Copyright
©The Author(s) 2025.
World J Gastroenterol. Dec 14, 2025; 31(46): 112530
Published online Dec 14, 2025. doi: 10.3748/wjg.v31.i46.112530
Published online Dec 14, 2025. doi: 10.3748/wjg.v31.i46.112530
Figure 1 A flow chart of the study.
CT: Computed tomography; HCC: Hepatocellular carcinoma; AFP: Alpha fetoprotein; CLD: Chronic liver disease; TACE: Transarterial chemoembolization; RF: Radiofrequency.
Figure 2 Tumor size and treatment response in the hepatocellular carcinoma group.
A: Tumor size before and after treatment in the hepatocellular carcinoma (HCC) group; B: Treatment response in the HCC group.
Figure 3 Box plot graphs showing laboratory parameters before and after treatment in the hepatocellular carcinoma group compared to the chronic liver disease control group.
A: Alpha fetoprotein (AFP) before and after treatment in the hepatocellular carcinoma (HCC) group; B: Telomere length before and after treatment in the HCC group; C: AFP before and after treatment in the HCC and chronic liver disease (CLD) groups; D: Telomere length before and after treatment in the HCC and CLD groups. AFP: Alpha fetoprotein; HCC: Hepatocellular carcinoma; CLD: Chronic liver disease. Asterisks represent the dataset outliers.
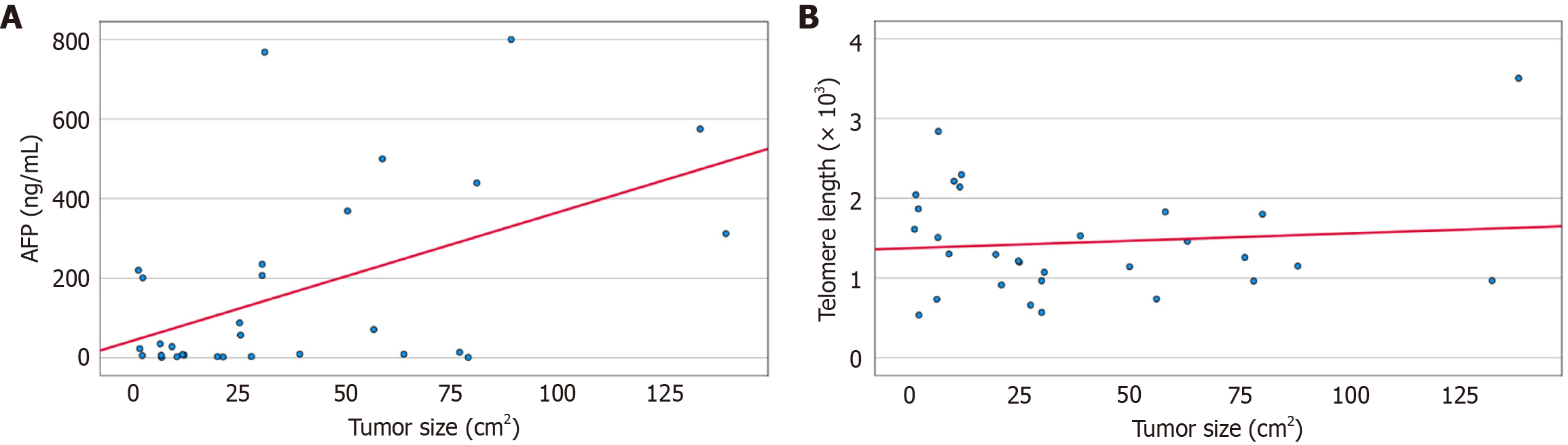
Figure 4 Correlation between alpha fetoprotein and telomere length and tumor size in the hepatocellular carcinoma group.
A: Correlation between alpha fetoprotein before treatment and tumor size in the hepatocellular carcinoma (HCC) group; B: Correlation between telomere length after treatment and tumor size in the HCC group. AFP: Alpha fetoprotein.
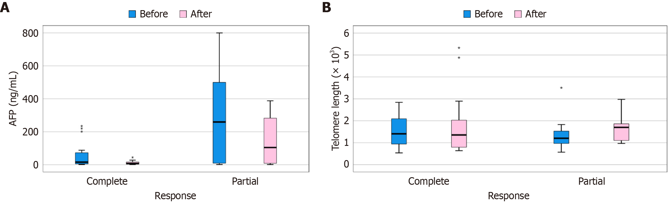
Figure 5 Bar chart graphs showing alpha fetoprotein and telomere length according to tumor response in the hepatocellular carcinoma group.
A: Comparison of alpha fetoprotein before and after treatment according to response in the hepatocellular carcinoma (HCC) group; B: Comparison of telomere length before and after treatment according to response in the HCC group. AFP: Alpha fetoprotein. Asterisks represent the dataset outliers.
Figure 6
Scatter plot showing the relationship between telomere length and largest diameter of hepatic focal lesions for all data samples in the hepatocellular carcinoma group before or after treatment.
- Citation: El-Nakeep S, AbdelAziz H, Michael TG, ElGhandour AM, Abdelsattar HA, Awad FMR, Kasi A. Clinical utility of telomeres as diagnostic and short-term prognostic markers in loco-regional treatment of hepatocellular carcinoma. World J Gastroenterol 2025; 31(46): 112530
- URL: https://www.wjgnet.com/1007-9327/full/v31/i46/112530.htm
- DOI: https://dx.doi.org/10.3748/wjg.v31.i46.112530
