (18.5-52.65)31.9 (24.1-50.1)0.185
AST (U/L)47.3 (33.06-79.95)47 (32.25-78.9)48.4 (33.22-87.2)0.844
GGT (U/L)113 (69.64-214.9)122.4 (78-223)107 (64-189)0.192
ALP (U/L)116.42 (89-164)116.84 (89-166.5)115 (87-151)0.526
AFP (ng/mL)105.97 (6.76-1207.5)96.5 (5.96-1210)115.4 (7.16-1098.3)0.808
ALBI score (1/2/3)52/123/1332/61/820/62/50.317
BUN (mmol/L)5.17 ± 1.925.11 ± 1.895.24 ± 1.950.721
Cr (μmol/L)72.91 ± 20.4872.05 ± 19.8173.91 ± 21.190.450
PT (seconds)12.75 ± 1.6312.79 ± 1.7512.70 ± 1.470.877
INR1.11 ± 0.151.11 ± 0.161.11 ± 0.140.539
NLR2.92 ± 1.522.78 ± 1.503.08 ± 1.540.117
AADN score

Univariate Cox regression analysis revealed PVTT (HR = 2.216, 95%CI: 1.205-4.077, P = 0.011), Child stage (HR = 2.519, 95%CI: 1.345-4.718, P = 0.004), DBIL (> 7.3 μmol/L: HR = 3.629, 95%CI: 1.875-7.025, P < 0.001), ALP (> 120 U/L: HR = 2.892, 95%CI: 1.544-5.416, P = 0.001), AFP (> 100 ng/mL: HR = 2.798, 95%CI: 1.451-5.395, P = 0.002), NLR > 2.5: HR = 3.363, 95%CI: 1.606-7.044, P = 0.001) were associated with OS (Table 2).

Table 2 Univariate Cox regression analyses of overall survival in the training cohort.
Variable
HR
95%CI
P value
Gender (male vs female)1.3480.481-3.7780.571
Age, years (> 55 vs ≤ 55)0.9960.538-1.8450.990
BMI (> 22 vs ≤ 22)0.9230.495-1.7210.802
Alcohol abuse (present vs absent)0.7830.407-1.5070.465
HBsAg (positive vs negative)1.0290.434-2.4430.948
Tumor size, cm (> 6 vs ≤ 6)1.0920.505-2.3610.822
Tumor number (multiple vs single)1.3300.636-2.7810.448
TBS (> 8 vs ≤ 8)1.6370.891-3.0080.113
PVTT (present vs absent)2.2161.205-4.0770.011
EHS (present vs absent)1.3820.708-2.7000.339
Child stage (B vs A)2.5191.345-4.7180.004
ECOG-PS (1-2 vs 0)1.4460.776-2.6970.246
DBIL, μmol/L (> 7.3 vs ≤ 7.3)3.6291.875-7.025< 0.001
ALP, U/L (> 120 vs ≤ 120)2.8921.544-5.4160.001
AFP, ng/mL (> 100 vs ≤ 100)2.7981.451-5.3950.002
NLR (> 2.5 vs ≤ 2.5)3.3631.606-7.0440.001

Multivariate Cox regression analysis incorporating these parameters identified four predictors significantly associated with OS (Table 3): AFP (> 100 ng/mL: HR = 2.579, 95%CI: 1.258-5.285, P = 0.010), ALP (> 120 U/L: HR = 2.234, 95%CI: 1.127-4.430, P = 0.021), DBIL(> 7.3 μmol/L: HR = 2.931, 95%CI: 1.346-6.382, P = 0.007), NLR (> 2.5: HR = 3.127, 95%CI: 1.384-7.063, P = 0.006).

Table 3 Multivariable Cox regression analyses of overall survival in the training cohort.
Variable
β estimate (95%CI)
HR (95%CI)
P value
PVTT (present vs absent)1.005 (0.481-2.099)0.844
Child stage (B vs A)0.857 (0.400-1.835)0.481
AFP, ng/mL (> 100 vs ≤ 100)0.947 (0.229-1.665)2.579 (1.258-5.285)0.010
ALP, U/L (> 120 vs ≤ 120)0.804 (0.120-1.149)2.234 (1.127-4.430)0.021
DBIL, μmol/L (> 7.3 vs ≤ 7.3)1.075 (0.297-1.853)2.931 (1.346-6.382)0.007
NLR (> 2.5 vs ≤ 2.5)1.140 (0.325-1.955)3.127 (1.384-7.063)0.006

Based on the regression coefficients of the above variables (AFP: 0.947, ALP: 0.804, DBIL: 1.075, NLR: 1.14), a scoring model was constructed and named AADN score. AADN score = 0.947 × AFP (0 or 1) + 0.804 × ALP (0 or 1) + 1.075 × DBIL (0 or 1) + 1.14 × NLR (0 or 1) (stratification thresholds: AFP ≤ 100 ng/mL = 0, > 100 ng/mL = 1; ALP ≤ 120 U/L = 0, > 120 U/L = 1; DBIL ≤ 7.3 μmol/L = 0, > 7.3 μmol/L = 1; NLR ≤ 2.5 = 0, > 2.5 = 1).

The training cohort determined the optimal cutoff values through X-tile: Low-risk group (AADN score ≤ 1.10, n = 35), intermediate-risk group (AADN score: 1.10-3.10, n = 51), and high-risk group (AADN score > 3.10, n = 15). The validation cohort was grouped according to the same cut-off value (low-risk group: n = 23, intermediate -risk group: n = 47, high-risk group: n = 17).

Performance of the AADN score

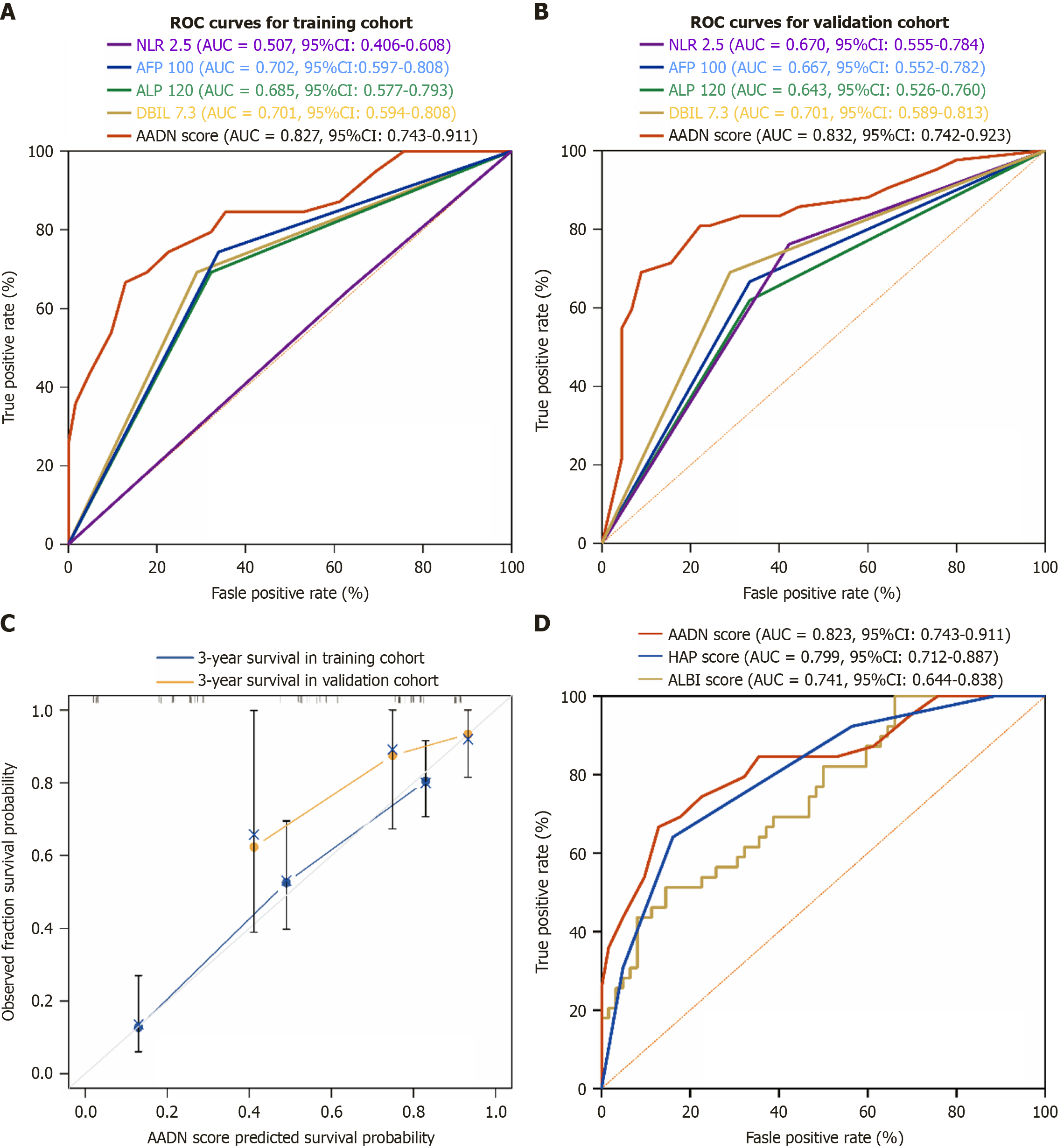
The diagnostic efficacy of the AADN score in the training cohort (n = 101) and the validation cohort (n = 87) was evaluated through the area under the curve (AUC) and compared with the clinical indicators. The AADN score demonstrated excellent discriminative performance in both the training and validation cohorts. In the training cohort, the AUC value of the AADN score was higher than that of the established clinical parameters (AUC = 0.827, 95%CI: 0.743-0.911; AFP: 0.702, ALP: 0.685, DBIL: 0.701, NLR: 0.507; Figure 2A), and showed considerable accuracy in the validation cohort (AUC = 0.832, 95%CI: 0.742-0.923; AFP: 0.667, ALP: 0.643, DBIL: 0.701, NLR: 0.670; Figure 2B). The AADN score exhibited remarkable robustness and discrimination within the validation cohort, as evidenced by its AUC, which was substantially higher than that of other indicators. The calibration curve of the AADN score for predicting 3-year survival showed that in both the training cohort and validation cohort, the predicted survival probabilities were in good agreement with the observed ones, as the curves closely aligned with the ideal diagonal line (Figure 2C). In addition, the receiver operating characteristic curve compares the diagnostic performance of the AADN score, hepatic arterial infusion chemotherapy score, and albumin-bilirubin score. The AUC of the AADN score is 0.823 (95%CI: 0.743-0.911), which is higher than that of the hepatic arterial infusion chemotherapy score (AUC = 0.799, 95%CI: 0.712-0.887) and the albumin-bilirubin score (AUC = 0.741, 95%CI: 0.644-0.838; Figure 2D). This confirms the model’s strong clinical applicability.

Figure 2
Figure 2 Receiver operating characteristic curve analysis of the predictive performance of the AADN score in the training cohort and validation cohort. A: Receiver operating characteristic (ROC) curve analysis of the predictive performance of the AADN score in the training cohort; B: ROC curve analysis of the predictive performance of the AADN score in the validation cohort; C: Calibration curve of the AADN score for predicting 3-year survival; D: ROC curve was used to compare the diagnostic efficacy of AADN score, hepatic arterial infusion chemotherapy score and albumin-bilirubin score. ROC: Receiver operating characteristic; NLR: Neutrophil to lymphocyte ratio; AFP: Alpha-fetoprotein; ALP: Alkaline phosphatase; DBIL: Direct bilirubin; AUC: Area under the curve; CI: Confidence interval; HAP: Hepatic arterial infusion chemotherapy; ALBI: Albumin-bilirubin.
Survival analysis of the AADN score

In the training cohort, more than 50% of patients in the low-risk and intermediate-risk AADN score group were still alive at 36 months. The median OS of the high-risk group was 10 months (95%CI: 7.48-12.53). In the low-risk AADN score group, more than 50% of patients still had no disease progression at 36 months. The median PFS in the intermediate-risk and high-risk groups was 16 months (95%CI: 13.55-18.45) and 7 months (95%CI: 5.14-8.86), respectively. Kaplan-Meier analysis showed that there were significant survival differences at all endpoints (log-rank P < 0.0001 for OS/PFS in the training cohort; Figure 3A and B).

Figure 3
Figure 3 The prognosis of both the training cohort and the validation cohort based on the AADN score. A: The Kaplan-Meier overall survival curves for the training cohort classify patients into low-risk, intermediate-risk, and high-risk groups according to their AADN score (log-rank P < 0.0001); B: The Kaplan-Meier progression-free survival curves for the training cohort classify patients into low-risk, intermediate-risk, and high-risk groups according to their AADN score (log-rank P < 0.0001); C: The Kaplan-Meier overall survival curves for the validation cohort classify patients into low-risk, intermediate-risk, and high-risk groups according to their AADN score (log-rank P < 0.0001); D: The Kaplan-Meier progression-free survival curves for the validation cohort classify patients into low-risk, intermediate-risk, and high-risk groups according to their AADN score (log-rank P < 0.0001).

In the validation cohort, more than 50% of patients in the low-risk and intermediate-risk AADN score group were still alive at the end of the follow-up, while the median OS in the high-risk group was 10 months (95%CI: 7.34-12.65). In the low-risk AADN score group, more than 50% of patients still had no disease progression at the end of the follow-up. The median PFS in the intermediate-risk and high-risk groups was 13 months (95%CI: 9.64-16.36) and 7 months (95%CI: 4.98-9.02), respectively. Kaplan-Meier analysis showed that there were significant survival differences at all endpoints (log-rank P < 0.0001 for OS/PFS in the validation cohort) (Figure 3C and D).

The prognostic efficacy of AADN score in subgroup analyses

As illustrated in Figure 4, the AADN score demonstrated predictive efficacy across various subgroups, including PVTT (yes/no), AFP (> 100 ng/mL, ≤ 100 ng/mL), and BCLC stage (B/C). However, heterogeneity was observed in the subgroup with AFP ≤ 100 ng/mL (PFS: P = 0.2902), which may be attributed to limitations in sample size rather than instability of the predictive model.

Figure 4
Figure 4 Subgroup analysis of survival outcomes stratified by clinical and pathological characteristics. A: Overall survival (OS) and progression-free survival (PFS) of patients without portal vein tumor thrombus in the training cohort based on the AADN score (log-rank, OS: P < 0.0001, PFS: P = 0.0004); B: OS and PFS of patients with portal vein tumor thrombus in the training cohort based on the AADN score (log-rank, OS: P = 0.0161, PFS: P = 0.0262); C: OS and PFS of patients with AFP < 100 ng/mL in the training cohort based on the AADN score (log-rank, OS: P = 0.0486, PFS: P = 0.2902); D: OS and PFS of patients with AFP ≥ 100 ng/mL in the training cohort based on the AADN score (log-rank, OS: P = 0.0022, PFS: P = 0.0051); E: OS and PFS of Barcelona Clinic Liver Cancer stage B patients in the training cohort based on the AADN score (log-rank, OS: P = 0.0007, PFS: P = 0.0379); F: OS and PFS of Barcelona Clinic Liver Cancer stage C patients in the training cohort based on the AADN score (log-rank, OS: P = 0.0002, PFS: P = 0.0003). PVTT: Portal vein tumor thrombus; OS: Overall survival; AFP: Alpha-fetoprotein; PFS: Progression-free survival; BCLC: Barcelona Clinic Liver Cancer.
DISCUSSION

Multi-disciplinary team has been used in the clinical treatment of HCC, and the treatment plan should be selected based on the stage, liver function and the patient’s physical condition. For advanced-stage patients, systemic therapy is the main treatment. The triple therapy combining immune checkpoint inhibitors, tyrosine kinase inhibitors, and TACE significantly enhances anti-tumor efficacy through multiple mechanisms of synergy[19,21-23]. The combination of TACE and systemic therapy has achieved a synergistic effect through “local killing + systemic immune activation”, and the objective response rate has increased to 50%-70%[24,25]. TACE could release tumor antigens to boost immune response. Targeted drugs such as sorafenib and lenvatinib inhibit the vascular endothelial growth factor receptor pathway to block tumor angiogenesis[26]. Immune checkpoint inhibitors relieve T cell exhaustion and activate anti-tumor immunity by blocking the PD-1/PD-L1 or cytotoxic T-lymphocyte antigen-4 pathways. The combination can further reverse the immunosuppressive microenvironment[27]. However, there is still a lack of effective tools for predicting therapeutic effects at present.

This study utilized multi-center data to construct the AADN score by integrating four key indicators: AFP, ALP, DBIL, and NLR. Generally, AFP is a classic tumor marker for HCC. A high AFP level indicates active tumor proliferation and strong invasiveness[28,29]. As an indicator of hepatobiliary system function and bone metastasis, elevated ALP in HCC is often accompanied by tumor vascular invasion or intrahepatic metastasis. Previous studies have shown that elevated serum ALP is an independent risk factor for the prognosis of HCC patients[30], which was confirmed in our research. DBIL reflects cholestasis and liver function impairment. Young et al’s research[31] found that compared with total bilirubin, DBIL concentration can more accurately predict patients’ tolerance to TACE. Elevated DBIL not only indicates bile excretion disorders but may also be associated with concurrent cholangitis, and biliary tract infection can exacerbate liver function impairment. Moreover, bacterial metabolites activate the Toll-like receptor 4 pathway, induce PD-L1 expression, and weaken the effect of immunotherapy[32,33]. As a biomarker of systemic inflammation, NLR is associated with the progression, metastasis and prognosis of various cancers. Both neutrophils and lymphocytes play significant roles in the “game” between the immune system and tumor cells[34,35]. High NLR reflects an increase in neutrophil infiltration and inhibition of lymphocyte function, suggesting an increase in pro-inflammatory factors (such as interleukin-6 and tumor necrosis factor-α) in the tumor microenvironment, which inhibits the activity of cluster of differentiation 8-positive T lymphocyte cells and promotes immune escape and indicates an imbalance between pro-inflammatory and anti-tumor immune systems, which is associated with a poor prognosis for various solid tumors[36,37]. In this study, the AADN score could predict OS and PFS in uHCC patients undergoing TACE in combination with sintilimab and lenvatinib, which has strong discriminatory power and clinical applicability, effectively distinguishing between low-risk, intermediate-risk, and high-risk groups. The AADN score established through “inflammation-immunity” and “liver function” can provide a more comprehensive assessment of the prognosis of patients receiving triple therapy.

Similarly, studies have shown that the C-reactive protein and AFP in immunotherapy (CRAFITY) score based on serum C-reactive protein and AFP levels has a significant effect in evaluating the prognosis of patients with HCC who receive TACE combined with immunotherapy and targeted therapy. However, the C-index for the CRAFITY score were 0.62-0.66[38-41]. GRAPHS-CRAFITY integrates gender and three magnetic resonance imaging features (gross growth type, intratumoral fat, and enhanced tumor capsule) on the basis of CRAFITY. Compared with the CRAFITY score alone, the GRAPHS-CRAFITY score shows better prognostic prediction and discrimination ability (C index: 0.74 vs 0.66, P < 0.001)[42]. However, gender as a prognostic factor may be questioned. Another study has shown that when OS is used as an outcome indicator to treat advanced cancer, there is no statistically significant association between the patient’s gender and the therapeutic effect[43]. Zeng et al[44] found that total bilirubin ≥ 17 μmol/L, AFP ≥ 400 ng/mL, and extrahepatic metastasis are independent predictors of survival. Further, they constructed the transcatheter arterial embolization score, which plays a role in predicting the acceptance of triple therapy before TACE treatment. The transcatheter arterial embolization score in evaluating the prognosis of patients with lenvatinib and PD-1 inhibitors showed certain efficacy (AUC = 0.807). In our study, the predictive efficacy of the AADN score (AUC = 0.823) has better performance than other scores[45-47].

There are several limitations in our study. Firstly, the retrospective design may have selection bias. Secondly, the sample size is limited, leading to a small size of high-risk group. In the future, we will conduct prospective studies, expand the sample size, and attempt to include more variables to enhance the accuracy and universality of the AADN score.

CONCLUSION

The AADN score precisely stratifies the prognosis of uHCC patients with low-cost and highly accessible blood indicators (based on AFP, ALP, DBIL, and NLR), providing a practical tool for individualized strategies of TACE combined with sintilimab and lenvatinib treatment. In the future, it is necessary to optimize the scoring algorithm through prospective research and expand its application scenarios, ultimately promoting the progress of precision medicine for uHCC.

References
1.  Sung H, Ferlay J, Siegel RL, Laversanne M, Soerjomataram I, Jemal A, Bray F. Global Cancer Statistics 2020: GLOBOCAN Estimates of Incidence and Mortality Worldwide for 36 Cancers in 185 Countries. CA Cancer J Clin. 2021;71:209-249.  [RCA]  [PubMed]  [DOI]  [Full Text]  [Cited by in Crossref: 76817]  [Cited by in RCA: 69357]  [Article Influence: 13871.4]  [Reference Citation Analysis (37)]
2.  Bray F, Laversanne M, Sung H, Ferlay J, Siegel RL, Soerjomataram I, Jemal A. Global cancer statistics 2022: GLOBOCAN estimates of incidence and mortality worldwide for 36 cancers in 185 countries. CA Cancer J Clin. 2024;74:229-263.  [RCA]  [PubMed]  [DOI]  [Full Text]  [Cited by in Crossref: 16785]  [Cited by in RCA: 14456]  [Article Influence: 7228.0]  [Reference Citation Analysis (17)]
3.  Siegel RL, Miller KD, Jemal A. Cancer statistics, 2020. CA Cancer J Clin. 2020;70:7-30.  [RCA]  [PubMed]  [DOI]  [Full Text]  [Cited by in Crossref: 14385]  [Cited by in RCA: 15421]  [Article Influence: 2570.2]  [Reference Citation Analysis (0)]
4.  Forner A, Reig M, Bruix J. Hepatocellular carcinoma. Lancet. 2018;391:1301-1314.  [RCA]  [PubMed]  [DOI]  [Full Text]  [Cited by in Crossref: 4664]  [Cited by in RCA: 4416]  [Article Influence: 552.0]  [Reference Citation Analysis (2)]
5.  Mazzaferro V, Regalia E, Doci R, Andreola S, Pulvirenti A, Bozzetti F, Montalto F, Ammatuna M, Morabito A, Gennari L. Liver transplantation for the treatment of small hepatocellular carcinomas in patients with cirrhosis. N Engl J Med. 1996;334:693-699.  [RCA]  [PubMed]  [DOI]  [Full Text]  [Cited by in Crossref: 5914]  [Cited by in RCA: 5257]  [Article Influence: 175.2]  [Reference Citation Analysis (8)]
6.  Lencioni R, de Baere T, Soulen MC, Rilling WS, Geschwind JF. Lipiodol transarterial chemoembolization for hepatocellular carcinoma: A systematic review of efficacy and safety data. Hepatology. 2016;64:106-116.  [RCA]  [PubMed]  [DOI]  [Full Text]  [Cited by in Crossref: 606]  [Cited by in RCA: 555]  [Article Influence: 55.5]  [Reference Citation Analysis (1)]
7.  Park JW, Chen M, Colombo M, Roberts LR, Schwartz M, Chen PJ, Kudo M, Johnson P, Wagner S, Orsini LS, Sherman M. Global patterns of hepatocellular carcinoma management from diagnosis to death: the BRIDGE Study. Liver Int. 2015;35:2155-2166.  [RCA]  [PubMed]  [DOI]  [Full Text]  [Full Text (PDF)]  [Cited by in Crossref: 1057]  [Cited by in RCA: 1037]  [Article Influence: 94.3]  [Reference Citation Analysis (0)]
8.  Lu J, Zhao M, Arai Y, Zhong BY, Zhu HD, Qi XL, de Baere T, Pua U, Yoon HK, Madoff DC, Teng GJ; International Society of Multidisciplinary Interventional Oncology (ISMIO). Clinical practice of transarterial chemoembolization for hepatocellular carcinoma: consensus statement from an international expert panel of International Society of Multidisciplinary Interventional Oncology (ISMIO). Hepatobiliary Surg Nutr. 2021;10:661-671.  [RCA]  [PubMed]  [DOI]  [Full Text]  [Full Text (PDF)]  [Cited by in Crossref: 112]  [Cited by in RCA: 95]  [Article Influence: 19.0]  [Reference Citation Analysis (0)]
9.  Yang DL, Ye L, Zeng FJ, Liu J, Yao HB, Nong JL, Liu SP, Peng N, Li WF, Wu PS, Qin C, Su Z, Ou JJ, Dong XF, Yan YH, Zhong TM, Mao XS, Wu MS, Chen YZ, Wang GD, Li MJ, Wang XY, Yang FQ, Liang YR, Chen SC, Yang YY, Chen K, Li FX, Lai YC, Pang QQ, Liang XM, You XM, Xiang BD, Yu YQ, Ma L, Zhong JH; GUIDANCE investigators. Multicenter, retrospective GUIDANCE001 study comparing transarterial chemoembolization with or without tyrosine kinase and immune checkpoint inhibitors as conversion therapy to treat unresectable hepatocellular carcinoma: Survival benefit in intermediate or advanced, but not early, stages. Hepatology. 2025;82:357-369.  [RCA]  [PubMed]  [DOI]  [Full Text]  [Cited by in Crossref: 17]  [Cited by in RCA: 17]  [Article Influence: 17.0]  [Reference Citation Analysis (0)]
10.  Moris D, Martinino A, Schiltz S, Allen PJ, Barbas A, Sudan D, King L, Berg C, Kim C, Bashir M, Palta M, Morse MA, Lidsky ME. Advances in the treatment of hepatocellular carcinoma: An overview of the current and evolving therapeutic landscape for clinicians. CA Cancer J Clin. 2025;75:498-527.  [RCA]  [PubMed]  [DOI]  [Full Text]  [Full Text (PDF)]  [Cited by in Crossref: 39]  [Cited by in RCA: 43]  [Article Influence: 43.0]  [Reference Citation Analysis (4)]
11.  Llovet JM, Real MI, Montaña X, Planas R, Coll S, Aponte J, Ayuso C, Sala M, Muchart J, Solà R, Rodés J, Bruix J; Barcelona Liver Cancer Group. Arterial embolisation or chemoembolisation versus symptomatic treatment in patients with unresectable hepatocellular carcinoma: a randomised controlled trial. Lancet. 2002;359:1734-1739.  [RCA]  [PubMed]  [DOI]  [Full Text]  [Cited by in Crossref: 2830]  [Cited by in RCA: 2588]  [Article Influence: 107.8]  [Reference Citation Analysis (3)]
12.  Kudo M. Immune Checkpoint Inhibitors plus Anti-VEGF/Tyrosine Kinase Inhibitors Combined with TACE (Triple Therapy) in Unresectable Hepatocellular Carcinoma. Liver Cancer. 2024;13:227-234.  [RCA]  [PubMed]  [DOI]  [Full Text]  [Full Text (PDF)]  [Cited by in Crossref: 13]  [Cited by in RCA: 12]  [Article Influence: 6.0]  [Reference Citation Analysis (0)]
13.  Zhang JX, Hua HJ, Cheng Y, Liu S, Shi HB, Zu QQ. Role of Transarterial Chemoembolization in the Era of Tyrosine Kinase Inhibitor and Immune Checkpoint Inhibitor Combination Therapy for Unresectable Hepatocellular Carcinoma: A Retrospective Propensity Score Matched Analysis. Acad Radiol. 2024;31:1304-1311.  [RCA]  [PubMed]  [DOI]  [Full Text]  [Cited by in Crossref: 19]  [Cited by in RCA: 18]  [Article Influence: 9.0]  [Reference Citation Analysis (0)]
14.  Fu Y, Zeng CH, An C, Liu Y, Shin JH, Li X. How Biology Guides the Combination of Locoregional Interventional Therapies and Immunotherapy for Hepatocellular Carcinoma: Cytokines and Their Roles. Cancers (Basel). 2023;15:1324.  [RCA]  [PubMed]  [DOI]  [Full Text]  [Full Text (PDF)]  [Cited by in Crossref: 5]  [Cited by in RCA: 5]  [Article Influence: 1.7]  [Reference Citation Analysis (0)]
15.  Jin H, Qin S, He J, Xiao J, Li Q, Mao Y, Zhao L. New insights into checkpoint inhibitor immunotherapy and its combined therapies in hepatocellular carcinoma: from mechanisms to clinical trials. Int J Biol Sci. 2022;18:2775-2794.  [RCA]  [PubMed]  [DOI]  [Full Text]  [Full Text (PDF)]  [Cited by in Crossref: 52]  [Cited by in RCA: 46]  [Article Influence: 11.5]  [Reference Citation Analysis (0)]
16.  Finn RS, Ikeda M, Zhu AX, Sung MW, Baron AD, Kudo M, Okusaka T, Kobayashi M, Kumada H, Kaneko S, Pracht M, Mamontov K, Meyer T, Kubota T, Dutcus CE, Saito K, Siegel AB, Dubrovsky L, Mody K, Llovet JM. Phase Ib Study of Lenvatinib Plus Pembrolizumab in Patients With Unresectable Hepatocellular Carcinoma. J Clin Oncol. 2020;38:2960-2970.  [RCA]  [PubMed]  [DOI]  [Full Text]  [Cited by in Crossref: 958]  [Cited by in RCA: 939]  [Article Influence: 156.5]  [Reference Citation Analysis (1)]
17.  Xu J, Shen J, Gu S, Zhang Y, Wu L, Wu J, Shao G, Zhang Y, Xu L, Yin T, Liu J, Ren Z, Xiong J, Mao X, Zhang L, Yang J, Li L, Chen X, Wang Z, Gu K, Chen X, Pan Z, Ma K, Zhou X, Yu Z, Li E, Yin G, Zhang X, Wang S, Wang Q. Camrelizumab in Combination with Apatinib in Patients with Advanced Hepatocellular Carcinoma (RESCUE): A Nonrandomized, Open-label, Phase II Trial. Clin Cancer Res. 2021;27:1003-1011.  [RCA]  [PubMed]  [DOI]  [Full Text]  [Cited by in Crossref: 475]  [Cited by in RCA: 439]  [Article Influence: 87.8]  [Reference Citation Analysis (0)]
18.  Wu JY, Zhang ZB, Zhou JY, Ke JP, Bai YN, Chen YF, Wu JY, Zhou SQ, Wang SJ, Zeng ZX, Li YN, Qiu FN, Li B, Yan ML. Outcomes of Salvage Surgery for Initially Unresectable Hepatocellular Carcinoma Converted by Transcatheter Arterial Chemoembolization Combined with Lenvatinib plus Anti-PD-1 Antibodies: A Multicenter Retrospective Study. Liver Cancer. 2023;12:229-237.  [RCA]  [PubMed]  [DOI]  [Full Text]  [Full Text (PDF)]  [Cited by in Crossref: 47]  [Cited by in RCA: 50]  [Article Influence: 16.7]  [Reference Citation Analysis (0)]
19.  Wu JY, Yin ZY, Bai YN, Chen YF, Zhou SQ, Wang SJ, Zhou JY, Li YN, Qiu FN, Li B, Yan ML. Lenvatinib Combined with Anti-PD-1 Antibodies Plus Transcatheter Arterial Chemoembolization for Unresectable Hepatocellular Carcinoma: A Multicenter Retrospective Study. J Hepatocell Carcinoma. 2021;8:1233-1240.  [RCA]  [PubMed]  [DOI]  [Full Text]  [Cited by in Crossref: 122]  [Cited by in RCA: 113]  [Article Influence: 22.6]  [Reference Citation Analysis (0)]
20.  World Medical Association. World Medical Association Declaration of Helsinki: ethical principles for medical research involving human subjects. JAMA. 2013;310:2191-2194.  [RCA]  [PubMed]  [DOI]  [Full Text]  [Cited by in Crossref: 24525]  [Cited by in RCA: 20658]  [Article Influence: 1589.1]  [Reference Citation Analysis (9)]
21.  Lai Z, He M, Bu X, Xu Y, Huang Y, Wen D, Li Q, Xu L, Zhang Y, Wei W, Chen M, Kan A, Shi M. Lenvatinib, toripalimab plus hepatic arterial infusion chemotherapy in patients with high-risk advanced hepatocellular carcinoma: A biomolecular exploratory, phase II trial. Eur J Cancer. 2022;174:68-77.  [RCA]  [PubMed]  [DOI]  [Full Text]  [Cited by in Crossref: 136]  [Cited by in RCA: 126]  [Article Influence: 31.5]  [Reference Citation Analysis (0)]
22.  Ke Q, Xin F, Fang H, Zeng Y, Wang L, Liu J. The Significance of Transarterial Chemo(Embolization) Combined With Tyrosine Kinase Inhibitors and Immune Checkpoint Inhibitors for Unresectable Hepatocellular Carcinoma in the Era of Systemic Therapy: A Systematic Review. Front Immunol. 2022;13:913464.  [RCA]  [PubMed]  [DOI]  [Full Text]  [Full Text (PDF)]  [Cited by in Crossref: 38]  [Cited by in RCA: 38]  [Article Influence: 9.5]  [Reference Citation Analysis (0)]
23.  Yang F, Xu GL, Huang JT, Yin Y, Xiang W, Zhong BY, Li WC, Shen J, Zhang S, Yang J, Sun HP, Wang WS, Zhu XL. Transarterial Chemoembolization Combined With Immune Checkpoint Inhibitors and Tyrosine Kinase Inhibitors for Unresectable Hepatocellular Carcinoma: Efficacy and Systemic Immune Response. Front Immunol. 2022;13:847601.  [RCA]  [PubMed]  [DOI]  [Full Text]  [Full Text (PDF)]  [Cited by in Crossref: 35]  [Cited by in RCA: 37]  [Article Influence: 9.3]  [Reference Citation Analysis (0)]
24.  Cao F, Yang Y, Si T, Luo J, Zeng H, Zhang Z, Feng D, Chen Y, Zheng J. The Efficacy of TACE Combined With Lenvatinib Plus Sintilimab in Unresectable Hepatocellular Carcinoma: A Multicenter Retrospective Study. Front Oncol. 2021;11:783480.  [RCA]  [PubMed]  [DOI]  [Full Text]  [Full Text (PDF)]  [Cited by in Crossref: 81]  [Cited by in RCA: 80]  [Article Influence: 16.0]  [Reference Citation Analysis (2)]
25.  Mu MY, Chen ZX, Cao YZ, Fu XB, Qiu LJ, Qi H, Gao F. Transarterial chemoembolization combined with intra-arterial infusion of sintilimab and bevacizumab for advanced hepatocellular carcinoma: a phase 2 study. Cancer Lett. 2025;628:217851.  [RCA]  [PubMed]  [DOI]  [Full Text]  [Cited by in Crossref: 8]  [Cited by in RCA: 8]  [Article Influence: 8.0]  [Reference Citation Analysis (0)]
26.  Kudo M, Finn RS, Qin S, Han KH, Ikeda K, Piscaglia F, Baron A, Park JW, Han G, Jassem J, Blanc JF, Vogel A, Komov D, Evans TRJ, Lopez C, Dutcus C, Guo M, Saito K, Kraljevic S, Tamai T, Ren M, Cheng AL. Lenvatinib versus sorafenib in first-line treatment of patients with unresectable hepatocellular carcinoma: a randomised phase 3 non-inferiority trial. Lancet. 2018;391:1163-1173.  [RCA]  [PubMed]  [DOI]  [Full Text]  [Cited by in Crossref: 4538]  [Cited by in RCA: 4203]  [Article Influence: 525.4]  [Reference Citation Analysis (2)]
27.  Ribas A, Wolchok JD. Cancer immunotherapy using checkpoint blockade. Science. 2018;359:1350-1355.  [RCA]  [PubMed]  [DOI]  [Full Text]  [Full Text (PDF)]  [Cited by in Crossref: 5744]  [Cited by in RCA: 5073]  [Article Influence: 634.1]  [Reference Citation Analysis (1)]
28.  Galle PR, Foerster F, Kudo M, Chan SL, Llovet JM, Qin S, Schelman WR, Chintharlapalli S, Abada PB, Sherman M, Zhu AX. Biology and significance of alpha-fetoprotein in hepatocellular carcinoma. Liver Int. 2019;39:2214-2229.  [RCA]  [PubMed]  [DOI]  [Full Text]  [Cited by in Crossref: 492]  [Cited by in RCA: 446]  [Article Influence: 63.7]  [Reference Citation Analysis (1)]
29.  Galle PR, Finn RS, Qin S, Ikeda M, Zhu AX, Kim TY, Kudo M, Breder V, Merle P, Kaseb A, Li D, Mulla S, Verret W, Xu DZ, Hernandez S, Ding B, Liu J, Huang C, Lim HY, Cheng AL, Ducreux M. Patient-reported outcomes with atezolizumab plus bevacizumab versus sorafenib in patients with unresectable hepatocellular carcinoma (IMbrave150): an open-label, randomised, phase 3 trial. Lancet Oncol. 2021;22:991-1001.  [RCA]  [PubMed]  [DOI]  [Full Text]  [Cited by in Crossref: 318]  [Cited by in RCA: 270]  [Article Influence: 54.0]  [Reference Citation Analysis (0)]
30.  Wu SJ, Lin YX, Ye H, Xiong XZ, Li FY, Cheng NS. Prognostic value of alkaline phosphatase, gamma-glutamyl transpeptidase and lactate dehydrogenase in hepatocellular carcinoma patients treated with liver resection. Int J Surg. 2016;36:143-151.  [RCA]  [PubMed]  [DOI]  [Full Text]  [Cited by in Crossref: 89]  [Cited by in RCA: 82]  [Article Influence: 8.2]  [Reference Citation Analysis (0)]
31.  Young S, Sanghvi T, Lake JJ, Rubin N, Golzarian J. Predicting post-transarterial chemoembolization outcomes: A comparison of direct and total bilirubin serums levels. Diagn Interv Imaging. 2020;101:355-364.  [RCA]  [PubMed]  [DOI]  [Full Text]  [Full Text (PDF)]  [Cited by in Crossref: 12]  [Cited by in RCA: 9]  [Article Influence: 1.5]  [Reference Citation Analysis (0)]
32.  Hou J, Karin M, Sun B. Targeting cancer-promoting inflammation - have anti-inflammatory therapies come of age? Nat Rev Clin Oncol. 2021;18:261-279.  [RCA]  [PubMed]  [DOI]  [Full Text]  [Full Text (PDF)]  [Cited by in Crossref: 329]  [Cited by in RCA: 274]  [Article Influence: 54.8]  [Reference Citation Analysis (0)]
33.  Jalan R, Fernandez J, Wiest R, Schnabl B, Moreau R, Angeli P, Stadlbauer V, Gustot T, Bernardi M, Canton R, Albillos A, Lammert F, Wilmer A, Mookerjee R, Vila J, Garcia-Martinez R, Wendon J, Such J, Cordoba J, Sanyal A, Garcia-Tsao G, Arroyo V, Burroughs A, Ginès P. Bacterial infections in cirrhosis: a position statement based on the EASL Special Conference 2013. J Hepatol. 2014;60:1310-1324.  [RCA]  [PubMed]  [DOI]  [Full Text]  [Cited by in Crossref: 737]  [Cited by in RCA: 666]  [Article Influence: 55.5]  [Reference Citation Analysis (0)]
34.  Powell DR, Huttenlocher A. Neutrophils in the Tumor Microenvironment. Trends Immunol. 2016;37:41-52.  [RCA]  [PubMed]  [DOI]  [Full Text]  [Full Text (PDF)]  [Cited by in Crossref: 505]  [Cited by in RCA: 471]  [Article Influence: 47.1]  [Reference Citation Analysis (0)]
35.  Dunn GP, Old LJ, Schreiber RD. The immunobiology of cancer immunosurveillance and immunoediting. Immunity. 2004;21:137-148.  [RCA]  [PubMed]  [DOI]  [Full Text]  [Cited by in Crossref: 2330]  [Cited by in RCA: 2057]  [Article Influence: 93.5]  [Reference Citation Analysis (0)]
36.  Grivennikov SI, Greten FR, Karin M. Immunity, inflammation, and cancer. Cell. 2010;140:883-899.  [RCA]  [PubMed]  [DOI]  [Full Text]  [Full Text (PDF)]  [Cited by in Crossref: 8980]  [Cited by in RCA: 8380]  [Article Influence: 523.8]  [Reference Citation Analysis (1)]
37.  Stotz M, Pichler M, Absenger G, Szkandera J, Arminger F, Schaberl-Moser R, Samonigg H, Stojakovic T, Gerger A. The preoperative lymphocyte to monocyte ratio predicts clinical outcome in patients with stage III colon cancer. Br J Cancer. 2014;110:435-440.  [RCA]  [PubMed]  [DOI]  [Full Text]  [Full Text (PDF)]  [Cited by in Crossref: 252]  [Cited by in RCA: 260]  [Article Influence: 21.7]  [Reference Citation Analysis (0)]
38.  Hu ZX, Xu XY, Wang Z, Huang JT, Li WC, Zhang S, Shen J, Zhong BY, Zhu XL. Prognosis Prediction of CRAFITY Score in HCC Undergoing TACE Combined with PD-(L)1 Inhibitors and Molecular Targeted Therapy. J Hepatocell Carcinoma. 2023;10:2073-2082.  [RCA]  [PubMed]  [DOI]  [Full Text]  [Cited by in Crossref: 13]  [Cited by in RCA: 12]  [Article Influence: 4.0]  [Reference Citation Analysis (0)]
39.  Zhang L, Sun T, Sun B, Zhang K, Zheng Y, Li N, Chen L, Zheng C, Liang B, Shi H. Utility and predictive value of the CRAFITY score in advanced hepatocellular carcinoma treated with transarterial chemoembolization plus tyrosine kinase inhibitors and PD-1 inhibitor. BMC Cancer. 2024;24:223.  [RCA]  [PubMed]  [DOI]  [Full Text]  [Full Text (PDF)]  [Cited by in Crossref: 11]  [Cited by in RCA: 11]  [Article Influence: 5.5]  [Reference Citation Analysis (0)]
40.  Scheiner B, Pomej K, Kirstein MM, Hucke F, Finkelmeier F, Waidmann O, Himmelsbach V, Schulze K, von Felden J, Fründt TW, Stadler M, Heinzl H, Shmanko K, Spahn S, Radu P, Siebenhüner AR, Mertens JC, Rahbari NN, Kütting F, Waldschmidt DT, Ebert MP, Teufel A, De Dosso S, Pinato DJ, Pressiani T, Meischl T, Balcar L, Müller C, Mandorfer M, Reiberger T, Trauner M, Personeni N, Rimassa L, Bitzer M, Trojan J, Weinmann A, Wege H, Dufour JF, Peck-Radosavljevic M, Vogel A, Pinter M. Prognosis of patients with hepatocellular carcinoma treated with immunotherapy - development and validation of the CRAFITY score. J Hepatol. 2022;76:353-363.  [RCA]  [PubMed]  [DOI]  [Full Text]  [Cited by in Crossref: 247]  [Cited by in RCA: 234]  [Article Influence: 58.5]  [Reference Citation Analysis (0)]
41.  Yang Y, Ouyang J, Zhou Y, Zhou J, Zhao H. The CRAFITY score: A promising prognostic predictor for patients with hepatocellular carcinoma treated with tyrosine kinase inhibitor and immunotherapy combinations. J Hepatol. 2022;77:574-576.  [RCA]  [PubMed]  [DOI]  [Full Text]  [Cited by in Crossref: 20]  [Cited by in RCA: 19]  [Article Influence: 4.8]  [Reference Citation Analysis (0)]
42.  Yang Y, Li L, Xu Y, Ouyang J, Zhou Y, Ye F, Huang Z, Zhang W, Zhou A, Zhao X, Cai J, Wang Y, Zhou J, Zhao H. The GRAPHS-CRAFITY score: a novel efficacy predictive tool for unresectable hepatocellular carcinoma treated with immunotherapy. Radiol Med. 2024;129:188-201.  [RCA]  [PubMed]  [DOI]  [Full Text]  [Cited by in Crossref: 7]  [Cited by in RCA: 7]  [Article Influence: 3.5]  [Reference Citation Analysis (0)]
43.  Wallis CJD, Butaney M, Satkunasivam R, Freedland SJ, Patel SP, Hamid O, Pal SK, Klaassen Z. Association of Patient Sex With Efficacy of Immune Checkpoint Inhibitors and Overall Survival in Advanced Cancers: A Systematic Review and Meta-analysis. JAMA Oncol. 2019;5:529-536.  [RCA]  [PubMed]  [DOI]  [Full Text]  [Full Text (PDF)]  [Cited by in Crossref: 241]  [Cited by in RCA: 223]  [Article Influence: 31.9]  [Reference Citation Analysis (0)]
44.  Zeng ZX, Wu JY, Wu JY, Li YN, Fu YK, Zhang ZB, Liu DY, Li H, Ou XY, Zhuang SW, Yan ML. The TAE score predicts prognosis of unresectable HCC patients treated with TACE plus lenvatinib with PD-1 inhibitors. Hepatol Int. 2024;18:651-660.  [RCA]  [PubMed]  [DOI]  [Full Text]  [Cited by in Crossref: 20]  [Cited by in RCA: 15]  [Article Influence: 7.5]  [Reference Citation Analysis (0)]
45.  Kadalayil L, Benini R, Pallan L, O'Beirne J, Marelli L, Yu D, Hackshaw A, Fox R, Johnson P, Burroughs AK, Palmer DH, Meyer T. A simple prognostic scoring system for patients receiving transarterial embolisation for hepatocellular cancer. Ann Oncol. 2013;24:2565-2570.  [RCA]  [PubMed]  [DOI]  [Full Text]  [Full Text (PDF)]  [Cited by in Crossref: 313]  [Cited by in RCA: 301]  [Article Influence: 23.2]  [Reference Citation Analysis (1)]
46.  Johnson PJ, Berhane S, Kagebayashi C, Satomura S, Teng M, Reeves HL, O'Beirne J, Fox R, Skowronska A, Palmer D, Yeo W, Mo F, Lai P, Iñarrairaegui M, Chan SL, Sangro B, Miksad R, Tada T, Kumada T, Toyoda H. Assessment of liver function in patients with hepatocellular carcinoma: a new evidence-based approach-the ALBI grade. J Clin Oncol. 2015;33:550-558.  [RCA]  [PubMed]  [DOI]  [Full Text]  [Cited by in Crossref: 2296]  [Cited by in RCA: 2212]  [Article Influence: 201.1]  [Reference Citation Analysis (0)]
47.  Pinato DJ, Sharma R, Allara E, Yen C, Arizumi T, Kubota K, Bettinger D, Jang JW, Smirne C, Kim YW, Kudo M, Howell J, Ramaswami R, Burlone ME, Guerra V, Thimme R, Ishizuka M, Stebbing J, Pirisi M, Carr BI. The ALBI grade provides objective hepatic reserve estimation across each BCLC stage of hepatocellular carcinoma. J Hepatol. 2017;66:338-346.  [RCA]  [PubMed]  [DOI]  [Full Text]  [Cited by in Crossref: 325]  [Cited by in RCA: 320]  [Article Influence: 35.6]  [Reference Citation Analysis (0)]
Footnotes

Provenance and peer review: Unsolicited article; Externally peer reviewed.

Peer-review model: Single blind

Specialty type: Gastroenterology and hepatology

Country of origin: China

Peer-review report’s classification

Scientific Quality: Grade A, Grade A, Grade B

Novelty: Grade A, Grade B, Grade C

Creativity or Innovation: Grade A, Grade A, Grade C

Scientific Significance: Grade A, Grade B, Grade C

Open Access: This article is an open-access article that was selected by an in-house editor and fully peer-reviewed by external reviewers. It is distributed in accordance with the Creative Commons Attribution NonCommercial (CC BY-NC 4.0) license, which permits others to distribute, remix, adapt, build upon this work non-commercially, and license their derivative works on different terms, provided the original work is properly cited and the use is non-commercial. See: https://creativecommons.org/Licenses/by-nc/4.0/

P-Reviewer: Li DH, MD, Professor, China; Lucke-Wold B, PhD, United States S-Editor: Zuo Q L-Editor: A P-Editor: Xu J

Write to the Help Desk