©Author(s) (or their employer(s)) 2026.
World J Clin Pediatr. Mar 9, 2026; 15(1): 109864
Published online Mar 9, 2026. doi: 10.5409/wjcp.v15.i1.109864
Published online Mar 9, 2026. doi: 10.5409/wjcp.v15.i1.109864
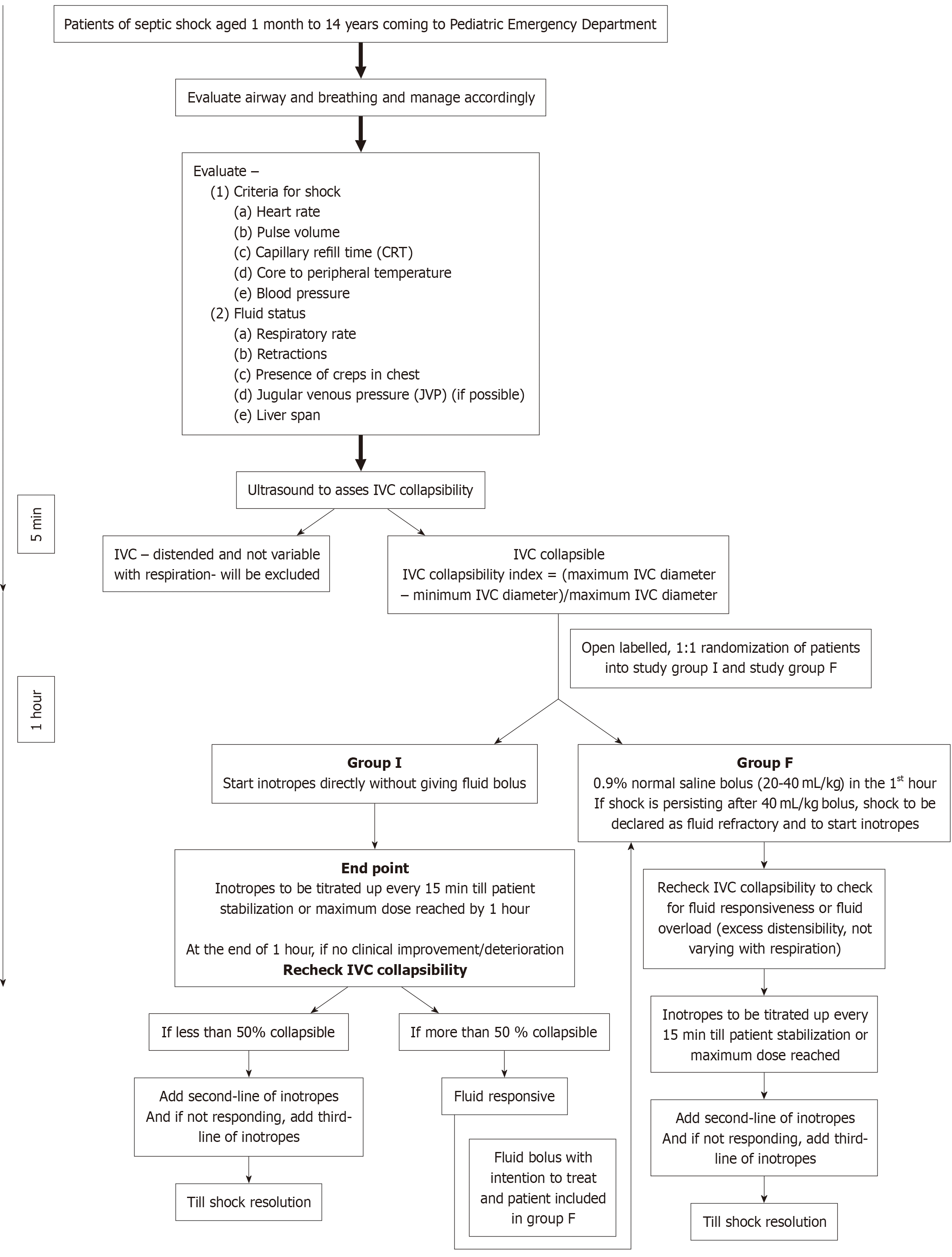
Figure 1 Detailed methodology.
JVP: Jugular venous pulse; IVC: Inferior vena cava.
Figure 2 Inotropic prescription of shock.
Inj: Injection.
Figure 3 CONSORT flow diagram.
SAM: Severe acute malnutrition; CPR: Cardiopulmonary resuscitation.
Figure 4 Kaplan-Meier curve.
A and B: Mortality of the two groups over the course of 48 hours from randomization (A) and over the course of the hospital stay (B).
- Citation: Keshri S, Goel AK, Garg AK, Anand V, Rathia SK, Yusuf S. Early inotropic support without fluid bolus vs standard resuscitation in pediatric septic shock: A randomized controlled trial. World J Clin Pediatr 2026; 15(1): 109864
- URL: https://www.wjgnet.com/2219-2808/full/v15/i1/109864.htm
- DOI: https://dx.doi.org/10.5409/wjcp.v15.i1.109864
