BPG is committed to discovery and dissemination of knowledge
Retrospective Cohort Study Open Access
©The Author(s) 2025. Published by Baishideng Publishing Group Inc. All rights reserved.
World J Gastroenterol. Oct 28, 2025; 31(40): 110932
Published online Oct 28, 2025. doi: 10.3748/wjg.v31.i40.110932
Serum gamma-glutamyl transferase level is associated with the risk of pancreatic cystic neoplasms: A nationwide retrospective cohort study
Min Woo Lee, In Rae Cho, Jin Ho Choi, Woo Hyun Paik, Ji Kon Ryu, Sang Hyub Lee, Department of Internal Medicine and Liver Research Institute, Seoul National University Hospital, Seoul National University College of Medicine, Seoul 03080, South Korea
Jin Myung Park, Department of Internal Medicine, Kangwon National University School of Medicine, Chuncheon 24289, South Korea
Kwang Hyun Chung, Department of Internal Medicine, Soon Chun Hyang University Hospital, Seoul 04401, South Korea
Bong Seong Kim, Kyungdo Han, Department of Statistics and Actuarial Science, Soongsil University, Seoul 06978, South Korea
ORCID number: Min Woo Lee (0000-0003-3011-1425); Jin Myung Park (0000-0002-8798-0587); In Rae Cho (0000-0001-9874-5526); Kwang Hyun Chung (0000-0002-8376-3921); Bong Seong Kim (0000-0002-1022-3553); Jin Ho Choi (0000-0003-2758-1370); Woo Hyun Paik (0000-0001-8708-3280); Ji Kon Ryu (0000-0001-8798-0491); Kyungdo Han (0000-0002-9622-0643); Sang Hyub Lee (0000-0003-2174-9726).
Co-first authors: Min Woo Lee and Jin Myung Park.
Co-corresponding authors: Kyungdo Han and Sang Hyub Lee.
Author contributions: Lee MW and Park JM contributed equally as co-first authors, participated in the formal analysis, investigation, and wrote the original draft; Kim BS and Han K were responsible for developing the methodology; Cho IR, Chung KH, Choi JH, Paik WH, Ryu JK, Han K, and Lee SH participated in the review and editing; Han K and Lee SH designed the study and acquired funding, contributed equally as co-corresponding authors. All authors approved the final version to publish.
Institutional review board statement: This study was approved by the Institutional Review Board of Seoul National University Hospital, No. H-2406-052-1542.
Informed consent statement: The information on the subjects stored in the database was de-identified before the researchers accessed the data. Therefore, informed consent was waived for this study.
Conflict-of-interest statement: All the authors report no relevant conflicts of interest for this article.
STROBE statement: The authors have read the STROBE Statement-checklist of items, and the manuscript was prepared and revised according to the STROBE Statement-checklist of items.
Data sharing statement: The datasets generated during and/or analyzed during the current study are available from the corresponding author on reasonable request.
Corresponding author: Sang Hyub Lee, MD, PhD, Professor, Department of Internal Medicine and Liver Research Institute, Seoul National University Hospital, Seoul National University College of Medicine, 101 Daehak-ro, Jongno-gu, Seoul 03080, South Korea. gidoctor@snu.ac.kr
Received: June 19, 2025
Revised: July 29, 2025
Accepted: September 16, 2025
Published online: October 28, 2025
Processing time: 130 Days and 17.2 Hours

Abstract
BACKGROUND

Gamma-glutamyl transferase (GGT) is a known surrogate marker of hepatic dysfunction and oxidative stress. It has recently been reported to be associated with metabolic diseases, cardiovascular diseases, and malignancies including pancreatic cancer. However, data on its association with pancreatic cystic neoplasm (PCN), is unknown.

AIM

To investigate the association of GGT with the incidence of PCN.

METHODS

In this nationwide retrospective cohort study, participants who received general health checkup by National Health Insurance Service in 2009 were included. Newly diagnosed PCNs from one year after the checkup to 2020 were identified. Participants were divided into quartiles based on GGT levels. Multivariable cox proportional hazard models estimated the risk of PCNs according to GGT quartiles (Q1-Q4). Subgroup analyses by age, sex, and comorbidities, and sensitivity analyses varying lag periods and GGT categorizations were performed.

RESULTS

There were 28940 cases of PCNs among 2655665 eligible participants. The incidence rate was 1.09 cases per 1000 person-years, with a median follow-up of 10.32 (interquartile range: 10.09-10.58) years. In multivariate regression analysis, adjusted hazard ratios for GGT quartiles using Q1 group as a reference were: 1.04 [95% confidence interval (CI): 1.005-1.075] for Q2, 1.065 (95%CI: 1.03-1.102) for Q3, and 1.109 (95%CI: 1.07-1.15) for Q4. Subgroup analysis showed consistent results across age, sex, and comorbidities. In sensitivity analyses, the association remained robust even at 3-year and 5-year lag periods. A clear dose-response relationship was also observed when using GGT deciles (All P for trend < 0.001).

CONCLUSION

Higher GGT level is associated with increased risk of PCNs. Therefore, serum GGT levels might have a role as a biomarker for the development of PCNs.

Key Words: Pancreatic cystic neoplasm; Gamma-glutamyl transferase; Biomarker; Cohort study; Epidemiology

Core Tip: Gamma-glutamyl transferase (GGT), a marker of oxidative stress and hepatic dysfunction, has been reported to be associated with metabolic diseases and malignancies including pancreatic cancer. However, its role in pancreatic cystic neoplasm (PCN) has not been investigated. In this nationwide retrospective cohort study of over 2.6 million people, higher serum GGT levels were independently associated with an increased risk of PCN. This association remained robust in subgroup and sensitivity analyses when adjusting for lag period and GGT categorization. This is the first large-scale study suggesting GGT as a potential biomarker for identifying individuals at high risk of PCN.



INTRODUCTION

Pancreatic cystic neoplasm (PCN) is a heterogeneous group of cystic tumors that include serous cystic adenomas, mucinous cystic neoplasms, intraductal papillary mucinous neoplasms, and rarely solid pseudopapillary tumors[1]. Among them, mucinous cysts have some risk of progressing to invasive carcinoma or developing concomitant pancreatic ductal adenocarcinoma[2-5]. Therefore, risk stratification and surveillance strategy are always needed for PCN[6-8]. Progression of PCN to invasive carcinoma has been extensively investigated, including genetic alterations, metabolites, and serologic markers such as carbohydrate antigen 19-9[9-11]. However, few studies have reported the development of PCN[12,13]. In addition, many guidelines focus on risk stratification and surveillance rather than early detection[6,14].

With recent improvement in the resolution of cross-sectional imaging, the detection of PCNs has increased over the years[15]. PCNs are usually asymptomatic, and most lesions are identified incidentally on cross-sectional imaging[16,17]. Many researchers have investigated factors associated with PCN and found that their prevalence is associated with age, body mass index (BMI), and diabetes[15,18,19]. However, it is not known which factors are associated with the incidence of PCN[19].

Gamma-glutamyl transferase (GGT) reflects hepatic dysfunction or oxidative stress. It has recently been reported to be associated with metabolic diseases, cardiovascular diseases, and malignancies[20-22]. Furthermore, some researchers have found an association between GGT and pancreatic cancer[23,24]. However, data on the association between GGT and PCN are still limited. Therefore, this study aimed to investigate the association between GGT and incidence of PCN in a nationwide population-based retrospective cohort with long-term surveillance.

MATERIALS AND METHODS
Data collection

This nationwide retrospective cohort study utilized data from 2.8 million people who underwent general health checkups by the National Health Insurance Service (NHIS) of South Korea in 2009. The NHIS is a single-payer, mandatory healthcare system that covers approximately 97% of the South Korean population. The remaining 3%, consisting of low-income individuals, are supported by the Medical Aid Program, which is also integrated into the NHIS database. As a result, the NHIS database represents the entire population of South Korea, approximately 50 million people. While initially established for administrative and reimbursement purposes, the database has evolved into a comprehensive healthcare database. It encompasses a wide range of health information, including demographics, socioeconomic status, diagnoses, surgeries, prescriptions, and health checkups[25,26]. The NHIS has been providing free health checkups biannually after the age of 40 since 2009. This health checkup includes anthropometric measurements (height, weight, waist circumference), blood pressure measurements, laboratory tests, health-related behavioral surveys (smoking, drinking, regular exercise), and medical and family history[27]. In this study, individuals who underwent health checkups in 2009 were selected to establish a homogeneous cohort with the most extended follow-up period (up to 11 years). Diagnosis histories for pancreatitis, pseudocysts, pancreatic cancer, and PCNs were extracted from the NHIS database using the International Classification of Diseases-10th Revision, Clinical Modification (ICD-10-CM) diagnostic codes (Supplementary Table 1). This study was approved by the Institutional Review Board of Seoul National University Hospital, No. H-2406-052-1542, and reported in accordance with the STROBE guideline[28].

Study population

The timeline of this study and the process of identifying the cohort are shown in Figure 1. We identified 2896383 people aged 40 years or more who had a health checkup between January 1 and December 31, 2009. To exclude individuals who already had PCN, cases diagnosed with pancreatitis/pseudocysts (n = 64763) or PCNs (n = 4298) until the date of health checkup were excluded. Participants who had a general health checkup but had missing values for any of the variables used in the study (n = 160987) were also excluded. Finally, cases diagnosed with PCN or death within a 1-year lag period of enrollment (n = 10670) were excluded to eliminate the possibility of pre-existing PCN.

Figure 1
Figure 1 Study population. Participants underwent general health checkups in 2009 (index period), and a one-year lag period was applied. The follow-up period was until December 31, 2020. Among the 2896383 participants aged 40 years or older, those with a history of pancreatitis or pseudocyst (n = 64763), or a previous diagnosis of pancreatic cystic neoplasm (n = 4298), those with missing data (n = 160987), or those who were diagnosed with pancreatic cystic neoplasm or died within the one-year lag period (n = 10670) were excluded. The final study population consisted of 2655665 individuals, of whom 28940 developed pancreatic cystic neoplasm during the follow-up period.
Covariates measurements

All clinical and laboratory measurements were obtained during the 2009 NHIS health checkup. The following variables were measured by the clinician: Age, sex, height, weight, waist circumference, and systolic/diastolic blood pressure. BMI was calculated by dividing weight by the square of height (kg/m2). Laboratory tests included fasting blood glucose, estimated glomerular filtration rate, liver function tests [aspartate aminotransferase (AST), alanine aminotransferase (ALT), GGT], and lipid profile (total cholesterol, triglycerides, high-density lipoprotein cholesterol, low-density lipoprotein cholesterol). Comorbidities such as hypertension, type 2 diabetes, chronic kidney disease, and dyslipidemia were defined based on ICD-10-CM diagnostic codes, NHIS codes, prescribed medications, and health checkup data (Supplementary Table 2).

Information on lifestyle variables was collected through standardized questionnaires during health checkups, including smoking history (nonsmoker, ex-smoker, or current smoker), alcohol consumption [none, mild-to-moderate consumption (< 20 g/day for females, < 30 g/day for males), or heavy consumption (≥ 20 g/day for females, ≥ 30 g/day for males)], and regular exercise (intense 20-minute workouts ≥ 3 days weekly or moderate 30-minute workouts ≥ 5 days weekly). Low-income group was defined as being the lowest quartile of income-proportional insurance premiums or receiving medical aid program.

Study outcomes

The primary outcome was the incidence of newly developed PCNs after index health checkups. PCNs were identified using ICD-10-CM codes and diagnosis dates from the NHIS database (K86.2 for pancreas cyst; D13.6 for cystic neoplasm of pancreas, benign; D37.7 for cystic neoplasm of pancreas, uncertain behavior). Incidence rates of PCN were stratified by sex-specific quartile of serum GGT level (Q1, < 23 IU/L for males and < 14 IU/L for females; Q2, < 34 IU/L for males and < 18 IU/L for females; Q3, < 57 IU/L for males and < 26 IU/L for females; Q4, ≥ 57 IU/L for males and ≥ 26 IU/L for females). The association between GGT level and risk of PCN was evaluated by regression analysis. Subgroup analyses were performed according to age, sex, obesity, lifestyle factors (smoking, alcohol consumption, and regular exercise), and comorbidities (hypertension, diabetes mellitus, dyslipidemia, and chronic kidney disease).

Statistical analysis

For continuous variables, normality was assessed using the Shapiro-Wilk test. Continuous variables with normal distribution were presented with mean ± SD. Continuous variables without normal distributions were presented with geometric means and 95% confidence intervals (CIs). Differences between GGT quartile groups were evaluated using one-way analysis on variance for continuous variables and χ2 tests for categorical variables. Incidence rates for PCN of each quartile were calculated by dividing the number of events by 1000 person-years. The cumulative incidence probability for each quartile group was plotted using Kaplan-Meier curves and compared using the log-rank test. Multivariable Cox proportional regression analyses were used to estimate hazard ratios (HRs) and 95%CIs for the association between serum GGT level and the risk of PCN. Model 1 was unadjusted. Model 2 was adjusted for age and sex. Model 3 was adjusted for age, sex, lifestyle factors (smoking, alcohol consumption, regular exercise, and income quartile), comorbidities (diabetes, hypertension, dyslipidemia, and chronic kidney disease), and liver enzyme levels (AST and ALT)[29-31]. A two-sided P value of less than 0.05 was considered statistically significant. Statistical analyses were performed using SAS version 9.3 (SAS Institute Inc., Cary, NC, United States) and R version 4.4.1 (The R Foundation for Statistical Computing, Vienna, Austria).

RESULTS
Baseline characteristics

Table 1 presents baseline characteristics of the cohort by quartile of serum GGT level. There were 2655665 participants aged 54.3 ± 10.5 years. Regarding the percentage of participants in each quartile, it was 25.5% in Q1, 23.8% in Q2, 25.7% in Q3, and 25.0% in Q4. Those in higher quartiles had higher blood pressure, higher weights, higher waist circumferences, higher BMI, higher rates of current smoking and higher rates of heavy alcohol consumption but lower rates of regular exercise. Higher quartile groups showed higher prevalence of diabetes mellitus, hypertension, and dyslipidemia. In laboratory tests during the NHIS health checkup, serum total cholesterol, triglycerides, and liver enzyme levels were higher in higher quartile groups.

Table 1 Baseline characteristics grouped by gamma-glutamyl transferase level, mean ± SD/n (%)/median (interquartile range).

Serum GGT level
P value
Q1 (n = 678027)
Q2 (n = 631006)
Q3 (n = 683678)
Q4 (n = 662954)
Age, years53.99 ± 11.0454.34 ± 10.5754.54 ± 10.354.3 ± 9.92< 0.0001
Sex (male)330522 (48.75)326287 (51.71)335805 (49.12)336263 (50.72)< 0.0001
Height, cm161.72 ± 8.57161.94 ± 8.75161.46 ± 8.94161.51 ± 9.02< 0.0001
Weight, kg60.08 ± 9.4462.32 ± 10.2663.76 ± 10.865.23 ± 11.11< 0.0001
BMI, kg/m222.91 ± 2.6823.68 ± 2.8524.37 ± 3.0124.93 ± 3.2< 0.0001
Waist circumference, cm78.19 ± 7.9680.51 ± 8.3282.23 ± 8.4783.94 ± 8.51< 0.0001
Systolic BP, mmHg120.82 ± 15.02123.24 ± 15.11125.23 ± 15.35127.69 ± 15.79< 0.0001
Diastolic BP, mmHg74.9 ± 9.8776.57 ± 9.9577.85 ± 10.1279.49 ± 10.45< 0.0001
Income,
lowest quartile
139230 (20.53)126443 (20.04)137994 (20.18)135313 (20.41)< 0.0001
Smoking< 0.0001
Non-smoker466617 (68.82)404113 (64.04)431045 (63.05)388541 (58.61)
Ex-smoker104231 (15.37)104399 (16.54)105572 (15.44)97486 (14.7)
Current107179 (15.81)122494 (19.41)147061 (21.51)176927 (26.69)
Alcohol consumption< 0.0001
Non469136 (69.19)386982 (61.33)385451 (56.38)315205 (47.55)
Mild192284 (28.36)214338 (33.97)244884 (35.82)243625 (36.75)
Heavy16607 (2.45)29686 (4.7)53343 (7.8)104124 (15.71)
Regular exercise141972 (20.94)129964 (20.6)135520 (19.82)123807 (18.68)< 0.0001
Diabetes mellitus47748 (7.04)57860 (9.17)82847 (12.12)116527 (17.58)< 0.0001
Hypertension159803 (23.57)187639 (29.74)245357 (35.89)284908 (42.98)< 0.0001
Dyslipidemia85023 (12.54)117879 (18.68)168725 (24.68)204262 (30.81)< 0.0001
CKD50370 (7.43)50632 (8.02)59473 (8.7)57527 (8.68)< 0.0001
Fasting glucose, mg/dL95.22 ± 19.8297.76 ± 22.77100.74 ± 25.96106.23 ± 31.61< 0.0001
Estimated glomerular filtration rate, mL/minute/1.73 m285.84 ± 36.484.49 ± 38.1484.33 ± 39.1984.99 ± 37.51< 0.0001
Total cholesterol, mg/dL189.41 ± 33.53197.61 ± 35.16202.83 ± 37.04206.82 ± 40.37< 0.0001
HDL-C, mg/dL56.11 ± 29.5255.6 ± 29.2755.45 ± 30.0156.03 ± 29.36< 0.0001
LDL-C, mg/dL113.67 ± 35.48118.38 ± 37.06119.97 ± 39.03116.79 ± 42.7< 0.0001
Triglyceride1, mg/dL93.37 (93.26-93.48)109.43 (109.29-109.57)125.29 (125.13-125.45)150.01 (149.81-150.22)< 0.0001
AST1, IU/L20.97 (20.95-20.98)22.31 (22.29-22.33)24 (23.98-24.02)29.95 (29.92-29.98)< 0.0001
ALT1, IU/L16.51 (16.5-16.53)19.25 (19.23-19.27)22.47 (22.44-22.49)30.91 (30.87-30.95)< 0.0001
Risk of PCN by serum GGT quartile

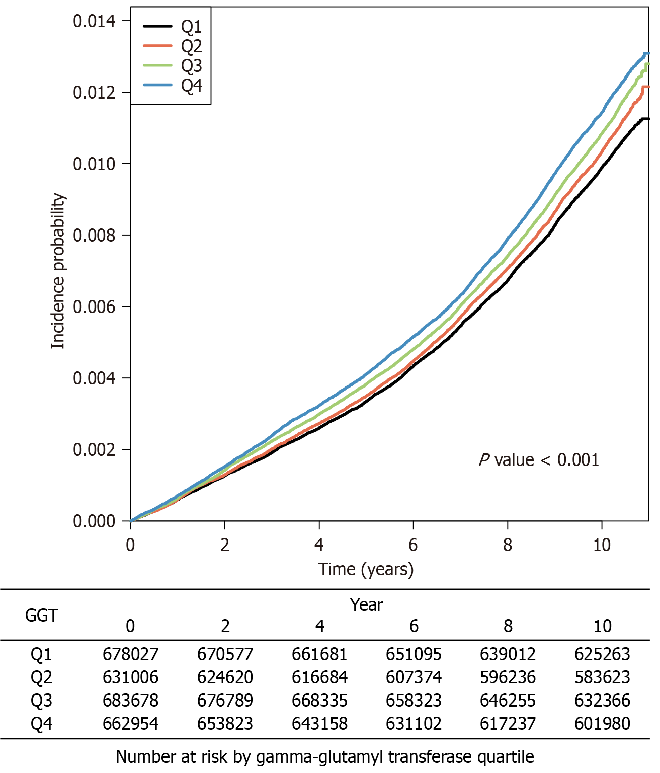
During a median follow-up of 10.32 years (IQR: 10.09-10.58 years), 28940 PCN diagnoses were reported among 2655665 participants (Table 2). The incidence rate of PCN was 1.09 per 1000 person-years in the entire cohort. Compared with the Q1 group, higher GGT quartiles were associated with a significantly higher risk of PCN after adjusting for confounders [Q2: Adjusted HR (aHR) = 1.04, 95%CI: 1.005-1.075; Q3: aHR = 1.065, 95%CI: 1.03-1.102; Q4: aHR = 1.109, 95%CI: 1.07-1.15]. The incidence probability of PCN was the highest in the Q4 group and the lowest in the Q1 group. This order was maintained throughout the observation period (log-rank P < 0.001; Figure 2).

Figure 2
Figure 2 Incidence probability of pancreatic cystic neoplasm stratified by gamma-glutamyl transferase level. The incidence rate of pancreatic cystic neoplasm was highest in the Q4 group and lowest in the Q1 group. This order remained consistent throughout the observation period (log-rank test P < 0.001).
Table 2 Multivariate regression analysis of the risk of pancreatic cystic neoplasm according to quartile.
GGTnPCNDuration, yearsIR, per 1000 person-yearsHR (95%CI)
Model 11
Model 22
Model 33
Q167802768646792685.481.011 (reference)1 (reference)1 (reference)
Q263100667366330561.721.061.053 (1.018-1.089)1.043 (1.009-1.079)1.04 (1.005-1.075)
Q368367876496860249.121.111.103 (1.068-1.14)1.077 (1.043-1.113)1.065 (1.03-1.102)
Q466295476916585301.181.171.158 (1.121-1.197)1.148 (1.111-1.185)1.109 (1.07-1.15)
Subgroup analysis

We performed stratified analyses according to pre-specified factors after adjusting for confounders (Table 3). The risk of PCN was compared between the highest serum GGT quartile (Q4) and the other groups (Q1-Q3) to ensure adequate statistical power in stratified subgroups. The Q4 group had a significantly higher risk of PCN than Q1-Q3 groups of all other subgroups except for diabetes (aHR = 0.966, 95%CI: 0.907-1.027) and the highest quartile of liver enzymes (aHR = 1.006, 95%CI: 0.96-1.053 for AST; aHR = 1.036, 95%CI: 0.989-1.084 for ALT). Risk difference was the highest in the subgroup aged 65 years or older (aHR = 1.1, 95%CI: 1.044-1.160). There were significant interactions between the risk of PCN and pre-specified subgroups such as sex, obesity, alcohol consumption, diabetes, and the level of ALT (P for interaction: 0.0294, 0.0474, 0.0129, 0.0004, and 0.0085, respectively).

Table 3 Subgroup analysis.
SubgroupGGTnPCNDuration, yearsIR, per 1000 person-years
HR (95%CI)
Univariate
Multivariate
Age40-64Q1-Q316086461542716422259.060.941 (reference)1 (reference)
Q454880557525540769.651.041.108 (1.075-1.142)1.046 (1.013-1.081)
≥ 65Q1-Q338406558223561237.261.631 (reference)1 (reference)
Q411414919391044531.531.861.138 (1.081-1.198)1.1 (1.044-1.16)
P value0.37850.0982
SexMaleQ1-Q399261494389844762.80.961 (reference)1 (reference)
Q433626330813304098.270.930.975 (0.936-1.016)1.027 (0.984-1.073)
FemaleQ1-Q310000971181110138733.521.161 (reference)1 (reference)
Q432669146103281202.911.401.209 (1.168-1.251)1.091 (1.053-1.131)
P value< 0.00010.0294
ObesityNoQ1-Q313808691446813822858.611.051 (reference)1 (reference)
Q434619840463409592.71.191.138 (1.099-1.178)1.091 (1.052-1.131)
YesQ1-Q361184267816160637.721.101 (reference)1 (reference)
Q431675636453175708.481.151.044 (1.003-1.087)1.034 (0.991-1.078)
P value0.00160.0474
SmokeNon-ex-smokerQ1-Q316159771815016245614.461.121 (reference)1 (reference)
Q448602761794848109.021.271.143 (1.11-1.176)1.08 (1.045-1.117)
CurrentQ1-Q337673430993737881.860.831 (reference)1 (reference)
Q417692715121737192.160.871.052 (0.99-1.119)1.035 (0.986-1.087)
P value0.01750.139
Alcohol consumptionNonQ1-Q312415691449912405702.81.171 (reference)1 (reference)
Q431520544823128550.131.431.227 (1.187-1.269)1.066 (1.034-1.1)
MildQ1-Q365150658616579284.890.891 (reference)1 (reference)
Q424362522432430009.540.921.04 (0.99-1.092)1.063 (0.998-1.133)
HeavyQ1-Q399636889998508.630.891 (reference)0.9352
Q41041249661026741.520.941.061 (0.969-1.163)1 (reference)
P value< 0.00011.099 (1.061-1.139)
Regular exerciseNoQ1-Q315852551659915878455.31.051 (reference)1 (reference)
Q453914761825350376.361.161.108 (1.076-1.141)1.007 (0.958-1.059)
YesQ1-Q340745646504105041.021.131 (reference)1 (reference)
Q412380715091234924.821.221.081 (1.02-1.146)1.04 (0.949-1.14)
P value0.46520.0129
Diabetes mellitusNoQ1-Q318042561840218175069.521.011 (reference)1 (reference)
Q454642760695462111.661.111.1 (1.068-1.132)1.07 (1.037-1.104)
YesQ1-Q318845528471808426.81.571 (reference)1 (reference)
Q411652716221123189.521.440.916 (0.862-0.974)1.048 (0.988-1.112)
P value< 0.00010.5253
HypertensionNoQ1-Q313999121342314178760.310.951 (reference)1 (reference)
Q437804639393795697.711.041.099 (1.06-1.138)1.09 (1.057-1.124)
YesQ1-Q359279978265804736.011.351 (reference)1 (reference)
Q428490837522789603.471.340.998 (0.96-1.038)0.966 (0.907-1.027)
P value0.00030.0004
DyslipidemiaNoQ1-Q316210841642216279851.441.011 (reference)1 (reference)
Q445869250214548820.321.101.098 (1.063-1.133)1.08 (1.04-1.121)
YesQ1-Q337162748273703644.881.301 (reference)1 (reference)
Q420426226702036480.861.311.006 (0.96-1.055)1.049 (1.008-1.093)
P value0.00270.2891
CKDNoQ1-Q318322361925618437941.671.041 (reference)1 (reference)
Q460542769396034294.221.151.104 (1.074-1.134)1.082 (1.046-1.119)
YesQ1-Q316047519931545554.651.291 (reference)1 (reference)
Q457527752551006.961.361.06 (0.975-1.153)1.032 (0.983-1.083)
P value0.36810.1029
ASTQ1-Q3Q1-Q316504191709116572543.551.031 (reference)1 (reference)
Q434486838833457375.591.121.09 (1.052-1.128)1.073 (1.041-1.105)
Q4Q1-Q334229241583410952.771.221 (reference)1 (reference)
Q431808638083127925.591.221.002 (0.959-1.047)1.006 (0.924-1.094)
P value0.00330.1532
ALTQ1-Q3Q1-Q316857801765716887579.081.051 (reference)1 (reference)
Q432086736803178308.551.161.11 (1.072-1.15)1.087 (1.048-1.127)
Q4Q1-Q330693135923095917.241.161 (reference)1 (reference)
Q434208740113406992.641.181.017 (0.973-1.064)1.006 (0.96-1.053)
P value0.00280.0085
Sensitivity analysis, varying lag period

When we applied extended lag periods of 3 and 5 years, the association between higher GGT levels and higher risk of PCN remained consistent. The adjusted HRs for the highest GGT quartile (Q4) compared to the lowest (Q1) were 1.103 (95%CI: 1.061-1.147) with a 3-year lag period (Supplementary Table 3; Supplementary Figure 1) and 1.078 (95%CI: 1.033-1.124) with a 5-year lag period (Supplementary Table 4; Supplementary Figure 2).

Sensitivity analysis, varying GGT level categorization

GGT levels were categorized into four groups based on the normal range (group 1) and tertiles above normal (group 2 to 4). Compared to individuals within the normal GGT range (group 1), those in the highest tertile above normal (group 4) had a significantly higher risk of developing PCN (aHR = 1.113; 95%CI: 1.055-1.175; Supplementary Table 5). We further analyzed the association between the risk of PCN and more subdivided GGT levels. A dose-response relationship was maintained when serum GGT levels were divided into decile groups (Supplementary Table 6). All P values for trend were less than 0.001.

DISCUSSION

In this nationwide retrospective cohort study of more than 2 million participants, it was found that higher serum GGT levels were associated with an increased risk of PCN. In subgroup analyses, the association between serum GGT level and PCN risk was the most pronounced in the group aged 65 years or older. In addition, potential effect modification was observed by factors such as sex, obesity, alcohol consumption, diabetes, and ALT levels, suggesting that the association between GGT and PCN may vary with metabolic or hepatic function. These results suggest that additional diagnostic tests or clinical follow-up might be needed in elderly patients with higher GGT levels. In sensitivity analyses that varied the lag period and GGT categorization, the association between GGT and the risk of PCN development remained consistent.

To address concerns about reverse causality, particularly the possibility that indolent types of PCN, such as branch duct intraductal papillary mucinous neoplasm, may have existed at baseline and been diagnosed later, the sensitivity analyses extended the lag period to 3 and 5 years. These extended lag periods ensure that the higher GGT levels occurred before PCN development and were not affected by undetected lesions that might have already been present at baseline. The fact that significant associations between higher GGT levels and risk of PCN persisted during these extended lag periods strengthens causal inference and supports the robustness of our findings.

We also conducted sensitivity analyses based on different categorizations of GGT levels. First, to account for potential measurement errors within the normal range, we classified participants into one group with GGT levels within the normal range and tertiles among those with elevated levels[32]. This analysis showed consistent associations in multivariable models. However, since over 80% of PCN cases occurred within the normal GGT group, it suggested further stratification within this range. To address potential misclassification due to single-time point measurement, we further stratified serum GGT levels into deciles, including the normal range. This analysis revealed a consistent dose-response relationship, supporting the robustness of our findings.

This nationwide retrospective cohort study is the first to provide evidence that higher serum GGT levels are associated with PCN risk in the general population. The incidence and risk of PCN in relation to serum GGT levels have not been reported in previous studies. There have been studies examining the prevalence of PCN. However, they only enrolled a subset of patients with cross-sectional imaging such as computed tomography or magnetic resonance imaging (MRI)[33,34]. Few studies have reported the prevalence and incidence of PCN in participants undergoing MRI as part of preventive health checkups[18,19]. However, associations of PCN with laboratory tests such as fasting blood glucose, liver enzymes, and GGT have not been reported. Furthermore, most studies were conducted using small cohorts of less than 3000 participants. They showed heterogeneous results not only due to different characteristics of the population itself, but also due to different imaging modality and resolution[15,33-35].

In this study, we focused on GGT, a well-known biomarker of oxidative stress and liver dysfunction. GGT is also associated with alcoholic liver disease and metabolic dysfunction associated fatty liver disease, which could be a potential confounding factor[36,37]. However, in multivariate analysis, serum GGT levels were associated with the risk of PCN after adjusting for alcohol consumption and metabolic diseases such as diabetes, dyslipidemia, obesity, and liver enzymes. These results suggest the potential of GGT as an independent biomarker of PCN.

Several biological mechanisms might explain the association between serum GGT levels and the risk of PCN. Genetic alterations (such as Kirsten rat sarcoma viral oncogene homolog and GNAS) and their downstream pathways are known to be involved in the development and progression of PCN[9,38-40]. Among them, the phosphoinositide 3-kinase and protein kinase B pathway, G-protein-coupled receptor signaling pathway, and Wnt/β-catenin signaling pathway are key signaling molecules and pathways affected by oxidative stress[41-43]. GGT, which contributes to redox homeostasis via glutathione, could be a biomarker reflecting these pathways[44,45]. GGT not only regulates intracellular glutathione, but also produces gamma-glutamyl peptides[46]. These peptides can trigger cell growth and differentiation through calcium-sensing receptors present in pancreatic ductal and acinar cells, which might also contribute to the development of PCN[47,48]. Furthermore, the membrane-bound form of GGT, encoded by the GGT1 gene, is highly expressed in the pancreas and regulated by the Kirsten rat sarcoma viral oncogene homolog pathway, one of the major signaling pathways involved in developing PCN and pancreatic cancer[49,50]. These findings are supported by epidemiologic and genomic studies that link elevated serum GGT levels and GGT1 polymorphisms with a higher risk of pancreatic cancer[24,51].

The strength of our study was that we used data from a large-scale population with a follow-up period of 10 years. Furthermore, the NHIS database contains a wide range of data, including International Classification of Diseases-10th Revision (ICD-10) diagnostic codes, prescriptions, laboratory tests, and responses to questionnaires. As a result, we were able to identify numerous confounders, including previous pancreatitis, alcohol consumption, and physical activity. However, results of our study should be interpreted in light of the following limitations. First, some cases were excluded from the analysis due to missing data (5.7%, n = 160987). As the risk of bias is minimized and the precision is generally maintained in large datasets with low missing rates, we adopted complete-case analyses. However, the possibility of selection bias cannot be ruled out[52]. Second, even with extensive adjustment for demographic, clinical, and behavioral covariates, residual confounding factors may still exist. Unmeasured variables such as genetic predisposition, detailed dietary habits, and environmental exposures may influence both GGT levels and the risk of PCN. Third, we were unable to classify the type of PCN based on imaging or pathologic findings due to limitations of the ICD-10 codes. Since PCN includes a heterogeneous group of cystic tumors with varying malignant potential, the absence of subtype information limits disease-specific risk assessment and clinical application. Fourth, routine screening for PCN was not conducted, and diagnoses were based on ICD-10 codes obtained from NHIS health checkup data. While this may result in an underestimation of asymptomatic cases, it reflects real-world clinical practice, where routine imaging tests for PCN are not recommended. Fifth, although we performed sensitivity analyses with varying lag-times to mitigate reverse causality, we were unable to confirm PCN-free status at baseline due to the inherent limitations of a population-based cohort without imaging data. Finally, our findings were based on the Korean population, not other ethnicities. Although alcohol consumption in South Korea is relatively higher than in neighboring Asian countries, the similarity in serum GGT distribution and PCN prevalence supports the potential generalizability of our findings to other Asian populations. However, further validation is warranted, especially in Western countries, which exhibit higher alcohol consumption than Asian countries[53-57].

Despite the relatively low incidence of PCN observed in our cohort (1.09 per 1000 person-years), the clinical significance of our findings should be interpreted in the context of a large general population with long-term follow-up. Given the increasing detection of incident PCN and the possibility of malignant transformation, identifying high-risk groups might help establish more personalized surveillance strategies, even if the absolute incidence is low. In particular, serum GGT levels, a widely available and cost-effective laboratory test, can be utilized as a useful risk stratification tool in clinical practice. While GGT alone is insufficient for diagnosing PCN, it can be integrated into a multifactorial risk model to identify individuals who require additional diagnostic tests such as computed tomography or MRI. Further prospective studies in multi-ethnic cohorts using serial blood samples and molecular biomarkers like circulating cell-free DNA may help validate the association between GGT and PCN. Such studies may contribute to improving predictive modeling by integrating molecular and clinical data. Additionally, studies that include imaging or pathological confirmation are also necessary to clarify subtype-specific associations between GGT and PCN.

CONCLUSION

This nationwide population study showed that higher serum GGT level was independently associated with an increased risk of PCN in a dose-response manner. Our findings suggest the potential of serum GGT level as a biomarker for early detection of PCN which might have a risk of malignancy. The development of such biomarkers will lead to earlier detection of PCN that has been detected incidentally and contribute to more established guidance on the management of PCN.

References
1.  Brugge WR, Lauwers GY, Sahani D, Fernandez-del Castillo C, Warshaw AL. Cystic neoplasms of the pancreas. N Engl J Med. 2004;351:1218-1226.  [RCA]  [PubMed]  [DOI]  [Full Text]  [Cited by in Crossref: 588]  [Cited by in RCA: 480]  [Article Influence: 21.8]  [Reference Citation Analysis (0)]
2.  Uehara H, Nakaizumi A, Ishikawa O, Iishi H, Tatsumi K, Takakura R, Ishida T, Takano Y, Tanaka S, Takenaka A. Development of ductal carcinoma of the pancreas during follow-up of branch duct intraductal papillary mucinous neoplasm of the pancreas. Gut. 2008;57:1561-1565.  [RCA]  [PubMed]  [DOI]  [Full Text]  [Cited by in Crossref: 256]  [Cited by in RCA: 208]  [Article Influence: 11.6]  [Reference Citation Analysis (0)]
3.  Oyama H, Tada M, Takagi K, Tateishi K, Hamada T, Nakai Y, Hakuta R, Ijichi H, Ishigaki K, Kanai S, Kogure H, Mizuno S, Saito K, Saito T, Sato T, Suzuki T, Takahara N, Morishita Y, Arita J, Hasegawa K, Tanaka M, Fukayama M, Koike K. Long-term Risk of Malignancy in Branch-Duct Intraductal Papillary Mucinous Neoplasms. Gastroenterology. 2020;158:226-237.e5.  [RCA]  [PubMed]  [DOI]  [Full Text]  [Cited by in Crossref: 261]  [Cited by in RCA: 211]  [Article Influence: 35.2]  [Reference Citation Analysis (0)]
4.  Kwong WT, Hunt GC, Fehmi SM, Honerkamp-Smith G, Xu R, Lawson RD, Tang RS, Gonzalez I, Krinsky ML, Giap A, Savides TJ. Low Rates of Malignancy and Mortality in Asymptomatic Patients With Suspected Neoplastic Pancreatic Cysts Beyond 5 Years of Surveillance. Clin Gastroenterol Hepatol. 2016;14:865-871.  [RCA]  [PubMed]  [DOI]  [Full Text]  [Cited by in Crossref: 41]  [Cited by in RCA: 50]  [Article Influence: 5.0]  [Reference Citation Analysis (0)]
5.  Crippa S, Fernández-Del Castillo C, Salvia R, Finkelstein D, Bassi C, Domínguez I, Muzikansky A, Thayer SP, Falconi M, Mino-Kenudson M, Capelli P, Lauwers GY, Partelli S, Pederzoli P, Warshaw AL. Mucin-producing neoplasms of the pancreas: an analysis of distinguishing clinical and epidemiologic characteristics. Clin Gastroenterol Hepatol. 2010;8:213-219.  [RCA]  [PubMed]  [DOI]  [Full Text]  [Full Text (PDF)]  [Cited by in Crossref: 266]  [Cited by in RCA: 236]  [Article Influence: 14.8]  [Reference Citation Analysis (0)]
6.  Vege SS, Ziring B, Jain R, Moayyedi P; Clinical Guidelines Committee;  American Gastroenterology Association. American gastroenterological association institute guideline on the diagnosis and management of asymptomatic neoplastic pancreatic cysts. Gastroenterology. 2015;148:819-822; quize12.  [RCA]  [PubMed]  [DOI]  [Full Text]  [Cited by in Crossref: 944]  [Cited by in RCA: 817]  [Article Influence: 74.3]  [Reference Citation Analysis (0)]
7.  Tanaka M, Fernández-Del Castillo C, Kamisawa T, Jang JY, Levy P, Ohtsuka T, Salvia R, Shimizu Y, Tada M, Wolfgang CL. Revisions of international consensus Fukuoka guidelines for the management of IPMN of the pancreas. Pancreatology. 2017;17:738-753.  [RCA]  [PubMed]  [DOI]  [Full Text]  [Cited by in Crossref: 1510]  [Cited by in RCA: 1252]  [Article Influence: 139.1]  [Reference Citation Analysis (0)]
8.  Hasan A, Visrodia K, Farrell JJ, Gonda TA. Overview and comparison of guidelines for management of pancreatic cystic neoplasms. World J Gastroenterol. 2019;25:4405-4413.  [RCA]  [PubMed]  [DOI]  [Full Text]  [Full Text (PDF)]  [Cited by in CrossRef: 39]  [Cited by in RCA: 55]  [Article Influence: 7.9]  [Reference Citation Analysis (2)]
9.  Noë M, Niknafs N, Fischer CG, Hackeng WM, Beleva Guthrie V, Hosoda W, Debeljak M, Papp E, Adleff V, White JR, Luchini C, Pea A, Scarpa A, Butturini G, Zamboni G, Castelli P, Hong SM, Yachida S, Hiraoka N, Gill AJ, Samra JS, Offerhaus GJA, Hoorens A, Verheij J, Jansen C, Adsay NV, Jiang W, Winter J, Albores-Saavedra J, Terris B, Thompson ED, Roberts NJ, Hruban RH, Karchin R, Scharpf RB, Brosens LAA, Velculescu VE, Wood LD. Genomic characterization of malignant progression in neoplastic pancreatic cysts. Nat Commun. 2020;11:4085.  [RCA]  [PubMed]  [DOI]  [Full Text]  [Full Text (PDF)]  [Cited by in Crossref: 127]  [Cited by in RCA: 104]  [Article Influence: 17.3]  [Reference Citation Analysis (0)]
10.  Yip-Schneider MT, Simpson R, Carr RA, Wu H, Fan H, Liu Z, Korc M, Zhang J, Schmidt CM. Circulating Leptin and Branched Chain Amino Acids-Correlation with Intraductal Papillary Mucinous Neoplasm Dysplastic Grade. J Gastrointest Surg. 2019;23:966-974.  [RCA]  [PubMed]  [DOI]  [Full Text]  [Cited by in Crossref: 13]  [Cited by in RCA: 12]  [Article Influence: 1.7]  [Reference Citation Analysis (0)]
11.  Ciprani D, Morales-Oyarvide V, Qadan M, Hank T, Weniger M, Harrison JM, Rodrigues C, Horick NK, Mino-Kenudson M, Ferrone CR, Warshaw AL, Lillemoe KD, Fernández-Del Castillo C. An elevated CA 19-9 is associated with invasive cancer and worse survival in IPMN. Pancreatology. 2020;20:729-735.  [RCA]  [PubMed]  [DOI]  [Full Text]  [Cited by in Crossref: 34]  [Cited by in RCA: 42]  [Article Influence: 7.0]  [Reference Citation Analysis (0)]
12.  Collet L, Ghurburrun E, Meyers N, Assi M, Pirlot B, Leclercq IA, Couvelard A, Komuta M, Cros J, Demetter P, Lemaigre FP, Borbath I, Jacquemin P. Kras and Lkb1 mutations synergistically induce intraductal papillary mucinous neoplasm derived from pancreatic duct cells. Gut. 2020;69:704-714.  [RCA]  [PubMed]  [DOI]  [Full Text]  [Cited by in Crossref: 19]  [Cited by in RCA: 34]  [Article Influence: 5.7]  [Reference Citation Analysis (0)]
13.  Gaiser RA, Pessia A, Ateeb Z, Davanian H, Fernández Moro C, Alkharaan H, Healy K, Ghazi S, Arnelo U, Valente R, Velagapudi V, Sällberg Chen M, Del Chiaro M. Integrated targeted metabolomic and lipidomic analysis: A novel approach to classifying early cystic precursors to invasive pancreatic cancer. Sci Rep. 2019;9:10208.  [RCA]  [PubMed]  [DOI]  [Full Text]  [Full Text (PDF)]  [Cited by in Crossref: 21]  [Cited by in RCA: 33]  [Article Influence: 4.7]  [Reference Citation Analysis (0)]
14.  European Study Group on Cystic Tumours of the Pancreas. European evidence-based guidelines on pancreatic cystic neoplasms. Gut. 2018;67:789-804.  [RCA]  [PubMed]  [DOI]  [Full Text]  [Full Text (PDF)]  [Cited by in Crossref: 1177]  [Cited by in RCA: 992]  [Article Influence: 124.0]  [Reference Citation Analysis (0)]
15.  Moris M, Bridges MD, Pooley RA, Raimondo M, Woodward TA, Stauffer JA, Asbun HJ, Wallace MB. Association Between Advances in High-Resolution Cross-Section Imaging Technologies and Increase in Prevalence of Pancreatic Cysts From 2005 to 2014. Clin Gastroenterol Hepatol. 2016;14:585-593.e3.  [RCA]  [PubMed]  [DOI]  [Full Text]  [Cited by in Crossref: 161]  [Cited by in RCA: 134]  [Article Influence: 13.4]  [Reference Citation Analysis (0)]
16.  Zerboni G, Signoretti M, Crippa S, Falconi M, Arcidiacono PG, Capurso G. Systematic review and meta-analysis: Prevalence of incidentally detected pancreatic cystic lesions in asymptomatic individuals. Pancreatology. 2019;19:2-9.  [RCA]  [PubMed]  [DOI]  [Full Text]  [Cited by in Crossref: 190]  [Cited by in RCA: 153]  [Article Influence: 21.9]  [Reference Citation Analysis (0)]
17.  Chiang AL, Lee LS. Clinical approach to incidental pancreatic cysts. World J Gastroenterol. 2016;22:1236-1245.  [RCA]  [PubMed]  [DOI]  [Full Text]  [Full Text (PDF)]  [Cited by in CrossRef: 28]  [Cited by in RCA: 23]  [Article Influence: 2.3]  [Reference Citation Analysis (0)]
18.  de Jong K, Nio CY, Hermans JJ, Dijkgraaf MG, Gouma DJ, van Eijck CH, van Heel E, Klass G, Fockens P, Bruno MJ. High prevalence of pancreatic cysts detected by screening magnetic resonance imaging examinations. Clin Gastroenterol Hepatol. 2010;8:806-811.  [RCA]  [PubMed]  [DOI]  [Full Text]  [Cited by in Crossref: 445]  [Cited by in RCA: 384]  [Article Influence: 24.0]  [Reference Citation Analysis (0)]
19.  Kromrey ML, Bülow R, Hübner J, Paperlein C, Lerch MM, Ittermann T, Völzke H, Mayerle J, Kühn JP. Prospective study on the incidence, prevalence and 5-year pancreatic-related mortality of pancreatic cysts in a population-based study. Gut. 2018;67:138-145.  [RCA]  [PubMed]  [DOI]  [Full Text]  [Cited by in Crossref: 153]  [Cited by in RCA: 275]  [Article Influence: 34.4]  [Reference Citation Analysis (0)]
20.  Kim YG, Han K, Jeong JH, Roh SY, Choi YY, Min K, Shim J, Choi JI, Kim YH. Metabolic Syndrome, Gamma-Glutamyl Transferase, and Risk of Sudden Cardiac Death. J Clin Med. 2022;11:1781.  [RCA]  [PubMed]  [DOI]  [Full Text]  [Full Text (PDF)]  [Cited by in Crossref: 9]  [Cited by in RCA: 17]  [Article Influence: 4.3]  [Reference Citation Analysis (0)]
21.  Baek HS, Kim B, Lee SH, Lim DJ, Kwon HS, Chang SA, Han K, Yun JS. Long-Term Cumulative Exposure to High γ-Glutamyl Transferase Levels and the Risk of Cardiovascular Disease: A Nationwide Population-Based Cohort Study. Endocrinol Metab (Seoul). 2023;38:770-781.  [RCA]  [PubMed]  [DOI]  [Full Text]  [Cited by in Crossref: 7]  [Cited by in RCA: 7]  [Article Influence: 2.3]  [Reference Citation Analysis (0)]
22.  Hong SH, Lee JS, Kim JA, Lee YB, Roh E, Yu JH, Kim NH, Yoo HJ, Seo JA, Kim SG, Kim NH, Baik SH, Choi KM. Gamma-glutamyl transferase variability and the risk of hospitalisation for heart failure. Heart. 2020;106:1080-1086.  [RCA]  [PubMed]  [DOI]  [Full Text]  [Cited by in Crossref: 7]  [Cited by in RCA: 13]  [Article Influence: 2.2]  [Reference Citation Analysis (0)]
23.  Lee CH, Han K, Kim DH, Kwak MS. Repeatedly elevated γ-glutamyltransferase levels are associated with an increased incidence of digestive cancers: A population-based cohort study. World J Gastroenterol. 2021;27:176-188.  [RCA]  [PubMed]  [DOI]  [Full Text]  [Full Text (PDF)]  [Cited by in CrossRef: 4]  [Cited by in RCA: 10]  [Article Influence: 2.0]  [Reference Citation Analysis (0)]
24.  Liao W, Yang Y, Yang H, Qu Y, Song H, Li Q. Circulating gamma-glutamyl transpeptidase and risk of pancreatic cancer: A prospective cohort study in the UK Biobank. Cancer Med. 2023;12:7877-7887.  [RCA]  [PubMed]  [DOI]  [Full Text]  [Cited by in Crossref: 1]  [Cited by in RCA: 10]  [Article Influence: 3.3]  [Reference Citation Analysis (0)]
25.  Song SO, Jung CH, Song YD, Park CY, Kwon HS, Cha BS, Park JY, Lee KU, Ko KS, Lee BW. Background and data configuration process of a nationwide population-based study using the korean national health insurance system. Diabetes Metab J. 2014;38:395-403.  [RCA]  [PubMed]  [DOI]  [Full Text]  [Full Text (PDF)]  [Cited by in Crossref: 404]  [Cited by in RCA: 569]  [Article Influence: 47.4]  [Reference Citation Analysis (0)]
26.  Cheol Seong S, Kim YY, Khang YH, Heon Park J, Kang HJ, Lee H, Do CH, Song JS, Hyon Bang J, Ha S, Lee EJ, Ae Shin S. Data Resource Profile: The National Health Information Database of the National Health Insurance Service in South Korea. Int J Epidemiol. 2017;46:799-800.  [RCA]  [PubMed]  [DOI]  [Full Text]  [Full Text (PDF)]  [Cited by in Crossref: 164]  [Cited by in RCA: 664]  [Article Influence: 83.0]  [Reference Citation Analysis (0)]
27.  Kang HT. Current Status of the National Health Screening Programs in South Korea. Korean J Fam Med. 2022;43:168-173.  [RCA]  [PubMed]  [DOI]  [Full Text]  [Full Text (PDF)]  [Cited by in Crossref: 63]  [Cited by in RCA: 51]  [Article Influence: 12.8]  [Reference Citation Analysis (0)]
28.  von Elm E, Altman DG, Egger M, Pocock SJ, Gøtzsche PC, Vandenbroucke JP; STROBE Initiative. The Strengthening the Reporting of Observational Studies in Epidemiology (STROBE) Statement: guidelines for reporting observational studies. Int J Surg. 2014;12:1495-1499.  [RCA]  [PubMed]  [DOI]  [Full Text]  [Cited by in Crossref: 8394]  [Cited by in RCA: 7505]  [Article Influence: 625.4]  [Reference Citation Analysis (3)]
29.  Capurso G, Boccia S, Salvia R, Del Chiaro M, Frulloni L, Arcidiacono PG, Zerbi A, Manta R, Fabbri C, Ventrucci M, Tarantino I, Piciucchi M, Carnuccio A, Boggi U, Leoncini E, Costamagna G, Delle Fave G, Pezzilli R, Bassi C, Larghi A; Italian Association for Study of Pancreas (AISP);  Intraductal Papillary Mucinous Neoplasm (IPMN) Study Group. Risk factors for intraductal papillary mucinous neoplasm (IPMN) of the pancreas: a multicentre case-control study. Am J Gastroenterol. 2013;108:1003-1009.  [RCA]  [PubMed]  [DOI]  [Full Text]  [Cited by in Crossref: 112]  [Cited by in RCA: 96]  [Article Influence: 7.4]  [Reference Citation Analysis (0)]
30.  Mizuno S, Isayama H, Nakai Y, Yoshikawa T, Ishigaki K, Matsubara S, Yamamoto N, Ijichi H, Tateishi K, Tada M, Hayashi N, Koike K. Prevalence of Pancreatic Cystic Lesions Is Associated With Diabetes Mellitus and Obesity: An Analysis of 5296 Individuals Who Underwent a Preventive Medical Examination. Pancreas. 2017;46:801-805.  [RCA]  [PubMed]  [DOI]  [Full Text]  [Cited by in Crossref: 36]  [Cited by in RCA: 37]  [Article Influence: 4.1]  [Reference Citation Analysis (0)]
31.  Tanaka S, Tsujimae M, Masuda A, Inoue J, Inomata N, Uemura H, Kohashi S, Nagao K, Masuda S, Abe S, Gonda M, Yamakawa K, Ashina S, Nakano R, Tanaka T, Yamada Y, Sakai A, Kobayashi T, Shiomi H, Fujita K, Anami T, Fujita T, Watanabe A, Kodama Y. Metabolic Syndrome Accelerates the Age-Related Increase of Intraductal Papillary Mucinous Neoplasm of the Pancreas. Pancreas. 2024;53:e9-e15.  [RCA]  [PubMed]  [DOI]  [Full Text]  [Cited by in Crossref: 12]  [Cited by in RCA: 14]  [Article Influence: 7.0]  [Reference Citation Analysis (0)]
32.  Suh BS. The Association between Serum Gamma-Glutamyltransferase within Normal Levels and Metabolic Syndrome in Office Workers: A 4-Year Follow-up Study. Korean J Fam Med. 2012;33:51-58.  [RCA]  [PubMed]  [DOI]  [Full Text]  [Full Text (PDF)]  [Cited by in Crossref: 9]  [Cited by in RCA: 9]  [Article Influence: 0.6]  [Reference Citation Analysis (0)]
33.  Laffan TA, Horton KM, Klein AP, Berlanstein B, Siegelman SS, Kawamoto S, Johnson PT, Fishman EK, Hruban RH. Prevalence of unsuspected pancreatic cysts on MDCT. AJR Am J Roentgenol. 2008;191:802-807.  [RCA]  [PubMed]  [DOI]  [Full Text]  [Cited by in Crossref: 752]  [Cited by in RCA: 662]  [Article Influence: 36.8]  [Reference Citation Analysis (0)]
34.  Lee KS, Sekhar A, Rofsky NM, Pedrosa I. Prevalence of incidental pancreatic cysts in the adult population on MR imaging. Am J Gastroenterol. 2010;105:2079-2084.  [RCA]  [PubMed]  [DOI]  [Full Text]  [Cited by in Crossref: 522]  [Cited by in RCA: 441]  [Article Influence: 27.6]  [Reference Citation Analysis (0)]
35.  Zhang XM, Mitchell DG, Dohke M, Holland GA, Parker L. Pancreatic cysts: depiction on single-shot fast spin-echo MR images. Radiology. 2002;223:547-553.  [RCA]  [PubMed]  [DOI]  [Full Text]  [Cited by in Crossref: 339]  [Cited by in RCA: 279]  [Article Influence: 11.6]  [Reference Citation Analysis (0)]
36.  Green RM, Flamm S. AGA technical review on the evaluation of liver chemistry tests. Gastroenterology. 2002;123:1367-1384.  [RCA]  [PubMed]  [DOI]  [Full Text]  [Cited by in Crossref: 360]  [Cited by in RCA: 374]  [Article Influence: 15.6]  [Reference Citation Analysis (0)]
37.  McCullough AJ. Update on nonalcoholic fatty liver disease. J Clin Gastroenterol. 2002;34:255-262.  [RCA]  [PubMed]  [DOI]  [Full Text]  [Cited by in Crossref: 248]  [Cited by in RCA: 210]  [Article Influence: 8.8]  [Reference Citation Analysis (0)]
38.  Springer S, Wang Y, Dal Molin M, Masica DL, Jiao Y, Kinde I, Blackford A, Raman SP, Wolfgang CL, Tomita T, Niknafs N, Douville C, Ptak J, Dobbyn L, Allen PJ, Klimstra DS, Schattner MA, Schmidt CM, Yip-Schneider M, Cummings OW, Brand RE, Zeh HJ, Singhi AD, Scarpa A, Salvia R, Malleo G, Zamboni G, Falconi M, Jang JY, Kim SW, Kwon W, Hong SM, Song KB, Kim SC, Swan N, Murphy J, Geoghegan J, Brugge W, Fernandez-Del Castillo C, Mino-Kenudson M, Schulick R, Edil BH, Adsay V, Paulino J, van Hooft J, Yachida S, Nara S, Hiraoka N, Yamao K, Hijioka S, van der Merwe S, Goggins M, Canto MI, Ahuja N, Hirose K, Makary M, Weiss MJ, Cameron J, Pittman M, Eshleman JR, Diaz LA Jr, Papadopoulos N, Kinzler KW, Karchin R, Hruban RH, Vogelstein B, Lennon AM. A combination of molecular markers and clinical features improve the classification of pancreatic cysts. Gastroenterology. 2015;149:1501-1510.  [RCA]  [PubMed]  [DOI]  [Full Text]  [Full Text (PDF)]  [Cited by in Crossref: 407]  [Cited by in RCA: 337]  [Article Influence: 30.6]  [Reference Citation Analysis (0)]
39.  Wu J, Matthaei H, Maitra A, Dal Molin M, Wood LD, Eshleman JR, Goggins M, Canto MI, Schulick RD, Edil BH, Wolfgang CL, Klein AP, Diaz LA Jr, Allen PJ, Schmidt CM, Kinzler KW, Papadopoulos N, Hruban RH, Vogelstein B. Recurrent GNAS mutations define an unexpected pathway for pancreatic cyst development. Sci Transl Med. 2011;3:92ra66.  [RCA]  [PubMed]  [DOI]  [Full Text]  [Cited by in Crossref: 628]  [Cited by in RCA: 600]  [Article Influence: 40.0]  [Reference Citation Analysis (0)]
40.  Patra KC, Kato Y, Mizukami Y, Widholz S, Boukhali M, Revenco I, Grossman EA, Ji F, Sadreyev RI, Liss AS, Screaton RA, Sakamoto K, Ryan DP, Mino-Kenudson M, Castillo CF, Nomura DK, Haas W, Bardeesy N. Mutant GNAS drives pancreatic tumourigenesis by inducing PKA-mediated SIK suppression and reprogramming lipid metabolism. Nat Cell Biol. 2018;20:811-822.  [RCA]  [PubMed]  [DOI]  [Full Text]  [Full Text (PDF)]  [Cited by in Crossref: 125]  [Cited by in RCA: 163]  [Article Influence: 20.4]  [Reference Citation Analysis (0)]
41.  Koundouros N, Poulogiannis G. Phosphoinositide 3-Kinase/Akt Signaling and Redox Metabolism in Cancer. Front Oncol. 2018;8:160.  [RCA]  [PubMed]  [DOI]  [Full Text]  [Full Text (PDF)]  [Cited by in Crossref: 196]  [Cited by in RCA: 305]  [Article Influence: 38.1]  [Reference Citation Analysis (0)]
42.  Wu D, Casey PJ. GPCR-Gα13 Involvement in Mitochondrial Function, Oxidative Stress, and Prostate Cancer. Int J Mol Sci. 2024;25:7162.  [RCA]  [PubMed]  [DOI]  [Full Text]  [Cited by in RCA: 8]  [Reference Citation Analysis (0)]
43.  Chen Y, Chen M, Deng K. Blocking the Wnt/βcatenin signaling pathway to treat colorectal cancer: Strategies to improve current therapies (Review). Int J Oncol. 2023;62:24.  [RCA]  [PubMed]  [DOI]  [Full Text]  [Full Text (PDF)]  [Cited by in RCA: 47]  [Reference Citation Analysis (0)]
44.  Forman HJ, Zhang H, Rinna A. Glutathione: overview of its protective roles, measurement, and biosynthesis. Mol Aspects Med. 2009;30:1-12.  [RCA]  [PubMed]  [DOI]  [Full Text]  [Full Text (PDF)]  [Cited by in Crossref: 2200]  [Cited by in RCA: 1753]  [Article Influence: 103.1]  [Reference Citation Analysis (0)]
45.  Chai YC, Mieyal JJ. Glutathione and Glutaredoxin-Key Players in Cellular Redox Homeostasis and Signaling. Antioxidants (Basel). 2023;12:1553.  [RCA]  [PubMed]  [DOI]  [Full Text]  [Full Text (PDF)]  [Cited by in RCA: 70]  [Reference Citation Analysis (0)]
46.  Ikeda Y, Taniguchi N. Gene expression of gamma-glutamyltranspeptidase. Methods Enzymol. 2005;401:408-425.  [RCA]  [PubMed]  [DOI]  [Full Text]  [Cited by in Crossref: 57]  [Cited by in RCA: 59]  [Article Influence: 3.0]  [Reference Citation Analysis (0)]
47.  Rácz GZ, Kittel A, Riccardi D, Case RM, Elliott AC, Varga G. Extracellular calcium sensing receptor in human pancreatic cells. Gut. 2002;51:705-711.  [RCA]  [PubMed]  [DOI]  [Full Text]  [Cited by in Crossref: 59]  [Cited by in RCA: 57]  [Article Influence: 2.4]  [Reference Citation Analysis (0)]
48.  Goralski T, Ram JL. Extracellular Calcium Receptor as a Target for Glutathione and Its Derivatives. Int J Mol Sci. 2022;23:717.  [RCA]  [PubMed]  [DOI]  [Full Text]  [Full Text (PDF)]  [Cited by in Crossref: 1]  [Cited by in RCA: 16]  [Article Influence: 4.0]  [Reference Citation Analysis (0)]
49.  Whitfield JB. Gamma glutamyl transferase. Crit Rev Clin Lab Sci. 2001;38:263-355.  [RCA]  [PubMed]  [DOI]  [Full Text]  [Cited by in Crossref: 908]  [Cited by in RCA: 821]  [Article Influence: 32.8]  [Reference Citation Analysis (0)]
50.  Pandur S, Pankiv S, Johannessen M, Moens U, Huseby NE. Gamma-glutamyltransferase is upregulated after oxidative stress through the Ras signal transduction pathway in rat colon carcinoma cells. Free Radic Res. 2007;41:1376-1384.  [RCA]  [PubMed]  [DOI]  [Full Text]  [Cited by in Crossref: 31]  [Cited by in RCA: 31]  [Article Influence: 1.7]  [Reference Citation Analysis (0)]
51.  Diergaarde B, Brand R, Lamb J, Cheong SY, Stello K, Barmada MM, Feingold E, Whitcomb DC. Pooling-based genome-wide association study implicates gamma-glutamyltransferase 1 (GGT1) gene in pancreatic carcinogenesis. Pancreatology. 2010;10:194-200.  [RCA]  [PubMed]  [DOI]  [Full Text]  [Cited by in Crossref: 32]  [Cited by in RCA: 38]  [Article Influence: 2.4]  [Reference Citation Analysis (0)]
52.  Pedersen AB, Mikkelsen EM, Cronin-Fenton D, Kristensen NR, Pham TM, Pedersen L, Petersen I. Missing data and multiple imputation in clinical epidemiological research. Clin Epidemiol. 2017;9:157-166.  [RCA]  [PubMed]  [DOI]  [Full Text]  [Full Text (PDF)]  [Cited by in Crossref: 381]  [Cited by in RCA: 613]  [Article Influence: 68.1]  [Reference Citation Analysis (0)]
53.  Jang JY, Kim DJ. Epidemiology of alcoholic liver disease in Korea. Clin Mol Hepatol. 2018;24:93-99.  [RCA]  [PubMed]  [DOI]  [Full Text]  [Full Text (PDF)]  [Cited by in Crossref: 23]  [Cited by in RCA: 29]  [Article Influence: 3.6]  [Reference Citation Analysis (0)]
54.  Cho EJ, Jeong SM, Chung GE, Yoo JJ, Cho Y, Lee KN, Shin DW, Kim YJ, Yoon JH, Han K, Yu SJ. Gamma-glutamyl transferase and risk of all-cause and disease-specific mortality: a nationwide cohort study. Sci Rep. 2023;13:1751.  [RCA]  [PubMed]  [DOI]  [Full Text]  [Full Text (PDF)]  [Cited by in Crossref: 33]  [Cited by in RCA: 26]  [Article Influence: 8.7]  [Reference Citation Analysis (0)]
55.  Wang Y, Xu F, Zhang X, Mi F, Qian Y, Hong R, Zou W, Bai H, He L, Wang S, Yin J. Cross-sectional association between gamma-glutamyl transferase and hyperuricaemia: the China Multi-Ethinic Cohort (CMEC) study. BMJ Open. 2022;12:e058793.  [RCA]  [PubMed]  [DOI]  [Full Text]  [Full Text (PDF)]  [Cited by in RCA: 5]  [Reference Citation Analysis (0)]
56.  Chang YR, Park JK, Jang JY, Kwon W, Yoon JH, Kim SW. Incidental pancreatic cystic neoplasms in an asymptomatic healthy population of 21,745 individuals: Large-scale, single-center cohort study. Medicine (Baltimore). 2016;95:e5535.  [RCA]  [PubMed]  [DOI]  [Full Text]  [Full Text (PDF)]  [Cited by in Crossref: 83]  [Cited by in RCA: 137]  [Article Influence: 13.7]  [Reference Citation Analysis (0)]
57.  Sun L, Wang Y, Jiang F, Qian W, Shao C, Jin Z. Prevalence of pancreatic cystic lesions detected by magnetic resonance imaging in the Chinese population. J Gastroenterol Hepatol. 2019;34:1656-1662.  [RCA]  [PubMed]  [DOI]  [Full Text]  [Cited by in Crossref: 22]  [Cited by in RCA: 23]  [Article Influence: 3.3]  [Reference Citation Analysis (1)]
Footnotes

Provenance and peer review: Unsolicited article; Externally peer reviewed.

Peer-review model: Single blind

Specialty type: Gastroenterology and hepatology

Country of origin: South Korea

Peer-review report’s classification

Scientific Quality: Grade B, Grade B, Grade C, Grade C, Grade C

Novelty: Grade A, Grade B, Grade B, Grade C, Grade D

Creativity or Innovation: Grade C, Grade C, Grade C, Grade C, Grade D

Scientific Significance: Grade A, Grade B, Grade C, Grade C, Grade C

Open Access: This article is an open-access article that was selected by an in-house editor and fully peer-reviewed by external reviewers. It is distributed in accordance with the Creative Commons Attribution NonCommercial (CC BY-NC 4.0) license, which permits others to distribute, remix, adapt, build upon this work non-commercially, and license their derivative works on different terms, provided the original work is properly cited and the use is non-commercial. See: https://creativecommons.org/Licenses/by-nc/4.0/

P-Reviewer: Chen QH, PhD, Consultant, Professor, Research Fellow, China; Xu TC, MD, PhD, CEO, Chairman, Consultant, Director, Principal Investigator, Professor, China; Yu MK, PhD, China S-Editor: Wu S L-Editor: A P-Editor: Zhang L