Copyright
©The Author(s) 2025.
World J Gastroenterol. Dec 21, 2025; 31(47): 114370
Published online Dec 21, 2025. doi: 10.3748/wjg.v31.i47.114370
Published online Dec 21, 2025. doi: 10.3748/wjg.v31.i47.114370
Figure 1 Flow chart for patient enrollment.
Figure 2 Global model explanation by the SHapley Additive exPlanations method.
A: SHapley Additive exPlanations (SHAP) summary bar plot; B: SHAP summary dot plot. The probability of acute kidney injury development increases with the SHAP value of a feature. A dot is made for SHAP value in the model for each single patient, so each patient has one dot on the line for each feature. The colors of the dots demonstrate the actual values of the features for each patient, as red means a higher feature value and blue means a lower feature value. The dots are stacked vertically to show density; C: SHAP dependence plot. Each dependence plot shows how a single feature affects the output of the prediction model, and each dot represents a single patient; D: Performance metrics of the four machine learning models in the cohort; E and F: Waterfall plots demonstrating individual patient feature contributions towards risk classification: Panel E indicates a patient classified as “early postoperative complications”, panel F a patient classified as “non-early postoperative complications”. LnSII: Log-transformed systemic immune inflammatory index; IV PL: Partial lobectomy of segment IV; AFR: Albumin-to-fibrinogen ratio; MELD: Model for end-stage liver disease; RF: Random forest; SVM: Support vector machine; XGB: Extreme gradient boosting; LR: Logistic regression; ALP: Alkaline phosphatase; CIT: Cold ischemia time; SHAP: SHapley Additive exPlanations; WIT: Warm ischemia time; GGT: Gamma-glutamyl transferase.
Figure 3 Establishing a diagnostic nomogram for early postoperative complications.
A: Nomogram for the diagnosis of early postoperative complications; B: Calibration curve for prediction accuracy; C: Receiver operating characteristic curves of four indexes in the cohort; D: The receiver operating characteristic curve of the combination of four indexes; E: Decision curve analysis for the nomogram. LnSII: Log-transformed systemic immune inflammatory index; IV PL: Partial lobectomy of segment IV; AUC: Area under the curve; MELD: Model for end-stage liver disease.
Figure 4 Survival of split liver transplantation recipients with four indexes.
Kaplan-Meier survival curves were compared using the log-rank test. A: Systemic immune inflammatory; B: Blood loss; C: Meld scores; D: Partial lobectomy of segment IV. SLT: Split liver transplantation; SII: Systemic immune inflammatory; PL: Partial lobectomy; WPL: Without partial lobectomy; MELD: Model for end-stage liver disease.
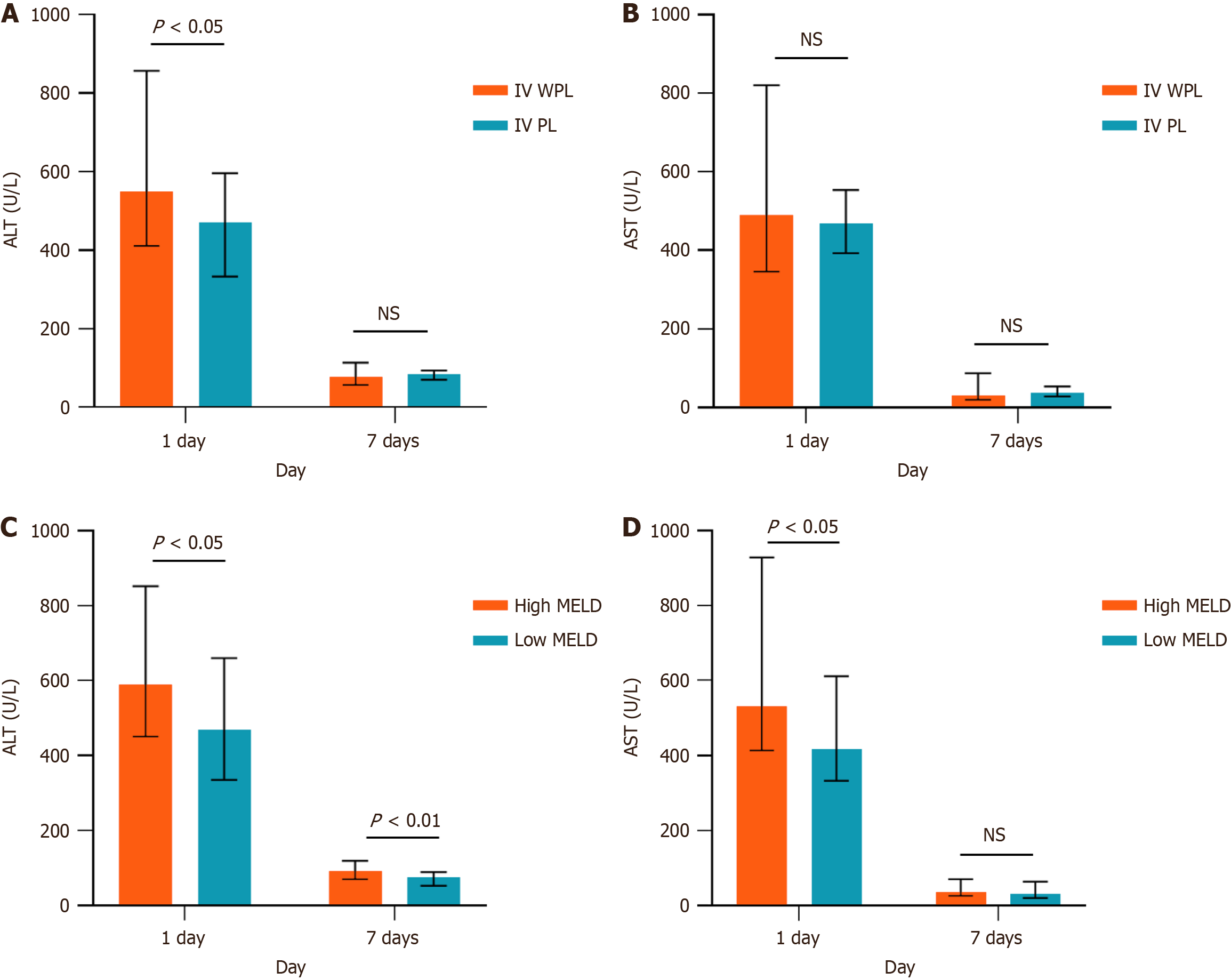
Figure 5 Comparison of alanine aminotransferase and aspartate aminotransferase levels (U/L) in recipients at 1 day and 7 days post-transplant.
A: Significantly higher alanine aminotransferase levels without partial lobectomy of segment IV vs partial lobectomy of segment IV at 1 day (P < 0.05); B: No significant difference in aspartate aminotransferase levels between without partial lobectomy of segment IV and partial lobectomy of segment IV; C: Significantly higher alanine aminotransferase levels in the high model for end-stage liver disease group compared to the low model for end-stage liver disease group at 1 day (P < 0.05); D: Significantly higher aspartate aminotransferase levels in the high model for end-stage liver disease group at 1 day (P < 0.05), with no significant differences observed at 7 days. IV WPL: Without partial lobectomy of segment IV; IV PL: Partial lobectomy of segment IV; ALT: Alanine aminotransferase; AST: Aspartate aminotransferase; NS: Not significant; MELD: Model for end-stage liver disease.
- Citation: Wang D, Zhang JY, Xie Y, Zhang KN, Jiang WT. Interpretable machine learning model for early complication prediction after split liver transplantation. World J Gastroenterol 2025; 31(47): 114370
- URL: https://www.wjgnet.com/1007-9327/full/v31/i47/114370.htm
- DOI: https://dx.doi.org/10.3748/wjg.v31.i47.114370
