Copyright
©The Author(s) 2026.
World J Gastroenterol. Jan 14, 2026; 32(2): 112132
Published online Jan 14, 2026. doi: 10.3748/wjg.v32.i2.112132
Published online Jan 14, 2026. doi: 10.3748/wjg.v32.i2.112132
Figure 1 Polyunsaturated fatty acid metabolism and synthesis of polyunsaturated fatty acid derived eicosanoids.
n-6 polyunsaturated fatty acids (n-6 PUFA) such as linoleic acid are metabolized to arachidonic acid by delta 6 and delta 5 desaturases. Additionally, n-3 polyunsaturated fatty acids (n-3 PUFA) such as α-linolenic acid (ALA) are also metabolized to eicosapentaenoic acid (EPA) by these desaturases. n-3 PUFAs such as ALA and EPA may inhibit the metabolism of n-6 PUFA and the arachidonate cascade by competitively antagonizing enzymes involved in the metabolic process; i.e., delta 6 and delta 5 desaturases, cyclooxygenase, and 5 lipoxygenase. AA: Arachidonic acid; ALA: Α-linolenic acid; DGLA: Dihomo-γ-linolenic acid; EDA: Eicosadienoic acid; EPA: Eicosapentaenoic acid; GLA: γ-linolenic acid; LA: Linoleic acid; LT: Leukotriene; PUFA: Polyunsaturated fatty acid; PG: Prostaglandin; TX: Thromboxane.
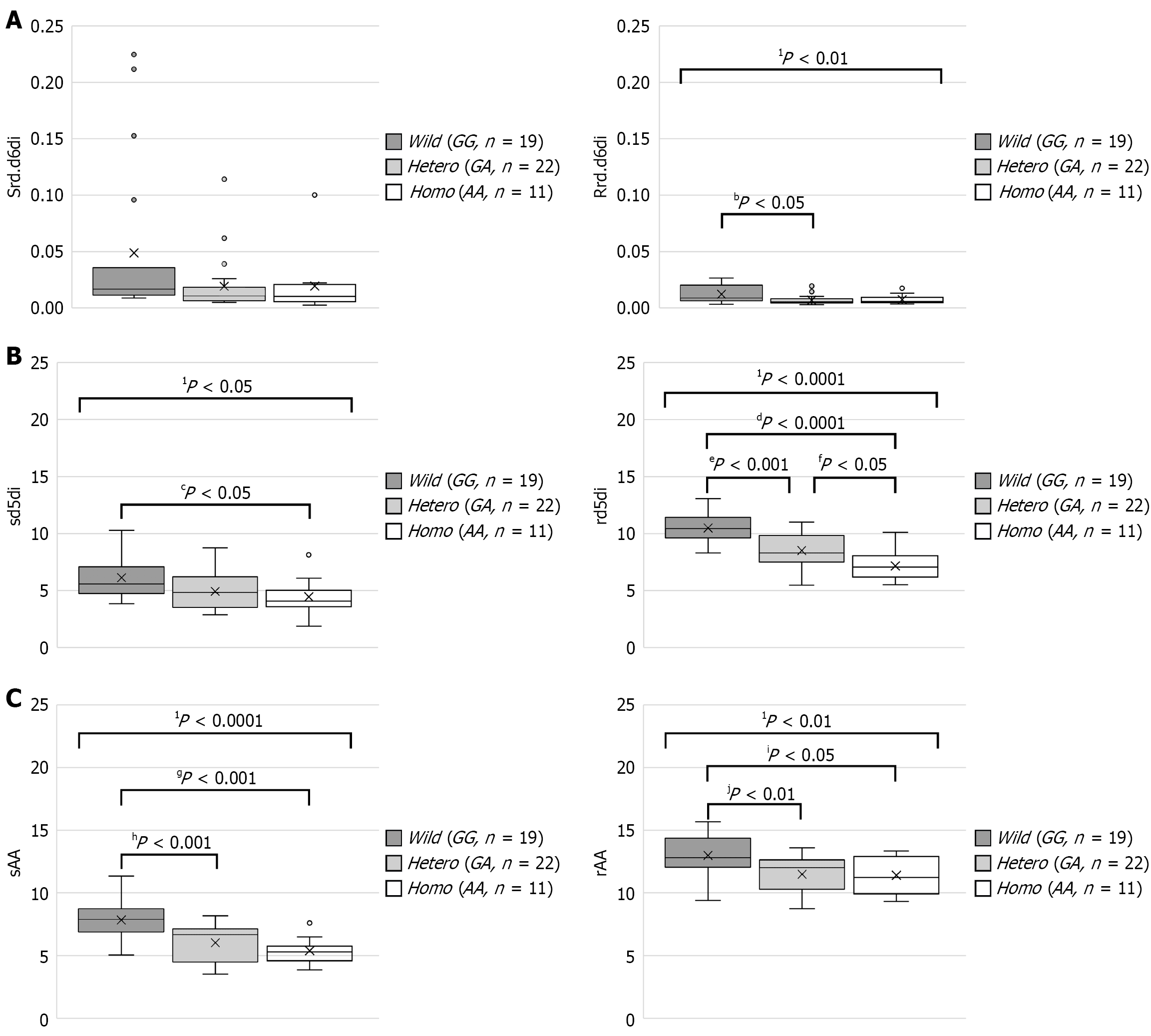
Figure 2 Findings in relation to rs174538 mutation.
A: For serum and erythrocyte membranes, and rd.d6di. bP < 0.05 for wild vs hetero; B: For serum and erythrocyte membranes, and d5di. cP < 0.05 for wild vs homo, dP < 0.0001 for wild vs homo, eP < 0.001 for wild vs hetero, fP < 0.05 for hetero vs homo; C: For serum and erythrocyte membranes, and arachidonic acid. gP < 0.001 for wild vs homo, hP < 0.001 for wild vs hetero, iP < 0.05 for wild vs homo, jP < 0.01 for wild vs hetero. 1ANOVA, followed by Tukey’s HSD test. Rrd.d6di: Red blood cell redefined δ6 desaturase index; Srd.d6di: Serum redefined δ6 desaturase index; rd5di: Red blood cell δ5 desaturase index; sd5di: Serum δ5 desaturase index; rAA: Red blood cell arachidonic acid; sAA: Serum arachidonic acid.
Figure 3 Relationship between Crohn’s disease activity index and δ6 desaturase index for each rs174538 mutation.
1Pearson’s correlation coefficient. CDAI: Crohn’s disease activity index; Rrd.d6di: Red blood cell redefined δ6 desaturase index; Srd.d6di: Serum redefined δ6 desaturase index.
Figure 4 Genes linked to rs174538, based on analysis of reports of genetic polymorphisms that result in high linoleic acid and low arachidonic acid.
Analysis of polymorphisms and rs174538 in Japanese Multi Omics Reference Panel showed that most of the polymorphisms had linkage.
Figure 5 Relationship between δ6 and δ5 desaturase indexes in association with rs174538 mutation.
1Pearson’s correlation coefficient. Rrd.d6di: Red blood cell redefined δ6 desaturase index; rd5di: Red blood cell δ5 desaturase index; Srd.d6di: Serum redefined δ6 desaturase index; sd5di: Serum δ5 desaturase index.
- Citation: Matsuzawa H, Ito Z, Uchiyama K, Motoi Y, Ohtaki Y, Iwashita Y, Suzuki S, Nakada T, Koido S, Kojima K, Murohashi K, Saruta M, Ohkusa T, Kubota T. Association of FADS2 polymorphism rs174538 with fatty acid metabolism and disease severity in Japanese patients with Crohn’s disease. World J Gastroenterol 2026; 32(2): 112132
- URL: https://www.wjgnet.com/1007-9327/full/v32/i2/112132.htm
- DOI: https://dx.doi.org/10.3748/wjg.v32.i2.112132
