Copyright
©The Author(s) 2026.
World J Orthop. Feb 18, 2026; 17(2): 113526
Published online Feb 18, 2026. doi: 10.5312/wjo.v17.i2.113526
Published online Feb 18, 2026. doi: 10.5312/wjo.v17.i2.113526
Figure 1
Risk of bias graph (“+” indicates meeting the standard, and “-” indicates not meeting the standard).
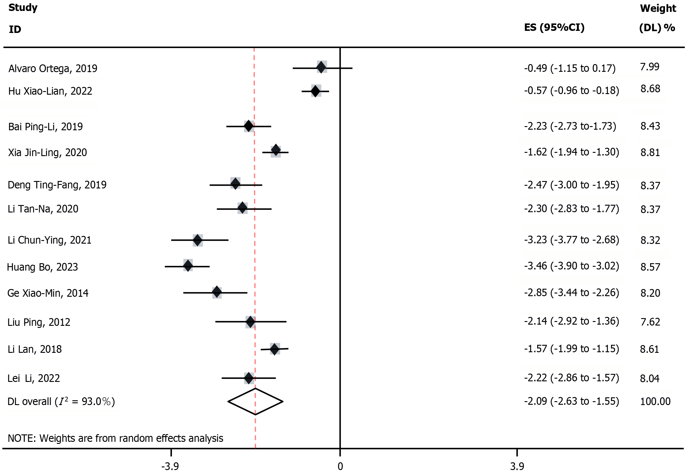
Figure 2 Random effects meta-analysis graph.
DL: DerSimonian-Laird; ES: Effect size; CI: Confidence interval.
Figure 3
Studies screening flow chart.
Figure 4 Egger plot.
SND: Standard normal deviate; CI: Confidence interval.
- Citation: Tang YL, Zhao YX, Wang X. Music therapy for anxiety reduction in non-acute surgical fracture patients: A systematic review and meta-analysis. World J Orthop 2026; 17(2): 113526
- URL: https://www.wjgnet.com/2218-5836/full/v17/i2/113526.htm
- DOI: https://dx.doi.org/10.5312/wjo.v17.i2.113526
