BPG is committed to discovery and dissemination of knowledge
Observational Study Open Access
©The Author(s) 2026. Published by Baishideng Publishing Group Inc. All rights reserved.
World J Psychiatry. Feb 19, 2026; 16(2): 113513
Published online Feb 19, 2026. doi: 10.5498/wjp.v16.i2.113513
Aberrant topology of the default mode network is associated with phosphatidylcholine and triglyceride levels in major depressive disorder
Yu-Hang Ma, Xin-Yu Wang, Wen-Liang Wang, Jing Zhang, Xiao-Hong Liu, Du-Xing Li, Zhen-He Zhou, Li-Min Chen, Department of Psychiatry, The Affiliated Mental Health Center of Jiangnan University, Wuxi 214151, Jiangsu Province, China
Hong-Liang Zhou, Department of Psychology, The Affiliated Hospital of Jiangnan University, Wuxi 214151, Jiangsu Province, China
ORCID number: Yu-Hang Ma (0009-0002-7939-8092); Li-Min Chen (0009-0003-5300-5032); Hong-Liang Zhou (0000-0002-6494-3346).
Co-first authors: Yu-Hang Ma and Xin-Yu Wang.
Co-corresponding authors: Li-Min Chen and Hong-Liang Zhou.
Author contributions: Ma YH analyzed the data and wrote the manuscript; Ma YH and Wang XY contributed equally to this study as co-first authors; Wang XY, Wang WL, and Zhang J collected the relevant data; Liu XH, Li DX, and Zhou ZH provided technological support; Zhou ZH provided financial support; Chen LM and Zhou HL designed the study and edited the manuscript, and they contributed equally to this manuscript as co-corresponding authors. All authors have read and approved the final manuscript.
Supported by Wuxi Taihu Talent Project, No. WXTTP2021.
Institutional review board statement: The study was reviewed and approved by the Ethics Committee of the Affiliated Mental Health Center of Jiangnan University (approval No. WXMHCIRB2025 LLky017).
Informed consent statement: All study participants, or their legal guardian, provided informed written consent prior to study enrollment.
Conflict-of-interest statement: The authors report no relevant conflicts of interest for this article.
STROBE statement: The authors have read the STROBE Statement-checklist of items, and the manuscript was prepared and revised according to the STROBE Statement-checklist of items.
Data sharing statement: Data used in this study can be available from the corresponding author at hongliangzh@jiangnan.edu.cn.
Corresponding author: Li-Min Chen, Chief Physician, Department of Psychiatry, The Affiliated Mental Health Center of Jiangnan University, No. 156 Qianhu Road, Binhu District, Wuxi 214151, Jiangsu Province, China. findition@163.com
Received: August 27, 2025
Revised: September 16, 2025
Accepted: November 3, 2025
Published online: February 19, 2026
Processing time: 156 Days and 4.1 Hours

Abstract
BACKGROUND

The default mode network (DMN) is associated with lipid metabolism. Patients with major depressive disorder (MDD) exhibit concurrent abnormal topological properties of the DMN and dysregulated lipid metabolism. However, there are no studies investigating the mechanisms underlying the associations between these two variables in patients with MDD.

AIM

To investigate the association between abnormal topological properties of the DMN and dysregulated lipid metabolism in patients with MDD.

METHODS

There were 147 participants, including 71 patients with MDD and 76 healthy controls. The 17-item Hamilton Depression Rating Scale (HAMD-17) was used to assess depression severity. Graph theoretical analysis was employed to compare group differences in the topological properties of the DMN across the following bilateral regions: the superior medial frontal gyrus, superior orbital frontal gyrus, posterior cingulate gyrus, parahippocampal gyrus, supramarginal gyrus (SMG), angular gyrus, precuneus, and middle temporal gyrus. Lipidomic techniques were employed to obtain lipid profiles, and orthogonal partial least squares discriminant analysis was performed to compare group differences in lipid profiles. Partial correlation analysis was performed between the abnormal topological properties of the DMN, HAMD-17 scores, and differential lipids.

RESULTS

Abnormal topological properties were observed in the MDD group in the following DMN regions: The right superior medial frontal gyrus (SFGmed.R), right posterior cingulate gyrus, left SMG, right SMG, and left angular gyrus. The betweenness centrality, degree centrality, and efficiency of the SFGmed.R were positively correlated with HAMD-17 scores, whereas the shortest path was negatively correlated with HAMD-17 scores. The betweenness centrality of the left SMG was positively correlated with HAMD-17 scores. The betweenness centrality of the SFGmed.R was positively correlated with phosphatidylcholine O-34:3 and triglyceride O-8:0_18:3_18:5 levels.

CONCLUSION

SFGmed.R is a crucial node within the DMN in MDD patients, and the betweenness centrality of the SFGmed.R is associated with phosphatidylcholine and triglyceride levels. These results may offer novel clues for exploring the pathophysiology and biomarker identification of MDD.

Key Words: Default mode network; Major depressive disorder; White matter; Lipids; Topological properties

Core Tip: The default mode network (DMN) is associated with lipid metabolism. Patients with major depressive disorder (MDD) exhibit abnormalities in the topological properties of the DMN and dysregulation in lipid metabolism. Our study investigated the association between the abnormal topological properties of the DMN and dysregulated lipid metabolism in MDD, revealing that the betweenness centrality of the right superior medial frontal gyrus is associated with phosphatidylcholine and triglyceride. The results may offer novel clues for exploring MDD pathophysiology and biomarker identification.



INTRODUCTION

Major depressive disorder (MDD) is a prevalent mood disorder characterized by persistent depressive mood, loss of interest or pleasure, recurrent suicidal ideation, and physical and cognitive impairments[1]. Although current therapeutic approaches demonstrate efficacy, only 30%-40% of patients with MDD achieve remission[2]. These findings indicate that the pathophysiological mechanisms of MDD remain incompletely understood, and that further mechanistic exploration is critical for improving patient outcomes.

A large amount of evidence suggests that functional and structural connectivity aberrations within the default mode network (DMN) are closely associated with MDD, and they are recognized as among the core mechanisms underlying its neural circuitry impairments[3-5]. The DMN supports multiple cognitive domains, including self-referential processing, social cognition, affective integration, and episodic memory, and serves as a central hub that interfaces with other brain networks[6,7]. Meta-analyses have indicated that in patients with MDD, there are alterations in the connectivity within the DMN, as well as in the connectivity between the salience network and the executive control network[8-10]. Furthermore, research has revealed that in patients with MDD, the connection stability within the DMN between the medial prefrontal cortex (mPFC) and the posterior cingulate cortex (PCC) is diminished[11]. Specifically, hyperactivation of the mPFC and the PCC was associated with rumination processes in patients with MDD[12,13]. Moreover, the connectivity between the mPFC and the thalamus is associated with treatment responses[14], and the connectivity of the PCC has been shown to predict suicide risk in patients with MDD[15]. These findings suggest that abnormalities within the DMN, with the dorsomedial prefrontal cortex and PCC at its core, hold a prominent position in the pathological mechanisms underlying MDD.

Graph theory-based brain network analysis has provided a new methodological framework for quantifying brain connectivity patterns. Functional or structural networks can be generated based on brain connectivity information extracted from neuroimaging data, such as functional and diffusion magnetic resonance imaging (MRI)[16]. Nodes within these networks are typically mapped and localized using a fixed anatomical atlas[17,18]. Numerous studies on structural brain networks have extensively adopted the use of widely recognized nodes from the brain atlas to define their structural basis[19,20]. Identification of node connectivity patterns within the brain network has become possible through the use of white matter fiber tractography to establish white matter connectivity between regions and the calculation of topological indices, including between centrality and degree centrality[21]. Research has shown that the node centrality of the bilateral superior medial frontal gyri, the right angular gyrus (ANG), and the bilateral precunei is diminished in the white matter structural network of the DMN among first-episode, drug-naive patients with MDD[22]. The abnormal topological properties of the DMN might represent one of the core neuropathological mechanisms underlying MDD.

Lipid metabolism disorders have also been implicated in the pathological mechanisms of MDD. Research has shown that first-episode, drug-naive patients with MDD exhibit decreased serum high-density lipoprotein cholesterol levels[23]. Furthermore, the onset of MDD is associated with lower levels of sphingomyelins and glycerophospholipids, along with higher levels of lysophospholipids. Changes in the levels of phosphatidylcholine (PC), phosphatidylinositol, sphingomyelin, and triglycerides (TGs) are associated with changes in depressive symptoms, as well as in the levels of psychosomatic traits, such as perceived stress and social support[24]. Concurrently, lipid metabolism disorders in patients with MDD are frequently accompanied by changes in body fat percentage and an increased risk of developing metabolic syndrome in later stages. This array of pathophysiological changes may contribute to the poor prognosis of patients with MDD[25,26]. Notably, lipids not only serve as crucial energy reserves and essential components of cell membranes, but also participate in myelination and neural signal transmission[27]. Consequently, lipid metabolism disorders may directly impact the topological properties of the white matter structural network.

Research has revealed a close association between the white matter structure of the DMN and lipid metabolism. In obese individuals, a decrease in white matter volume within the DMN was associated with increased body mass index (BMI) and body fat percentage[28]. Furthermore, research has shown that the fractional anisotropy value between the left middle temporal gyrus and left inferior temporal gyrus in MDD patients is positively correlated with lysophosphatidylcholine[29]. Animal studies have shown that in ApoE mice with atherosclerosis in the prefrontal region, glycerophospholipid metabolism pathways become dysregulated and the composition of the gut microbiota changes, leading to white matter abnormalities and synaptic dysfunction[30]. Simultaneously, chronic psychological stress model mice showed decreased fractional anisotropy in the cingulate cortex and elevated glycerophosphocholine levels in the prefrontal cortex[31]. However, to the best of our knowledge, no studies have defined the mechanism linking the topological properties of the DMN to lipid metabolism in MDD.

The aim of this study is to investigate the synergistic effects of the topological properties of the DMN and lipid metabolism dysregulation on the pathological mechanism of MDD, thus informing novel therapeutic strategies for MDD with obesity or metabolic syndrome. Based on previous findings, our study hypothesized that: (1) Abnormal topological properties of the DMN in MDD patients are present; (2) These abnormal topological properties are correlated with depression severity; and (3) Dysregulated lipid metabolism plays a crucial role in the abnormal topological properties of the DMN in patients with MDD.

MATERIALS AND METHODS

This study was conducted from February 1, 2025 to May 1, 2025 at the Affiliated Mental Health Center of Jiangnan University. This study was conducted in accordance with the Helsinki Declaration and was approved by the Ethics Committee of the Affiliated Mental Health Center of Jiangnan University (approval No. WXMHCIRB2025 LLky017). Signed informed consent was obtained from all participants before their inclusion in the study.

Study design

The demographic characteristics of patients with MDD and healthy controls (HCs) were evaluated. Moreover, a cross-sectional observational study in which topological properties, lipid metabolites, and depression severity were measured with a multidimensional assessment of graph theoretical analysis, lipidomics, and the 17-item Hamilton Depression Rating Scale (HAMD-17).

Participant recruitment

Participants included patients with MDD and HCs. The inclusion criteria for patients with MDD were as follows: (1) Met the Diagnostic and Statistical Manual of Mental Disorders, fifth edition criteria for MDD, with HAMD-17 scores ≥ 7; (2) 18-65 years old; (3) Had at least an educational level of primary school; and (4) Right-handedness[32]. The exclusion criteria for patients with MDD were as follows: (1) Had a history of neurological disorders or mental disorders other than MDD according to the Diagnostic and Statistical Manual of Mental Disorders, fifth edition; (2) Had a history of head trauma or head surgery; (3) Had received electroconvulsive therapy or modified electroconvulsive therapy within the past 6 months; (4) Had any contraindications to MRI; and (5) Were pregnant or breastfeeding. The exclusion criteria for HCs were as follows: (1) Had a history of mental illness; (2) Had a history of head trauma or head surgery; (3) Were pregnant or breastfeeding; and (4) Had a family history of mental illness.

A total of 71 patients with MDD were recruited from the Department of Psychology at the Affiliated Mental Health Center of Jiangnan University, China, and 76 HCs were recruited from the local community through advertising. Complete diffusion tensor imaging (DTI) data were obtained from all participants. Blood samples were collected from 32 patients with MDD and 39 HCs.

Measurements

The demographic characteristics of all participants were examined by two board-certified psychiatrists. These characteristics included sex, age, education, BMI and duration of illness. Depression was evaluated by the HAMD-17, and anxiety was assessed by the Hamilton Anxiety Rating Scale.

Neuroimaging data acquisition and preprocessing

DTI data were acquired on a 3.0T MRI scanner (SIGNA Architect, GE Healthcare, Milwaukee, WI, United States) with an eight-channel phased-array head coil. Whole-brain diffusion-weighted images were collected along 45 gradient directions (b = 1000 seconds/mm2) with 6 non-diffusion-weighted volumes (b = 0 second/mm2). The acquisition parameters were as follows: Repetition time = 13000 milliseconds, echo time = 106.3 milliseconds, slice thickness = 2.0 mm, field of view = 240 mm2, matrix size = 128 × 128, and voxel resolution = 2 mm × 2 mm × 2 mm. Post-acquisition DTI processing was performed using MRtrix3 (v3.0) and FSL (v6.0.7.13). The preprocessing pipeline included: (1) Denoising; (2) Gibbs-ringing artifact removal; (3) Motion and eddy current correction; and (4) Bias field correction.

White matter network construction and analysis

White matter structural networks were constructed using deterministic fiber tracking in DSI Studio (https://dsi-studio.labsolver.org). The diffusion data were reconstructed in the Montreal Neurological Institute space using q-space diffeomorphic reconstruction to obtain the spin distribution function[33]. A diffusion sampling length ratio of 1.25 was used. The output resolution in the diffeomorphic reconstruction was 2 mm isotropic. Restricted diffusion was quantified using restricted diffusion imaging. The tensor metrics were calculated using diffusion-weighted imaging with b values lower than 1750 seconds/mm2. A deterministic fiber tracking algorithm was used with augmented tracking strategies to improve reproducibility. The anisotropy threshold was set to the default value of the software. The angular threshold ranged from 15 degrees to 90 degrees. The step size was set to the voxel spacing. Tracks with lengths shorter than 20 mm were discarded. A total of 1000000 tracts were calculated. Shape analysis was conducted to derive shape metrics for tractography. The brain was parcellated into 90 regions of interest using the automated anatomical labeling atlas[34]. These 90 regions served as network nodes, while the numbers of fibers between regions defined the edges, generating 90 × 90 sparse connectivity matrices. The sparsity threshold was set by default in DSI Studio to ensure that network density remained within a normal range. The value of 0.8 represents a subject consistency criterion for constructing the group-level mask. Only connections consistently present in 80% of participants were included in the group-level network analysis to mitigate the impact of individual variability and noise.

Network topological properties were computed using GRETNA (v2.0.0)[35]. Because sparse connectivity matrices were pre-generated in DSI Studio, no additional matrix thresholding was applied within GRETNA. The examined topological properties included betweenness centrality, degree centrality, clustering coefficient, global efficiency, local efficiency, and shortest path length (Table 1). Based on previous studies[36-38], the following bilateral regions were designated as DMN core nodes: Superior medial frontal gyrus (SFGmed), superior orbital frontal gyrus, posterior cingulate gyrus (PCG), parahippocampal gyrus, supramarginal gyrus (SMG), ANG, precuneus, and middle temporal gyrus (Table 2).

Table 1 Introduction of nodal metrics and their meaning in the brain structural network.
Nodal metrics
Meaning
Betweenness centralityThe extent to which a node controls information flow by lying on shortest paths between other node pairs in the network
Degree centralityThe number of edges directly connected to a node
Clustering coefficientThe density of connections among a node’s immediate neighbors
EfficiencyThe ability of a node to propagate information with the other nodes in a network
Local efficiencyThe robustness of information transfer within the immediate neighborhood of a node upon its removal
Shortest path lengthThe minimum number of edges required to traverse between two nodes
Table 2 Default mode network nodes in prior research.
Node name
Left
Right
SFGmedSFGmed.LSFGmed.R
ORBsupmedORBsupmed.LORBsupmed.R
PCGPCG.LPCG.R
PHGPHG.LPHG.R
SMGSMG.LSMG.R
ANGANG.LANG.R
PCUNPCUN.LPCUN.R
MTGMTG.LMTG.R
Extraction of plasma lipid metabolites and liquid chromatography-tandem mass spectrometry analysis

Peripheral blood was collected in ethylenediaminetetraacetic acid-anticoagulant tubes on the same day as the MRI scan. The plasma was separated and stored at -80 °C until analysis. The samples were subsequently sent to AZENTA for metabolomic profiling. A total of 100 μL sample was mixed with 480 μL extraction solution [methyl-tert-butyl ether:methanol (v/v = 5:1)], and centrifuged. The resulting supernatant was collected and dried under vacuum. Dried extracts were reconstituted in 100 μL dichloromethane:methanol (v/v = 1:1), followed by centrifugation. Finally, 75 μL supernatant was transferred to glass vials for liquid chromatography-mass spectrometry analysis.

For lipids, liquid chromatography-tandem mass spectrometry analyses were performed using an ultra-high performance liquid chromatography system (Vanquish, Thermo Fisher Scientific, MA, United States) with the Phenomenex Kinetex C18 coupled to Orbitrap Exploris 120 mass spectrometer (Orbitrap MS, Thermo, MA, United States). The electrospray ionization source conditions were set as following: Sheath gas flow rate = 30 Arb, auxiliary gas flow rate = 10 Arb, capillary temperature 320 °C, full mass spectrometry resolution = 60000, tandem mass spectrometry resolution = 15000, collision energy: Stepped normalized collision energy 15/30/45, spray voltage = 3.8 kV or -3.4 kV, respectively.

The raw data files were converted to mzXML files format using the ‘msconvert’ program from ProteoWizard. The centWave algorithm in XCMS was used for peak detection, extraction, alignment, and integration. The minfrac for annotation was set at 0.5 and the cutoff for annotation was set at 0.3. Lipid identification was achieved through spectral matching using LipidBlast library, which was developed using R and based on XCMS.

Statistical analysis

Demographic analyses were performed using SPSS 26.0 (SPSS, IBM Corp, Armonk, NY, United States). Sex differences between the MDD and HC groups were assessed by χ2 tests, whereas age, education years, and BMI were compared using independent samples t tests. Under the condition of controlling age, gender, educational level and BMI, the topological properties were analyzed in GRETNA. Group differences in topological properties were evaluated, with false discovery rate (FDR) correction applied to 16 predefined DMN core nodes of interest. Lipid metabolites identified through lipidomics were subjected to multivariate analysis to determine intergroup differences (thresholds: Variable importance in projection > 1, q value < 0.05, FDR). Partial correlation analyses controlling for age, sex, education, and BMI revealed: (1) Associations between group-differentiated topological properties of the DMN and HAMD-17 scores; and (2) Associations between these topology metrics and differential lipid metabolites.

RESULTS
Demographic characteristics

As shown in Table 3, we did not identify any statistically significant differences between the MDD and HC groups in terms of age, sex distribution, or BMI. Education differed significantly between groups, and education among the HCs was higher than that among the MDD patients. Doses of antidepressants were converted to fluoxetine equivalent doses based on previous studies[39].

Table 3 Demographic characteristics, mean ± SD.

MDD (n = 71)
HC (n = 76)
t/χ2
P value
Age31.52 ± 11.6330.68 ± 8.710.4960.621
Education (years)13.07 ± 3.1515.62 ± 3.07-4.960< 0.001c
Sex (male/female)27/4435/410.9690.325
BMI (kg/m2)22.56 ± 4.2122.81 ± 4.55-0.3450.730
HAMA19.69 ± 5.69---
HAMD-1721.59 ± 5.62---
Total disease duration (months)52.44 ± 53.0---
Average daily dose (mg)21.12 ± 12.92---
SSRI/SNRI/NaSSA/SARI34/21/9/7---
Topological properties of the DMN

FDR correction was restricted to 16 key DMN nodes. Compared with HCs, MDD patients had a right SFGmed (SFGmed.R) with decreased betweenness centrality (q = 0.019, FDR), degree centrality (q = 0.005, FDR), and efficiency (q = 0.005, FDR) with increased shortest path length (q = 0.005, FDR). The right PCG exhibited increased betweenness centrality (q = 0.011, FDR), decreased clustering coefficient (q = 0.029, FDR) and decreased local efficiency (q = 0.029, FDR). In the left SMG (SMG.L), there was decreased betweenness centrality (q = 0.049, FDR); in the right SMG (SMG.R), there was increased betweenness centrality (q = 0.049, FDR); and in the left ANG, there was increased betweenness centrality (q = 0.021, FDR) (Table 4, Figure 1).

Figure 1
Figure 1 Brain regions with significant between-group differences in nodal topological properties. Red and blue balls represent increased and decreased nodal topological properties in patients with major depressive disorder compared to healthy controls. The significance threshold was set at a false discovery rate corrected q value < 0.05. SMG.L: Left supramarginal gyrus; ANG.L: Left angular gyrus; SMG.R: Right supramarginal gyrus; PCG.R: Right posterior cingulate gyrus; SFGmed.R: Right medial superior frontal gyrus; L: Left; R: Right.
Table 4 Abnormal topological properties of the default mode network nodes in patients with major depressive disorder.
Nodal metrics
Node
P value
FDR q value
Betweenness centralitySFGmed.R0.0020.019a
PCG.R< 0.001c0.011a
SMG.L0.0160.049a
SMG.R0.0120.049a
ANG.L0.0040.021a
Degree centralitySFGmed.R< 0.001c0.005a
SMG.L0.0190.153
Clustering coefficientPCG.R0.0020.029a
SMG.L0.0340.108
SMG.R0.0200.108
ANG.L0.0250.108
ANG.R0.0290.108
EfficiencySFGmed.R< 0.001c0.005a
SMG.L0.0140.114
Local efficiencyPCG.R0.0020.029a
SMG.L0.0340.108
SMG.R0.0200.108
ANG.L0.0250.108
ANG.R0.0290.108
Shortest pathSFGmed.R< 0.001c0.005a
SMG.L0.0140.109
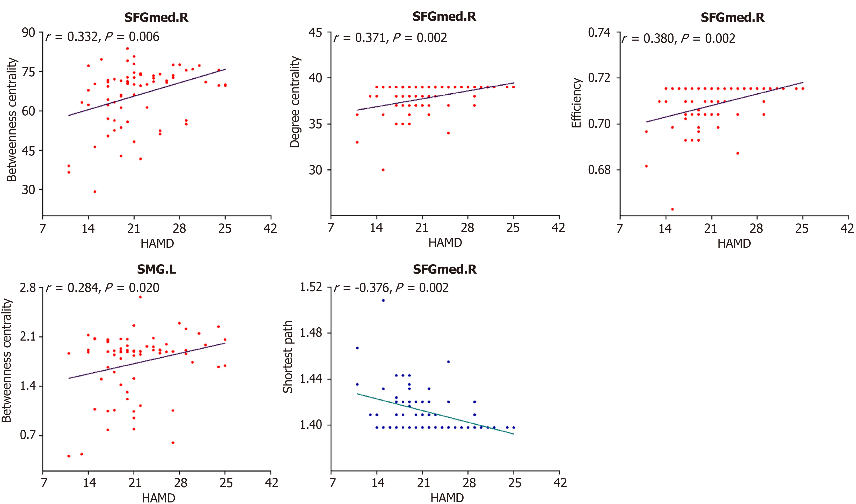
Correlation analysis of topological properties and HAMD-17 scores

We conducted a partial correlation analysis of topological properties and HAMD-17 scores, with demographic data used as control variables. The correlations among topological properties and HAMD-17 scores in the MDD group are shown in Figure 2. In patients with MDD, betweenness centrality (r = 0.332, P = 0.006), degree centrality (r = 0.371, P = 0.002), and efficiency (r = 0.380, P = 0.002) of the SFGmed.R were positively correlated with the HAMD-17 scores. In addition, shortest path length (r = -0.376, P = 0.002) of the SFGmed.R were negatively correlated with the HAMD-17 scores, and betweenness centrality (r = 0.284, P = 0.020) of the SMG.L were positively correlated with the HAMD-17 scores.

Figure 2
Figure 2 Scatter plots of correlations between abnormal topological properties of the default mode network nodes and Hamilton Depression Rating Scale scores in patients with major depressive disorder. Red spots represent positive correlations between abnormal topological properties of the default mode network nodes and 17-item Hamilton Depression Rating Scale scores. Blue spots represent negative correlations between abnormal topological properties of the default mode network nodes and 17-item Hamilton Depression Rating Scale scores. SFGmed.R: Right medial superior frontal gyrus; HAMD: Hamilton Depression Rating Scale; SMG.L: Left supramarginal gyrus.
Screening of differential lipid metabolites

Lipidomic analysis revealed 2040 lipid metabolites across 32 patients with MDD and 39 HCs. As shown in Figure 3, patients with MDD presented significantly lower levels of seven lipid species compared with HCs: PC O-34:3 (q = 0.029, FDR), PC 17:0_18:2 (q = 0.034, FDR), PC 19:0_16:1 (q = 0.038, FDR), PC 19:0_18:2 (q = 0.038, FDR), TG O-8:0_18:3_18:5 (q = 0.031, FDR), TG O-8:0_18:5_20:3 (q = 0.042, FDR), and diacylglyceryl carboxyhydroxymethylcholine 20:0_26:0 (q = 0.038, FDR).

Figure 3
Figure 3 Volcano plot of lipid metabolite differences between the major depressive disorder and healthy control groups. Metabolites identified via lipidomics were subjected to multivariate analysis to assess inter-group differences. Statistical significance was determined based on a combination of a variable importance in projection score > 1.0 and a false discovery rate corrected q value < 0.05. The X-axis represents log2 (fold change), and the Y-axis shows -log10 (false discovery rate q value). A total of 2033 metabolites were not significantly altered; no metabolites were up-regulated and 7 metabolites were down-regulated in the major depressive disorder group compared to healthy controls. FDR: False discovery rate; VIP: Variable importance in projection.
Correlations between differential topological properties and differential lipid metabolites

We conducted a partial correlation analysis of HAMD-17-associated topological properties and differential lipid metabolites, with demographic data used as control variables. As illustrated in Figure 4, the betweenness centrality of the SFGmed.R were positively correlated with PC O-34:3 (r = 0.398; P = 0.036) and TG O-8:0_18:3_18:5 (r = 0.383; P = 0.044).

Figure 4
Figure 4 Correlations between differential topological properties and differential lipid metabolites in patients with major depressive disorder. The values in each cell indicate corresponding correlation coefficient. aP < 0.05. SMG.L: Left supramarginal gyrus; SFGmed.R: Right medial superior frontal gyrus; PC: Phosphatidylcholine; TG: Triglyceride; DGCC: Diacylglyceryl carboxyhydroxymethylcholine.
DISCUSSION

In this study, the association between the topological properties of the DMN and lipid metabolism was investigated in patients with MDD through partial correlation analysis. Our study revealed that compared with HCs, patients with MDD exhibited alterations in the topological properties of the DMN to varying degrees. Furthermore, in patients with MDD, the betweenness centrality, degree centrality, and efficiency of the SFGmed.R were positively correlated with the HAMD-17 scores. The shortest path of the SFGmed.R was negatively correlated with the HAMD-17 score. Moreover, the betweenness centrality of the SMG.R was positively correlated with the HAMD-17. Finally, in patients with MDD, the betweenness centrality of the SFGmed.R was positively correlated with PC O-34:3 and TG O-8:0_18:3_18:5.

The DMN serves as a dynamic hub in the brain, integrating and coordinating information across different large-scale networks. Different nodes of the DMN are selectively activated in accordance with information transmission pathways or specific cognitive contexts[40]. The SFGmed, PCG, SMG, and ANG serve as crucial nodes of the DMN. These regions are involved in functions such as social cognition, emotion regulation, episodic memory, and self-referential processing[6,41]. Previous studies have reported a decrease in the SFGmed nodal efficiency in patients with MDD, suggesting that functional alterations in brain regions may have a structural basis[42]. Additionally, the SFGmed has been identified as a sensitive predictive marker for symptom improvement following treatment in patients with MDD[43]. The PCG serves as a central hub of the DMN, facilitating dynamic coordination across multiple brain networks through cross-network interactions[44]. Elevated betweenness centrality in the PCG indicates enhanced hub functionality of the DMN within the whole-brain connectome. This reflects the region’s amplified intermediary role in global information transfer. Research has indicated that reduced degree centrality of the SMG is associated with insomnia[45], which is a core symptom of MDD. The functional connectivity between the SMG and the medial orbitofrontal gyrus is negatively correlated with HAMD scores[46]. Additionally, the ANG has been confirmed to be associated with anhedonia and sleep disorders in patients with MDD[47,48]. Alterations in nodal topology and functional connections within the DMN may underlie the pathophysiological mechanisms responsible for certain clinical manifestations of MDD.

Previous studies have reported hemispheric asymmetry in functional connectivity and gray matter volume in the DMN[49], but there is a lack of exploration of white matter connectivity. Our results revealed opposite alterations in betweenness centrality in the bilateral SMG. The SMG.R is associated with perceived chronic stress and empathy[50], and the functional connectivity between the right temporopolar area and the SMG.R has been shown to mediate the relationship between social support and depression severity[51]. This suggests that the enhanced centrality of the SMG.R may be primarily linked to impairments in social cognition and abnormalities in emotional regulation. Studies have also shown that more severe prolonged grief intensity is associated with reduced gray matter volume in the SMG.L[52]. Furthermore, a decrease in SMG.L volume mediates the relationship between prolonged grief and Stroop Time Inference scores, suggesting that prolonged grief exerts an indirect effect on cognitive inhibition[52]. The decreased centrality of the SMG.L may be associated with structural impairments and declined cognitive inhibition function. Such imbalance in the bilateral SMG could potentially disrupt the functional integration of emotional regulation and cognitive control in patients with MDD.

Clinical research has repeatedly demonstrated anomalies in PC and TG levels in patients with MDD[24,53,54]. PC modulates the expression of neurotrophic factors and synaptic proteins, thereby alleviating inflammation-induced neural damage and synaptic dysfunction[55,56]. PC O-34:3, an ether phospholipid implicated in modulating membrane fluidity and serving as a structural constituent of the myelin sheath, is correlated with depression severity[57]. TG, the predominant circulating lipid responsible for regulating systemic energy balance, plays an important role in the cognitive impairments associated with MDD[58]. Cognitive impairment is intricately associated with white matter damage[59]. These findings suggest that the TG might participate in the pathological process of MDD by influencing white matter integrity. TG O-8:0_18:3_18:5 contains a short-chain ether bond and two long-chain polyunsaturated fatty acids (PUFAs). Studies have revealed that in patients with MDD, reduced omega-3 PUFA content can impact myelin sheath formation. Moreover, supplementation with PUFAs can increase white matter integrity[60]. The plasma metabolites could exchange to cerebrospinal fluid and reflect or affect central neuronal function and physiological state[61]. Moreover, alterations in the brain white matter lipidome have been previously reported in individuals with mental disorders[62,63]. Furthermore, changes in white matter structure often directly affect the topological properties of brain networks that rely on white matter fiber connections. PC and TG may collectively regulate white matter architecture through participating in myelination and providing neuroprotective PUFAs, thereby contributing to the maintenance of brain network topological properties.

Studies have shown that the increased level of inflammatory factors in the central nervous system of patients with MDD can trigger neuroinflammatory processes, which disrupt myelination and compromise myelin integrity, leading to white matter impairment[64,65]. C-reactive protein, an inflammatory factor, not only directly regulates the functional connectivity between the DMN and the salience network but may also mediate abnormal functional connectivity in patients with MDD via the remodeling of white matter microstructure[64]. Bioactive lipids are involved in immune regulation and inflammatory responses[66]. Research indicates that a deficiency of omega-3 PUFAs, such as docosahexaenoic acid, may exacerbate depressive phenotypes through neuroinflammation[67]. Conversely, disruptions in lipid metabolism may trigger inflammatory responses that damage the white matter structure of the DMN, potentially ultimately impairing its ability to integrate neural information.

In addition, this study explored the potential mediating effects of PC O-34:3 and TG O-8:0_18:3_18:5 on the topological properties of the DMN in patients with MDD. Although both lipid species were significantly correlated with the local topological attributes of the SFGmed.R, mediation analysis did not reveal statistically significant effects. These negative findings might be attributed to the limited statistical power resulting from the limited sample size. Therefore, our results must be interpreted cautiously.

According to our exploration in effects of medication, there is no significant correlation between the abnormal topological properties of the DMN in patients with MDD and the average daily medication dose. Structural alterations in cerebral white matter are generally a gradual process. While short-term antidepressant treatment may influence white matter by modulating synaptic neurotransmitter levels[68], it is unlikely to induce substantial or long-term remodeling of white matter architecture at the macroscopic or microscopic scale. Similarly, we did not identify a significant correlation between the differential lipid levels in patients with MDD and the average daily medication dose. This may be attributed to the fact that antidepressants typically require approximately 2 weeks to achieve their full therapeutic effects[69]. Consequently, their influence on lipid metabolism during early treatment phases remains relatively minimal. Education is a strong proxy for cognitive reserve and is associated with white matter structure[70]. We conducted a correlation analysis between education and the abnormal topological properties of the DMN, and the results indicated no significant correlation. However, this does not fully eliminate the confounding influence of educational background.

There are several limitations in this study. First, all patients with MDD were receiving antidepressant treatment, and long-term antidepressant use can affect white matter and lipid levels. Future studies should include more first-episode, drug-naive patients with MDD to validate these findings. Second, this study is cross-sectional and the findings can only demonstrate associations rather than causality. Therefore, the results should be interpreted with caution, and longitudinal studies on white matter structure and lipid levels in patients with MDD before and after treatment are needed to determine the direction of the causal relationship. Third, deterministic tracking algorithms may not accurately reconstruct complex or crossing white matter pathways. Probabilistic tracking is more effective than deterministic methods. Moreover, we only explored structural networks based on deterministic tracking algorithm. Future studies combining structural and functional MRI data are needed to provide multimodal evidence for the alterations across MDD. Finally, the educational levels of the two groups are not matched. Although we included education as a covariate in the subsequent correlation analysis, it cannot be completely ruled out that it affects white matter structure. Future studies should include two groups of subjects with matched educational levels to confirm these results.

CONCLUSION

In conclusion, our study suggests that abnormal topological properties of the DMN are associated with dysregulated lipid metabolism in patients with MDD. Reduced levels of PC and TG may reflect aberrant topological properties in the DMN nodes, particularly the SFGmed.R. These findings advance our understanding of the interactions between neural circuit impairment and lipid dysregulation in MDD.

ACKNOWLEDGEMENTS

We are grateful to all the people who took part in this study.

References
1.  Marx W, Penninx BWJH, Solmi M, Furukawa TA, Firth J, Carvalho AF, Berk M. Major depressive disorder. Nat Rev Dis Primers. 2023;9:44.  [RCA]  [PubMed]  [DOI]  [Full Text]  [Cited by in Crossref: 543]  [Cited by in RCA: 410]  [Article Influence: 136.7]  [Reference Citation Analysis (1)]
2.  Practice guideline for the treatment of patients with major depressive disorder (revision). American Psychiatric Association. Am J Psychiatry. 2000;157:1-45.  [PubMed]  [DOI]
3.  Korgaonkar MS, Fornito A, Williams LM, Grieve SM. Abnormal structural networks characterize major depressive disorder: a connectome analysis. Biol Psychiatry. 2014;76:567-574.  [RCA]  [PubMed]  [DOI]  [Full Text]  [Cited by in Crossref: 340]  [Cited by in RCA: 289]  [Article Influence: 24.1]  [Reference Citation Analysis (0)]
4.  Tozzi L, Zhang X, Chesnut M, Holt-Gosselin B, Ramirez CA, Williams LM. Reduced functional connectivity of default mode network subsystems in depression: Meta-analytic evidence and relationship with trait rumination. Neuroimage Clin. 2021;30:102570.  [RCA]  [PubMed]  [DOI]  [Full Text]  [Full Text (PDF)]  [Cited by in Crossref: 93]  [Cited by in RCA: 82]  [Article Influence: 16.4]  [Reference Citation Analysis (0)]
5.  Zhao Y, Zhang F, Zhang W, Chen L, Chen Z, Lui S, Gong Q. Decoupling of Gray and White Matter Functional Networks in Medication-Naïve Patients With Major Depressive Disorder. J Magn Reson Imaging. 2021;53:742-752.  [RCA]  [PubMed]  [DOI]  [Full Text]  [Cited by in Crossref: 22]  [Cited by in RCA: 19]  [Article Influence: 3.8]  [Reference Citation Analysis (0)]
6.  Menon V. 20 years of the default mode network: A review and synthesis. Neuron. 2023;111:2469-2487.  [RCA]  [PubMed]  [DOI]  [Full Text]  [Full Text (PDF)]  [Cited by in Crossref: 744]  [Cited by in RCA: 536]  [Article Influence: 178.7]  [Reference Citation Analysis (0)]
7.  Ronde M, van der Zee EA, Kas MJH. Default mode network dynamics: An integrated neurocircuitry perspective on social dysfunction in human brain disorders. Neurosci Biobehav Rev. 2024;164:105839.  [RCA]  [PubMed]  [DOI]  [Full Text]  [Cited by in Crossref: 20]  [Cited by in RCA: 13]  [Article Influence: 6.5]  [Reference Citation Analysis (0)]
8.  Riaz S, Mitchell O, Roddy D, Connaughton M. Functional Connectivity in the Default Mode Network During Rumination in Depression: A Systematic Review. BJPsych Open. 2025;11:S62-S63.  [RCA]  [PubMed]  [DOI]  [Full Text]  [Full Text (PDF)]  [Cited by in Crossref: 3]  [Cited by in RCA: 1]  [Article Influence: 1.0]  [Reference Citation Analysis (0)]
9.  Macêdo MA, Sato JR, Bressan RA, Pan PM. Adolescent depression and resting-state fMRI brain networks: a scoping review of longitudinal studies. Braz J Psychiatry. 2022;44:420-433.  [RCA]  [PubMed]  [DOI]  [Full Text]  [Full Text (PDF)]  [Cited by in Crossref: 10]  [Cited by in RCA: 12]  [Article Influence: 3.0]  [Reference Citation Analysis (0)]
10.  Gerlach AR, Karim HT, Peciña M, Ajilore O, Taylor WD, Butters MA, Andreescu C. MRI predictors of pharmacotherapy response in major depressive disorder. Neuroimage Clin. 2022;36:103157.  [RCA]  [PubMed]  [DOI]  [Full Text]  [Full Text (PDF)]  [Cited by in Crossref: 50]  [Cited by in RCA: 47]  [Article Influence: 11.8]  [Reference Citation Analysis (0)]
11.  Wise T, Marwood L, Perkins AM, Herane-Vives A, Joules R, Lythgoe DJ, Luh WM, Williams SCR, Young AH, Cleare AJ, Arnone D. Instability of default mode network connectivity in major depression: a two-sample confirmation study. Transl Psychiatry. 2017;7:e1105.  [RCA]  [PubMed]  [DOI]  [Full Text]  [Full Text (PDF)]  [Cited by in Crossref: 186]  [Cited by in RCA: 160]  [Article Influence: 17.8]  [Reference Citation Analysis (0)]
12.  Zhou HX, Chen X, Shen YQ, Li L, Chen NX, Zhu ZC, Castellanos FX, Yan CG. Rumination and the default mode network: Meta-analysis of brain imaging studies and implications for depression. Neuroimage. 2020;206:116287.  [RCA]  [PubMed]  [DOI]  [Full Text]  [Cited by in Crossref: 558]  [Cited by in RCA: 444]  [Article Influence: 74.0]  [Reference Citation Analysis (1)]
13.  Guo Y, Wei D. The functional connectivity between dorsal-medial prefrontal cortex and middle cingulate cortex links trait rumination and depressive symptoms. PLoS One. 2025;20:e0328895.  [RCA]  [PubMed]  [DOI]  [Full Text]  [Full Text (PDF)]  [Cited by in Crossref: 2]  [Cited by in RCA: 2]  [Article Influence: 2.0]  [Reference Citation Analysis (0)]
14.  Salomons TV, Dunlop K, Kennedy SH, Flint A, Geraci J, Giacobbe P, Downar J. Resting-state cortico-thalamic-striatal connectivity predicts response to dorsomedial prefrontal rTMS in major depressive disorder. Neuropsychopharmacology. 2014;39:488-498.  [RCA]  [PubMed]  [DOI]  [Full Text]  [Full Text (PDF)]  [Cited by in Crossref: 272]  [Cited by in RCA: 245]  [Article Influence: 20.4]  [Reference Citation Analysis (0)]
15.  Zhang S, Chen JM, Kuang L, Cao J, Zhang H, Ai M, Wang W, Zhang SD, Wang SY, Liu SJ, Fang WD. Association between abnormal default mode network activity and suicidality in depressed adolescents. BMC Psychiatry. 2016;16:337.  [RCA]  [PubMed]  [DOI]  [Full Text]  [Full Text (PDF)]  [Cited by in Crossref: 117]  [Cited by in RCA: 103]  [Article Influence: 10.3]  [Reference Citation Analysis (0)]
16.  Gong Q, He Y. Depression, neuroimaging and connectomics: a selective overview. Biol Psychiatry. 2015;77:223-235.  [RCA]  [PubMed]  [DOI]  [Full Text]  [Cited by in Crossref: 429]  [Cited by in RCA: 380]  [Article Influence: 34.5]  [Reference Citation Analysis (0)]
17.  De Vico Fallani F, Richiardi J, Chavez M, Achard S. Graph analysis of functional brain networks: practical issues in translational neuroscience. Philos Trans R Soc Lond B Biol Sci. 2014;369:20130521.  [RCA]  [PubMed]  [DOI]  [Full Text]  [Full Text (PDF)]  [Cited by in Crossref: 334]  [Cited by in RCA: 221]  [Article Influence: 18.4]  [Reference Citation Analysis (0)]
18.  Iturria-Medina Y, Sotero RC, Canales-Rodríguez EJ, Alemán-Gómez Y, Melie-García L. Studying the human brain anatomical network via diffusion-weighted MRI and Graph Theory. Neuroimage. 2008;40:1064-1076.  [RCA]  [PubMed]  [DOI]  [Full Text]  [Cited by in Crossref: 446]  [Cited by in RCA: 380]  [Article Influence: 21.1]  [Reference Citation Analysis (0)]
19.  Li J, Chen H, Fan F, Qiu J, Du L, Xiao J, Duan X, Chen H, Liao W. White-matter functional topology: a neuromarker for classification and prediction in unmedicated depression. Transl Psychiatry. 2020;10:365.  [RCA]  [PubMed]  [DOI]  [Full Text]  [Full Text (PDF)]  [Cited by in Crossref: 55]  [Cited by in RCA: 53]  [Article Influence: 8.8]  [Reference Citation Analysis (0)]
20.  Jiang Y, Yao D, Zhou J, Tan Y, Huang H, Wang M, Chang X, Duan M, Luo C. Characteristics of disrupted topological organization in white matter functional connectome in schizophrenia. Psychol Med. 2022;52:1333-1343.  [RCA]  [PubMed]  [DOI]  [Full Text]  [Cited by in Crossref: 50]  [Cited by in RCA: 44]  [Article Influence: 11.0]  [Reference Citation Analysis (0)]
21.  Pan Y, Liu Z, Xue Z, Sheng Y, Cai Y, Cheng Y, Chen X. Abnormal network properties and fiber connections of DMN across major mental disorders: a probability tracing and graph theory study. Cereb Cortex. 2022;32:3127-3136.  [RCA]  [PubMed]  [DOI]  [Full Text]  [Cited by in Crossref: 20]  [Cited by in RCA: 18]  [Article Influence: 4.5]  [Reference Citation Analysis (0)]
22.  Wu B, Zhang X, Xie H, Wang X, Gong Q, Jia Z. Disrupted Structural Brain Networks and Structural-Functional Decoupling in First-Episode Drug-Naïve Adolescent Major Depressive Disorder. J Adolesc Health. 2024;74:941-949.  [RCA]  [PubMed]  [DOI]  [Full Text]  [Cited by in Crossref: 20]  [Cited by in RCA: 16]  [Article Influence: 8.0]  [Reference Citation Analysis (0)]
23.  Kuwano N, Kato TA, Setoyama D, Sato-Kasai M, Shimokawa N, Hayakawa K, Ohgidani M, Sagata N, Kubo H, Kishimoto J, Kang D, Kanba S. Tryptophan-kynurenine and lipid related metabolites as blood biomarkers for first-episode drug-naïve patients with major depressive disorder: An exploratory pilot case-control study. J Affect Disord. 2018;231:74-82.  [RCA]  [PubMed]  [DOI]  [Full Text]  [Cited by in Crossref: 59]  [Cited by in RCA: 53]  [Article Influence: 6.6]  [Reference Citation Analysis (0)]
24.  Miao G, Deen J, Struzeski JB, Chen M, Zhang Y, Cole SA, Fretts AM, Lee ET, Howard BV, Fiehn O, Zhao J. Plasma lipidomic profile of depressive symptoms: a longitudinal study in a large sample of community-dwelling American Indians in the strong heart study. Mol Psychiatry. 2023;28:2480-2489.  [RCA]  [PubMed]  [DOI]  [Full Text]  [Full Text (PDF)]  [Cited by in Crossref: 28]  [Cited by in RCA: 22]  [Article Influence: 7.3]  [Reference Citation Analysis (0)]
25.  Gu W, Bao K, Li X, Xiang S, He J, He J, Ye L, Huang Z. Association between body fat percentage and depression: A cross-sectional study of NHANES. J Affect Disord. 2025;371:305-314.  [RCA]  [PubMed]  [DOI]  [Full Text]  [Cited by in Crossref: 19]  [Cited by in RCA: 13]  [Article Influence: 13.0]  [Reference Citation Analysis (0)]
26.  Vancampfort D, Correll CU, Wampers M, Sienaert P, Mitchell AJ, De Herdt A, Probst M, Scheewe TW, De Hert M. Metabolic syndrome and metabolic abnormalities in patients with major depressive disorder: a meta-analysis of prevalences and moderating variables. Psychol Med. 2014;44:2017-2028.  [RCA]  [PubMed]  [DOI]  [Full Text]  [Cited by in Crossref: 251]  [Cited by in RCA: 242]  [Article Influence: 20.2]  [Reference Citation Analysis (0)]
27.  Hussain G, Anwar H, Rasul A, Imran A, Qasim M, Zafar S, Imran M, Kamran SKS, Aziz N, Razzaq A, Ahmad W, Shabbir A, Iqbal J, Baig SM, Ali M, Gonzalez de Aguilar JL, Sun T, Muhammad A, Muhammad Umair A. Lipids as biomarkers of brain disorders. Crit Rev Food Sci Nutr. 2020;60:351-374.  [RCA]  [PubMed]  [DOI]  [Full Text]  [Cited by in Crossref: 82]  [Cited by in RCA: 71]  [Article Influence: 10.1]  [Reference Citation Analysis (0)]
28.  Figley CR, Asem JS, Levenbaum EL, Courtney SM. Effects of Body Mass Index and Body Fat Percent on Default Mode, Executive Control, and Salience Network Structure and Function. Front Neurosci. 2016;10:234.  [RCA]  [PubMed]  [DOI]  [Full Text]  [Full Text (PDF)]  [Cited by in Crossref: 49]  [Cited by in RCA: 47]  [Article Influence: 4.7]  [Reference Citation Analysis (0)]
29.  Wei J, Zhang Z, Du Y, Yang X, Zhao L, Ni P, Ni R, Gong M, Ma X. A combination of neuroimaging and plasma metabolomic analysis suggests inflammation is associated with white matter structural connectivity in major depressive disorder. J Affect Disord. 2022;318:7-15.  [RCA]  [PubMed]  [DOI]  [Full Text]  [Cited by in Crossref: 8]  [Cited by in RCA: 7]  [Article Influence: 1.8]  [Reference Citation Analysis (0)]
30.  Hu K, Liao XX, Wu XY, Wang R, Hu ZW, Liu SY, He WF, Zhou JJ. Effects of the Lipid Metabolites and the Gut Microbiota in ApoE(-/-) Mice on Atherosclerosis Co-Depression From the Microbiota-Gut-Brain Axis. Front Mol Biosci. 2022;9:786492.  [RCA]  [PubMed]  [DOI]  [Full Text]  [Full Text (PDF)]  [Cited by in Crossref: 25]  [Cited by in RCA: 19]  [Article Influence: 4.8]  [Reference Citation Analysis (0)]
31.  Grandjean J, Azzinnari D, Seuwen A, Sigrist H, Seifritz E, Pryce CR, Rudin M. Chronic psychosocial stress in mice leads to changes in brain functional connectivity and metabolite levels comparable to human depression. Neuroimage. 2016;142:544-552.  [RCA]  [PubMed]  [DOI]  [Full Text]  [Cited by in Crossref: 97]  [Cited by in RCA: 78]  [Article Influence: 7.8]  [Reference Citation Analysis (0)]
32.  Wiberg A, Ng M, Al Omran Y, Alfaro-Almagro F, McCarthy P, Marchini J, Bennett DL, Smith S, Douaud G, Furniss D. Handedness, language areas and neuropsychiatric diseases: insights from brain imaging and genetics. Brain. 2019;142:2938-2947.  [RCA]  [PubMed]  [DOI]  [Full Text]  [Full Text (PDF)]  [Cited by in Crossref: 154]  [Cited by in RCA: 102]  [Article Influence: 14.6]  [Reference Citation Analysis (0)]
33.  Yeh FC, Tseng WY. NTU-90: a high angular resolution brain atlas constructed by q-space diffeomorphic reconstruction. Neuroimage. 2011;58:91-99.  [RCA]  [PubMed]  [DOI]  [Full Text]  [Cited by in Crossref: 500]  [Cited by in RCA: 410]  [Article Influence: 27.3]  [Reference Citation Analysis (0)]
34.  Tzourio-Mazoyer N, Landeau B, Papathanassiou D, Crivello F, Etard O, Delcroix N, Mazoyer B, Joliot M. Automated anatomical labeling of activations in SPM using a macroscopic anatomical parcellation of the MNI MRI single-subject brain. Neuroimage. 2002;15:273-289.  [RCA]  [PubMed]  [DOI]  [Full Text]  [Cited by in Crossref: 14900]  [Cited by in RCA: 12788]  [Article Influence: 532.8]  [Reference Citation Analysis (0)]
35.  Wang J, Wang X, Xia M, Liao X, Evans A, He Y. GRETNA: a graph theoretical network analysis toolbox for imaging connectomics. Front Hum Neurosci. 2015;9:386.  [RCA]  [PubMed]  [DOI]  [Full Text]  [Full Text (PDF)]  [Cited by in Crossref: 532]  [Cited by in RCA: 687]  [Article Influence: 62.5]  [Reference Citation Analysis (0)]
36.  Uddin LQ, Yeo BTT, Spreng RN. Towards a Universal Taxonomy of Macro-scale Functional Human Brain Networks. Brain Topogr. 2019;32:926-942.  [RCA]  [PubMed]  [DOI]  [Full Text]  [Full Text (PDF)]  [Cited by in Crossref: 654]  [Cited by in RCA: 497]  [Article Influence: 71.0]  [Reference Citation Analysis (0)]
37.  Yeo BT, Krienen FM, Sepulcre J, Sabuncu MR, Lashkari D, Hollinshead M, Roffman JL, Smoller JW, Zöllei L, Polimeni JR, Fischl B, Liu H, Buckner RL. The organization of the human cerebral cortex estimated by intrinsic functional connectivity. J Neurophysiol. 2011;106:1125-1165.  [RCA]  [PubMed]  [DOI]  [Full Text]  [Full Text (PDF)]  [Cited by in Crossref: 8805]  [Cited by in RCA: 6848]  [Article Influence: 456.5]  [Reference Citation Analysis (0)]
38.  Cao HL, Wei W, Meng YJ, Deng W, Li T, Li ML, Guo WJ. Disrupted white matter structural networks in individuals with alcohol dependence. J Psychiatr Res. 2023;168:13-21.  [RCA]  [PubMed]  [DOI]  [Full Text]  [Cited by in Crossref: 8]  [Cited by in RCA: 8]  [Article Influence: 2.7]  [Reference Citation Analysis (0)]
39.  Furukawa TA, Cipriani A, Cowen PJ, Leucht S, Egger M, Salanti G. Optimal dose of selective serotonin reuptake inhibitors, venlafaxine, and mirtazapine in major depression: a systematic review and dose-response meta-analysis. Lancet Psychiatry. 2019;6:601-609.  [RCA]  [PubMed]  [DOI]  [Full Text]  [Cited by in Crossref: 287]  [Cited by in RCA: 245]  [Article Influence: 35.0]  [Reference Citation Analysis (0)]
40.  Song Y, Kim PS, Philip BA, Kim T. Large-scale signal propagation modes in the human brain. Neuroimage. 2025;318:121357.  [RCA]  [PubMed]  [DOI]  [Full Text]  [Cited by in Crossref: 4]  [Cited by in RCA: 4]  [Article Influence: 4.0]  [Reference Citation Analysis (0)]
41.  Rubinstein DY, Camarillo-Rodriguez L, Serruya MD, Herweg NA, Waldman ZJ, Wanda PA, Sharan AD, Weiss SA, Sperling MR. Contribution of left supramarginal and angular gyri to episodic memory encoding: An intracranial EEG study. Neuroimage. 2021;225:117514.  [RCA]  [PubMed]  [DOI]  [Full Text]  [Cited by in Crossref: 45]  [Cited by in RCA: 40]  [Article Influence: 8.0]  [Reference Citation Analysis (0)]
42.  Yao Z, Zou Y, Zheng W, Zhang Z, Li Y, Yu Y, Zhang Z, Fu Y, Shi J, Zhang W, Wu X, Hu B. Structural alterations of the brain preceded functional alterations in major depressive disorder patients: Evidence from multimodal connectivity. J Affect Disord. 2019;253:107-117.  [RCA]  [PubMed]  [DOI]  [Full Text]  [Cited by in Crossref: 73]  [Cited by in RCA: 64]  [Article Influence: 9.1]  [Reference Citation Analysis (0)]
43.  Qin J, Liu H, Wei M, Zhao K, Chen J, Zhu J, Shen X, Yan R, Yao Z, Lu Q. Reconfiguration of hub-level community structure in depressions: A follow-up study via diffusion tensor imaging. J Affect Disord. 2017;207:305-312.  [RCA]  [PubMed]  [DOI]  [Full Text]  [Cited by in Crossref: 20]  [Cited by in RCA: 18]  [Article Influence: 2.0]  [Reference Citation Analysis (0)]
44.  Yang R, Gao C, Wu X, Yang J, Li S, Cheng H. Decreased functional connectivity to posterior cingulate cortex in major depressive disorder. Psychiatry Res Neuroimaging. 2016;255:15-23.  [RCA]  [PubMed]  [DOI]  [Full Text]  [Cited by in Crossref: 49]  [Cited by in RCA: 47]  [Article Influence: 4.7]  [Reference Citation Analysis (0)]
45.  Wang H, Ma X, Xu X, Ning Q, Qiao B, Yang B, Sun N, Xu D, Tang X. Altered connection properties of the left dorsolateral superior frontal gyrus in de novo drug-naïve insomnia disorder. Front Neurosci. 2025;19:1568557.  [RCA]  [PubMed]  [DOI]  [Full Text]  [Full Text (PDF)]  [Cited by in Crossref: 1]  [Cited by in RCA: 1]  [Article Influence: 1.0]  [Reference Citation Analysis (0)]
46.  Yu R, Tan H, Peng G, Du L, Wang P, Zhang Z, Lyu F. Anomalous functional connectivity within the default-mode network in treatment-naive patients possessing first-episode major depressive disorder. Medicine (Baltimore). 2021;100:e26281.  [RCA]  [PubMed]  [DOI]  [Full Text]  [Cited by in Crossref: 8]  [Cited by in RCA: 8]  [Article Influence: 1.6]  [Reference Citation Analysis (0)]
47.  Wu Z, Fang X, Yu L, Wang D, Liu R, Teng X, Guo C, Ren J, Zhang C. Abnormal functional connectivity of the anterior cingulate cortex subregions mediates the association between anhedonia and sleep quality in major depressive disorder. J Affect Disord. 2022;296:400-407.  [RCA]  [PubMed]  [DOI]  [Full Text]  [Cited by in Crossref: 25]  [Cited by in RCA: 23]  [Article Influence: 5.8]  [Reference Citation Analysis (0)]
48.  Kang L, Wang W, Zhang N, Yao L, Tu N, Feng H, Zong X, Bai H, Li R, Wang G, Bu L, Wang F, Liu Z. Anhedonia and dysregulation of an angular gyrus-centred and dynamic functional network in adolescent-onset depression. J Affect Disord. 2023;324:82-91.  [RCA]  [PubMed]  [DOI]  [Full Text]  [Cited by in Crossref: 30]  [Cited by in RCA: 27]  [Article Influence: 9.0]  [Reference Citation Analysis (0)]
49.  Saenger VM, Barrios FA, Martínez-Gudiño ML, Alcauter S. Hemispheric asymmetries of functional connectivity and grey matter volume in the default mode network. Neuropsychologia. 2012;50:1308-1315.  [RCA]  [PubMed]  [DOI]  [Full Text]  [Cited by in Crossref: 52]  [Cited by in RCA: 47]  [Article Influence: 3.4]  [Reference Citation Analysis (0)]
50.  Guo Y, Wu H, Dong D, Zhou F, Li Z, Zhao L, Long Z. Stress and the brain: Emotional support mediates the association between myelination in the right supramarginal gyrus and perceived chronic stress. Neurobiol Stress. 2023;22:100511.  [RCA]  [PubMed]  [DOI]  [Full Text]  [Full Text (PDF)]  [Cited by in Crossref: 12]  [Cited by in RCA: 11]  [Article Influence: 3.7]  [Reference Citation Analysis (0)]
51.  Luo Q, Xu Q, Zhu L, Liao J, Xia J, Lin X, Peng H. Major depressive disorder and perceived social support: Moderated mediation model of security and brain dysfunction. J Psychiatr Res. 2024;177:392-402.  [RCA]  [PubMed]  [DOI]  [Full Text]  [Cited by in Crossref: 3]  [Cited by in RCA: 2]  [Article Influence: 1.0]  [Reference Citation Analysis (0)]
52.  Shi Y, Shi G, Zhao S, Wang B, Yang Y, Li H, Zhang J, Wang J, Li X, O'Connor MF. Atrophy in the supramarginal gyrus associated with impaired cognitive inhibition in grieving Chinese Shidu parents. Eur J Psychotraumatol. 2024;15:2403250.  [RCA]  [PubMed]  [DOI]  [Full Text]  [Full Text (PDF)]  [Cited by in Crossref: 6]  [Cited by in RCA: 5]  [Article Influence: 2.5]  [Reference Citation Analysis (0)]
53.  Liu X, Li J, Zheng P, Zhao X, Zhou C, Hu C, Hou X, Wang H, Xie P, Xu G. Plasma lipidomics reveals potential lipid markers of major depressive disorder. Anal Bioanal Chem. 2016;408:6497-6507.  [RCA]  [PubMed]  [DOI]  [Full Text]  [Cited by in Crossref: 134]  [Cited by in RCA: 119]  [Article Influence: 11.9]  [Reference Citation Analysis (0)]
54.  Demirkan A, Isaacs A, Ugocsai P, Liebisch G, Struchalin M, Rudan I, Wilson JF, Pramstaller PP, Gyllensten U, Campbell H, Schmitz G, Oostra BA, van Duijn CM. Plasma phosphatidylcholine and sphingomyelin concentrations are associated with depression and anxiety symptoms in a Dutch family-based lipidomics study. J Psychiatr Res. 2013;47:357-362.  [RCA]  [PubMed]  [DOI]  [Full Text]  [Cited by in Crossref: 139]  [Cited by in RCA: 128]  [Article Influence: 9.8]  [Reference Citation Analysis (0)]
55.  Tan W, Zhang Q, Dong Z, Yan Y, Fu Y, Liu X, Zhao B, Duan X. Phosphatidylcholine Ameliorates LPS-Induced Systemic Inflammation and Cognitive Impairments via Mediating the Gut-Brain Axis Balance. J Agric Food Chem. 2020;68:14884-14895.  [RCA]  [PubMed]  [DOI]  [Full Text]  [Cited by in Crossref: 101]  [Cited by in RCA: 84]  [Article Influence: 14.0]  [Reference Citation Analysis (0)]
56.  Yan Y, Zhang Y, Liu M, Li L, Zheng Y. Neuroprotection vs. Neurotoxicity: The Dual Impact of Brain Lipids in Depression. Int J Mol Sci. 2025;26:2722.  [RCA]  [PubMed]  [DOI]  [Full Text]  [Full Text (PDF)]  [Cited by in Crossref: 10]  [Cited by in RCA: 9]  [Article Influence: 9.0]  [Reference Citation Analysis (0)]
57.  Tkachev A, Stekolshchikova E, Golubova A, Serkina A, Morozova A, Zorkina Y, Riabinina D, Golubeva E, Ochneva A, Savenkova V, Petrova D, Andreyuk D, Goncharova A, Alekseenko I, Kostyuk G, Khaitovich P. Screening for depression in the general population through lipid biomarkers. EBioMedicine. 2024;110:105455.  [RCA]  [PubMed]  [DOI]  [Full Text]  [Full Text (PDF)]  [Cited by in Crossref: 12]  [Cited by in RCA: 8]  [Article Influence: 4.0]  [Reference Citation Analysis (0)]
58.  Shao TN, Yin GZ, Yin XL, Wu JQ, Du XD, Zhu HL, Liu JH, Wang XQ, Xu DW, Tang WJ, Hui L. Elevated triglyceride levels are associated with cognitive impairments among patients with major depressive disorder. Compr Psychiatry. 2017;75:103-109.  [RCA]  [PubMed]  [DOI]  [Full Text]  [Cited by in Crossref: 36]  [Cited by in RCA: 33]  [Article Influence: 3.7]  [Reference Citation Analysis (0)]
59.  Zhao B, Li T, Yang Y, Wang X, Luo T, Shan Y, Zhu Z, Xiong D, Hauberg ME, Bendl J, Fullard JF, Roussos P, Li Y, Stein JL, Zhu H. Common genetic variation influencing human white matter microstructure. Science. 2021;372:eabf3736.  [RCA]  [PubMed]  [DOI]  [Full Text]  [Full Text (PDF)]  [Cited by in Crossref: 218]  [Cited by in RCA: 157]  [Article Influence: 31.4]  [Reference Citation Analysis (0)]
60.  Chhetry BT, Hezghia A, Miller JM, Lee S, Rubin-Falcone H, Cooper TB, Oquendo MA, Mann JJ, Sublette ME. Omega-3 polyunsaturated fatty acid supplementation and white matter changes in major depression. J Psychiatr Res. 2016;75:65-74.  [RCA]  [PubMed]  [DOI]  [Full Text]  [Full Text (PDF)]  [Cited by in Crossref: 58]  [Cited by in RCA: 51]  [Article Influence: 5.1]  [Reference Citation Analysis (0)]
61.  Kennedy AD, Pappan KL, Donti TR, Evans AM, Wulff JE, Miller LAD, Reid Sutton V, Sun Q, Miller MJ, Elsea SH. Elucidation of the complex metabolic profile of cerebrospinal fluid using an untargeted biochemical profiling assay. Mol Genet Metab. 2017;121:83-90.  [RCA]  [PubMed]  [DOI]  [Full Text]  [Full Text (PDF)]  [Cited by in Crossref: 49]  [Cited by in RCA: 49]  [Article Influence: 5.4]  [Reference Citation Analysis (0)]
62.  Zavolskova M, Senko D, Osetrova M, Efimova O, Stekolshchikova E, Vladimirov G, Nikolaev E, Khaitovich P. Lipid Composition Diversity of the Human Brain White Matter Tracts. J Neurochem. 2025;169:e70042.  [RCA]  [PubMed]  [DOI]  [Full Text]  [Cited by in Crossref: 7]  [Cited by in RCA: 4]  [Article Influence: 4.0]  [Reference Citation Analysis (0)]
63.  Senko D, Efimova O, Osetrova M, Anikanov N, Boyko M, Sharaev M, Morozova A, Zorkina Y, Kislov M, Kostyuk G, Stekolshchikova E, Khaitovich P. White matter lipidome alterations in the schizophrenia brain. Schizophrenia (Heidelb). 2024;10:123.  [RCA]  [PubMed]  [DOI]  [Full Text]  [Full Text (PDF)]  [Cited by in Crossref: 12]  [Cited by in RCA: 9]  [Article Influence: 4.5]  [Reference Citation Analysis (0)]
64.  Cha J, Raj D, Choi KS, Rajendra JK, Nemeroff CB, Felger JC, Craighead WE, Mayberg HS, Dunlop BW. Impact of Inflammation on White Matter Integrity and Functional Connectivity in Chronic Major Depressive Disorder. Biol Psychiatry. 2025;S0006-3223(25)01300.  [RCA]  [PubMed]  [DOI]  [Full Text]  [Full Text (PDF)]  [Cited by in Crossref: 4]  [Cited by in RCA: 3]  [Article Influence: 3.0]  [Reference Citation Analysis (0)]
65.  He E, Liu M, Gong S, Fu X, Han Y, Deng F. White Matter Alterations in Depressive Disorder. Front Immunol. 2022;13:826812.  [RCA]  [PubMed]  [DOI]  [Full Text]  [Full Text (PDF)]  [Cited by in Crossref: 27]  [Cited by in RCA: 20]  [Article Influence: 5.0]  [Reference Citation Analysis (1)]
66.  Chiurchiù V, Maccarrone M. Bioactive lipids as modulators of immunity, inflammation and emotions. Curr Opin Pharmacol. 2016;29:54-62.  [RCA]  [PubMed]  [DOI]  [Full Text]  [Cited by in Crossref: 56]  [Cited by in RCA: 48]  [Article Influence: 4.8]  [Reference Citation Analysis (0)]
67.  Luan X, Wang X, Shi Y, Zhang X, Wang Y, Zhou M, Wu Z, Liu Z, Li X, Zhang L, Shao T, Chen R, Chu X, Wei H. Abnormalities of lipid metabolism in the progression and treatment of depression. Front Psychiatry. 2025;16:1589663.  [RCA]  [PubMed]  [DOI]  [Full Text]  [Full Text (PDF)]  [Cited by in Crossref: 9]  [Cited by in RCA: 6]  [Article Influence: 6.0]  [Reference Citation Analysis (0)]
68.  Seiger R, Gryglewski G, Klöbl M, Kautzky A, Godbersen GM, Rischka L, Vanicek T, Hienert M, Unterholzner J, Silberbauer LR, Michenthaler P, Handschuh P, Hahn A, Kasper S, Lanzenberger R. The Influence of Acute SSRI Administration on White Matter Microstructure in Patients Suffering From Major Depressive Disorder and Healthy Controls. Int J Neuropsychopharmacol. 2021;24:542-550.  [RCA]  [PubMed]  [DOI]  [Full Text]  [Full Text (PDF)]  [Cited by in Crossref: 26]  [Cited by in RCA: 22]  [Article Influence: 4.4]  [Reference Citation Analysis (0)]
69.  Machado-Vieira R, Baumann J, Wheeler-Castillo C, Latov D, Henter ID, Salvadore G, Zarate CA. The Timing of Antidepressant Effects: A Comparison of Diverse Pharmacological and Somatic Treatments. Pharmaceuticals (Basel). 2010;3:19-41.  [RCA]  [PubMed]  [DOI]  [Full Text]  [Full Text (PDF)]  [Cited by in Crossref: 220]  [Cited by in RCA: 180]  [Article Influence: 11.3]  [Reference Citation Analysis (0)]
70.  Fields RD. White matter in learning, cognition and psychiatric disorders. Trends Neurosci. 2008;31:361-370.  [RCA]  [PubMed]  [DOI]  [Full Text]  [Full Text (PDF)]  [Cited by in Crossref: 1138]  [Cited by in RCA: 984]  [Article Influence: 54.7]  [Reference Citation Analysis (0)]
Footnotes

Provenance and peer review: Unsolicited article; Externally peer reviewed.

Peer-review model: Single blind

Specialty type: Psychiatry

Country of origin: China

Peer-review report’s classification

Scientific Quality: Grade B, Grade C

Novelty: Grade C, Grade C

Creativity or Innovation: Grade B, Grade C

Scientific Significance: Grade B, Grade C

Open Access: This article is an open-access article that was selected by an in-house editor and fully peer-reviewed by external reviewers. It is distributed in accordance with the Creative Commons Attribution NonCommercial (CC BY-NC 4.0) license, which permits others to distribute, remix, adapt, build upon this work non-commercially, and license their derivative works on different terms, provided the original work is properly cited and the use is non-commercial. See: https://creativecommons.org/Licenses/by-nc/4.0/

P-Reviewer: Rohaim M, Academic Fellow, Assistant Professor, Senior Research Fellow, United Kingdom; Xu DJ, MD, Assistant Professor, China S-Editor: Hu XY L-Editor: Filipodia P-Editor: Yu HG

Write to the Help Desk