Copyright
©The Author(s) 2025.
World J Psychiatry. Dec 19, 2025; 15(12): 109546
Published online Dec 19, 2025. doi: 10.5498/wjp.v15.i12.109546
Published online Dec 19, 2025. doi: 10.5498/wjp.v15.i12.109546
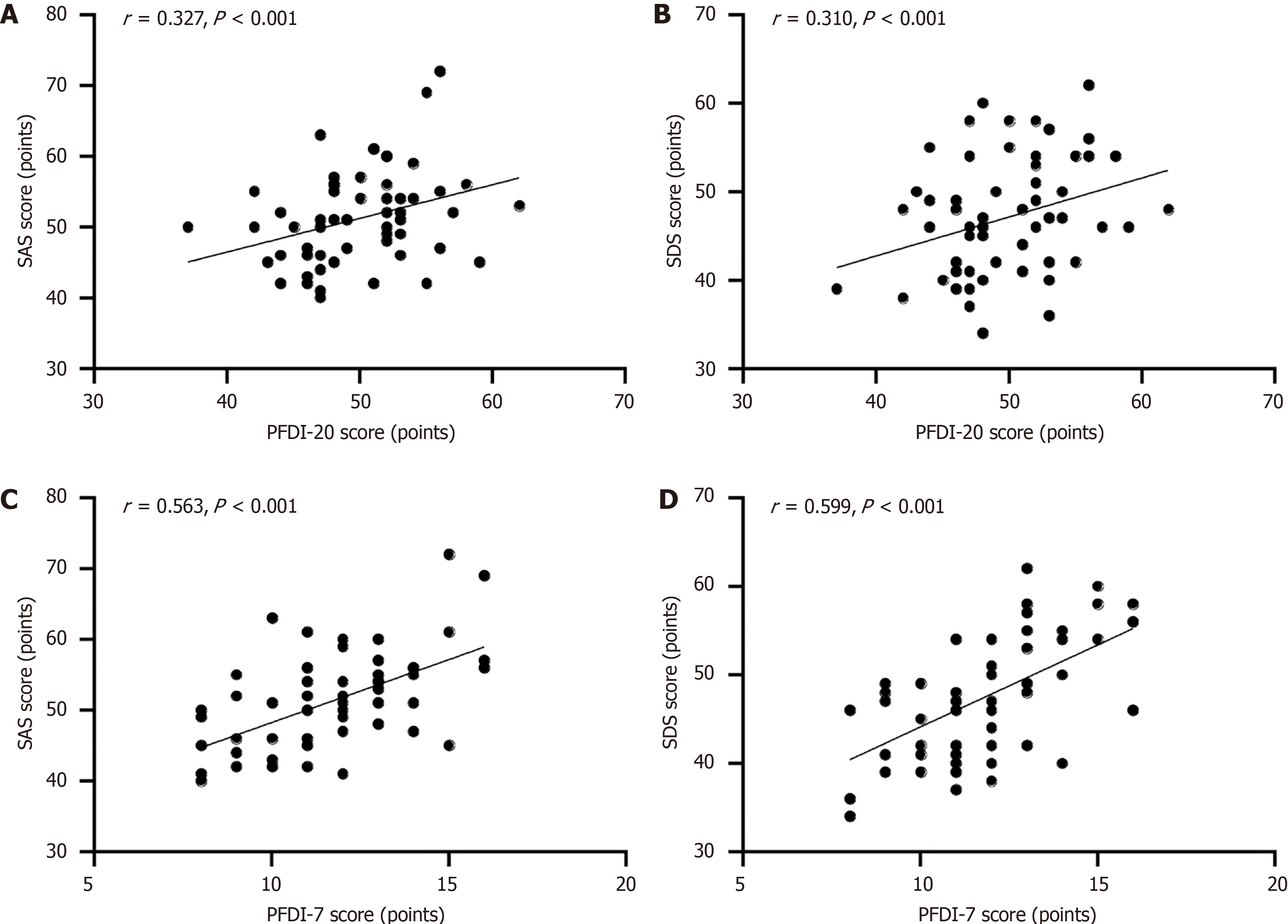
Figure 1 Correlation analysis of pelvic function improvement in pelvic organ prolapse patients after surgery and anxiety, depression.
A: Correlation analysis of Pelvic Floor Dysfunction Inventory 20 score and Self-Rating Anxiety Scale score; B: Correlation analysis of Pelvic Floor Dysfunction Inventory 20 score and Self-Rating Depression Scale score; C: Correlation analysis of Pelvic Floor Impact Questionnaire 7 score and Self-Rating Anxiety Scale score; D: Correlation analysis of Pelvic Floor Impact Questionnaire 7 score and Self-Rating Depression Scale score. SAS: Self-Rating Anxiety Scale; PFDI-20: Pelvic Floor Dysfunction Inventory 20; SDS: Self-Rating Depression Scale; PFIQ-7: Pelvic Floor Impact Questionnaire 7.
- Citation: Zhang RR, Zhao RH, Zhang L, Ma RY, Chen MZ. Transvaginal sacrospinous ligament fixation: Efficacy in treating pelvic prolapse and influence on patients’ anxiety and depression. World J Psychiatry 2025; 15(12): 109546
- URL: https://www.wjgnet.com/2220-3206/full/v15/i12/109546.htm
- DOI: https://dx.doi.org/10.5498/wjp.v15.i12.109546
