Copyright
©The Author(s) 2025.
World J Gastroenterol. Nov 7, 2025; 31(41): 111361
Published online Nov 7, 2025. doi: 10.3748/wjg.v31.i41.111361
Published online Nov 7, 2025. doi: 10.3748/wjg.v31.i41.111361
Figure 1 Flowchart of study population.
AVB: Acute variceal bleeding; AI: Artificial intelligence; EIS: Endoscopic injection sclerotherapy; EVL: Endoscopic variceal ligation; TIPS: Transjugular intrahepatic portosystemic shunt; p-TIPS: Preemptive transjugular intrahepatic portosystemic shunt; PT: Pharmacotherapy.
Figure 2 Workflow of the development and testing of artificial intelligence-acute variceal bleeding model.
A: Overview of the prediction pipeline; B: Architecture of artificial intelligence-acute variceal bleeding; C: Architecture of atrous spatial pyramid pooling; D: Architecture of blocks. SBP: Systolic blood pressure; HR: Heart rate; AVB: Acute variceal bleeding; AI: Artificial intelligence; P: Positive; N: Negative; ICU: Intensive care unit; AUC: Area under the curve; RB: Residual block; CB: Convolution block; LB: Linear block; ASPP: Atrous spatial pyramid pooling; ReLU: Rectified linear unit; Conv: Convolution; Norm: Normalization; Drop: Dropout.
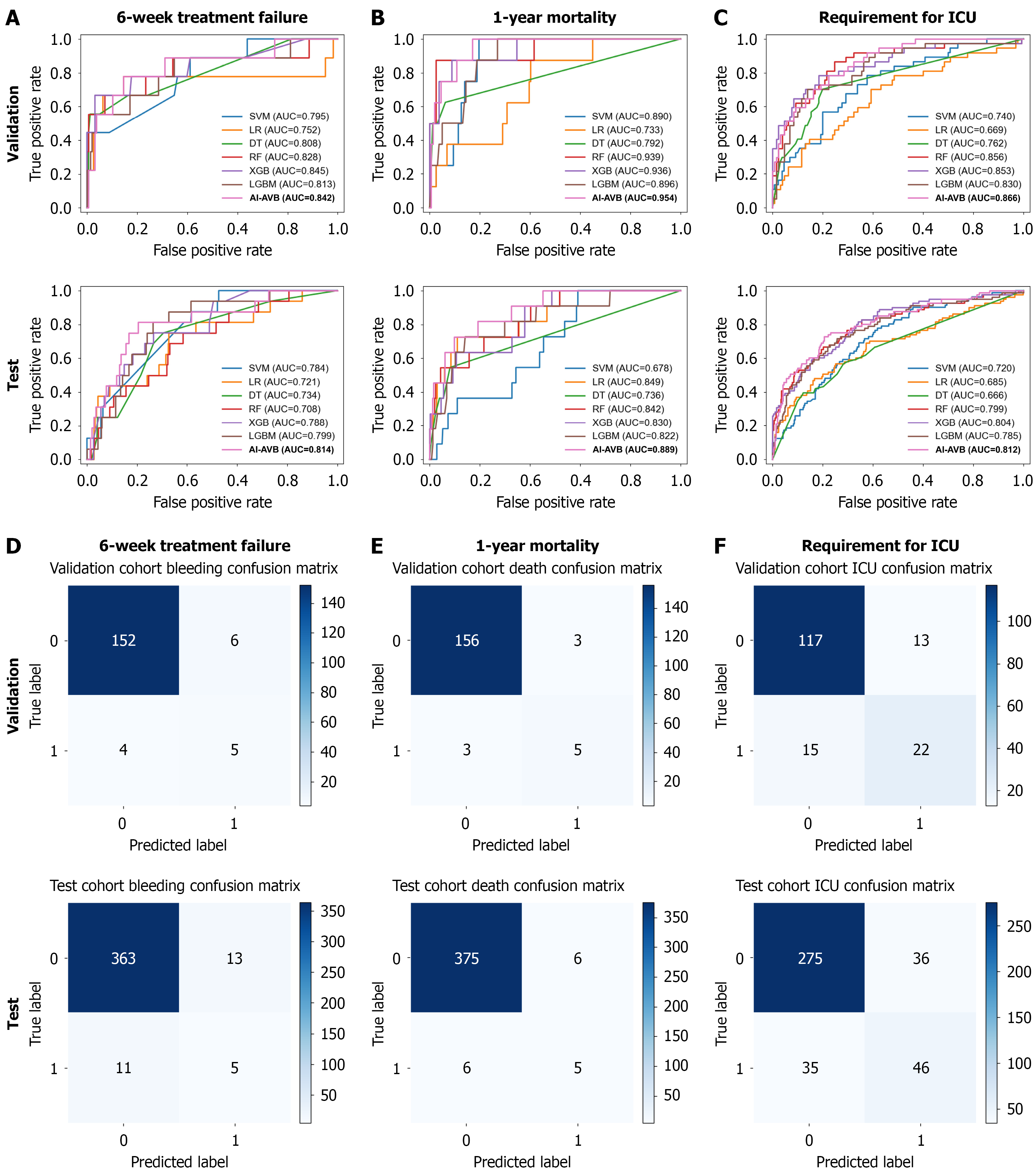
Figure 3 Receiver operating characteristic curves and confusion matrix of different models for clinical outcomes in acute variceal bleeding patients.
A-C: Receiver operating characteristic curves of seven models for 6-week treatment failure, 1-year mortality, intensive care unit (ICU) requirement, respectively, in the internal and external validation cohort; D-F: Confusion matrix for 6-week treatment failure, 1-year mortality, ICU requirement, respectively, in the internal and external validation cohort using artificial intelligence-acute variceal bleeding algorithms. True labels on the vertical axis and predicted labels on the horizontal axis. ICU: Intensive care unit; AUC: Area under the curve; SVM: Support vector machine; LR: Logistic regression; DT: Decision tree; RF: Random forest; XGB: Extreme gradient boosting; LGBM: Light gradient boosting machine; AVB: Acute variceal bleeding; AI: Artificial intelligence.
Figure 4 Cumulative incidence of treatment outcomes in high or low-risk acute variceal bleeding patients.
A: 6-week treatment failure in high or low-risk patients; B and C: 1-year survival rates in high and low risk patients. EVL: Endoscopic variceal ligation; p-TIPS: Preemptive transjugular intrahepatic portosystemic shunt; PT: Pharmacotherapy.
- Citation: Xiang Y, Yang N, Zheng TL, Huang YF, Liu TY, Ma DQ, Hu SJ, Zhang WH, Xiang HL, Zhang LY, Yuan LL, Wang X, Dang T, Zhang G, Wu B, Peng LJ, Gao M, Xia DL, Liu ZB, Li J, Song Y, Zhou XQ, Qi XS, Zeng J, Tan XY, Deng MM, Fang HM, Qi SL, He S, He YF, Ye B, Wu W, Shao JB, Wei W, Hu JP, Yong X, He CH, Bao JL, Zhang YN, Ji R, Bo Y, Yan W, Li HJ, Li SL, Geng S, Zhao L, Liu B, Qi XL. Development of a deep learning model for guiding treatment decisions of acute variceal bleeding in patients with cirrhosis. World J Gastroenterol 2025; 31(41): 111361
- URL: https://www.wjgnet.com/1007-9327/full/v31/i41/111361.htm
- DOI: https://dx.doi.org/10.3748/wjg.v31.i41.111361
