BPG is committed to discovery and dissemination of knowledge
Meta-Analysis Open Access
Copyright: ©Author(s) 2026. This article is an open access article distributed under the terms and conditions of the Creative Commons Attribution-NonCommercial (CC BY-NC 4.0) license. No commercial re-use. See permissions. Published by Baishideng Publishing Group Inc.
World J Radiol. Mar 28, 2026; 18(3): 116826
Published online Mar 28, 2026. doi: 10.4329/wjr.v18.i3.116826
Diagnostic performance of magnetic resonance imaging-based radiomics for detecting prostate cancer: A systematic review and meta-analysis
Shi-Yu Zhong, Xiang-Rong Deng, Department of Radiology, Chongzhou Traditional Chinese Medicine Hospital, Chengdu 611200, Sichuan Province, China
Bang-Cai Han, Department of Radiology, Suzhou BOE Hospital, Suzhou 130021, Jiangsu Province, China
Liu-Qing Yang, Department of Ultrasound, The First Hospital of Jilin University, Changchun 130021, Jilin Province, China
Su-Ting Ye, Department of Function Inspection, Sichuan Integrative Medicine Hospital, Chengdu 610041, Sichuan Province, China
Xiang-Ke Niu, Department of Interventional Radiology, Affiliated Hospital of Chengdu University, Chengdu 610081, Sichuan Province, China
ORCID number: Shi-Yu Zhong (0000-0002-1009-1466); Xiang-Rong Deng (0000-0002-0479-7374); Bang-Cai Han (0000-0001-7944-7849); Liu-Qing Yang (0009-0001-0018-4132); Su-Ting Ye (0009-0004-7692-1890); Xiang-Ke Niu (0000-0002-7025-7587).
Author contributions: Zhong SY and Niu XK designed the research study; Deng XR and Han BC performed data extraction and analysis; Yang LQ and Ye ST conducted literature screening and quality assessment; Niu XK supervised the study and revised the manuscript. All authors read and approved the final manuscript.
Supported by Natural Science Foundation of Sichuan Province, China, No. 2024NSFSC0657; Sichuan Medical Association Tumor (Hengrui-a Line) Special Scientific Research Project, China, No. 2024HR123; and Innovation Team Foundation of the Affiliated Hospital of Chengdu University, China, No. CDFYCX202204.
Conflict-of-interest statement: All the authors report no relevant conflicts of interest for this article.
PRISMA 2009 Checklist statement: The authors have read the PRISMA 2009 Checklist, and the manuscript was prepared and revised according to the PRISMA 2009 Checklist.
Corresponding author: Xiang-Ke Niu, Department of Interventional Radiology, Affiliated Hospital of Chengdu University, No. 82 2nd N Section of Second Ring Road, Chengdu 610081, Sichuan Province, China. niu19850519@163.com
Received: November 24, 2025
Revised: December 8, 2025
Accepted: January 26, 2026
Published online: March 28, 2026
Processing time: 125 Days and 15.4 Hours

Abstract
BACKGROUND

Prostate cancer (PCa) is the second most common malignancy and the fifth leading cause of cancer death among men worldwide. Magnetic resonance imaging (MRI)-based radiomics has emerged as a promising tool for diagnosing PCa, but its true potential remains a subject of ongoing debate.

AIM

To evaluate the diagnostic performance of MRI-based radiomics for PCa detection and compare it with the Prostate Imaging Reporting and Data System (PI-RADS) score.

METHODS

A systematic search of EMBASE, Web of Science, and PubMed was conducted up to August 18, 2025. Pooled sensitivity, specificity, and area under the curve were calculated. Subgroup analyses were performed to evaluate heterogeneity. Additionally, the diagnostic accuracy of MRI-based radiomics was compared with that of the PI-RADS score. Methodological quality was evaluated via the Radiomics Quality Score.

RESULTS

This meta-analysis included 49 studies encompassing 10512 patients. MRI-based radiomics demonstrated a pooled sensitivity of 0.84 [95% confidence interval (CI): 0.80-0.87], specificity of 0.78 (95%CI: 0.72-0.84), and area under the curve of 0.88 (95%CI: 0.85-0.91). Deek’s funnel plot asymmetry test indicated no publication bias. Subgroup analyses revealed that multiparametric MRI-based radiomics is more effective in diagnosing clinically significant PCa and that 3D-based radiomics outperforms 2D approaches. In a head-to-head comparison, the MRI-radiomics model yielded a numerically greater pooled diagnostic value (0.85; 95%CI: 0.82-0.88) than did the PI-RADS score (0.71; 95%CI: 0.63-0.77) (P = 0.07). The mean Radiomics Quality Score was 18.2 (50.6% of the maximum score). All studies reported performing cut-off analyses, 22 studies (44.9%) addressed biological correlates, and all claimed code or data accessibility.

CONCLUSION

MRI-based radiomics is a reliable tool for detecting PCa, with 3D radiomic models showing greater effectiveness than 2D approaches in terms of sensitivity (0.85 vs 0.79). Radiomics also offers superior diagnostic accuracy for clinically significant PCa compared with the PI-RADS score, underscoring its potential in improving PCa diagnostics.

Key Words: Prostate cancer; Radiomics; Magnetic resonance imaging; Prostate Imaging Reporting and Data System; Meta-analysis

Core Tip: This meta-analysis demonstrates that magnetic resonance imaging-based radiomics is a reliable tool for detecting prostate cancer, with 3D radiomic models offering higher sensitivity than 2D models. Compared to the Prostate Imaging Reporting and Data System score, radiomics shows superior diagnostic accuracy for clinically significant prostate cancer, highlighting its potential to optimize diagnostic workflows and reduce unnecessary biopsies.



INTRODUCTION

Prostate cancer (PCa) is the most frequently diagnosed malignancy among men, with over 3 million cases reported in the United States alone. In 2025, an estimated 312000 new cases and 38000 deaths are projected, with rising global incidence attributed to aging populations[1]. Screening for PCa via prostate-specific antigen testing has demonstrated potential in reducing mortality rates. However, prostate-specific antigen testing also identifies indolent cancers that may not require treatment[2]. Multiparametric magnetic resonance imaging (mpMRI) has significantly advanced the detection and localization of primary PCa, as well as the evaluation of tumor aggressiveness. To standardize magnetic resonance imaging (MRI) interpretation and imaging protocols, the European Society of Urogenital Radiology and the American College of Radiology jointly introduced the Prostate Imaging Reporting and Data System (PI-RADS) in 2012, with an updated version 2.1 released in 2019[3]. While widely used in clinical settings, the PI-RADS faces challenges, including variability in interreader agreement, inconsistent diagnostic accuracy for PI-RADS category 3 lesions [5%-6% clinically significant PCa (csPCa) missed on targeted biopsies], and ambiguous clinical management pathways.

Radiomics is an emerging field in medicine that focuses on extracting quantitative feature information (known as radiomic features) from radiological images, which are often undetectable by the human eye, to develop clinical decision support systems[4,5]. By offering a noninvasive and reliable approach, radiomics models have the potential to enhance precision medicine, surpassing traditional models that rely solely on clinicopathological factors[6]. Recent studies have explored the application of radiomics in various aspects of PCa, including detection, prognosis, and treatment[7,8]. Radiomics analysis may also predict the likelihood of PCa in suspected cases prior to surgery, thereby facilitating more personalized treatment.

Despite advancements in radiomics for PCa diagnosis, several challenges remain that require further exploration: (1) The diagnostic potential of radiomics based on mpMRI, including dynamically contrast-enhanced sequences, compared with those excluding such sequences; (2) The efficacy of radiomics in detecting clinically significant cancers; (3) The comparative diagnostic performance of radiomics derived from 2D vs 3D images; and (4) The advantages of radiomics over the PI-RADS v2.1 system. Additionally, substantial variability in methodological pipelines across radiomic studies poses challenges to the generalizability and reproducibility of the findings. The Radiomic Quality Score (RQS) has recently been employed to assess key study attributes, including evidence strength, performance metrics, biological relationships, clinical validation, feature adjustment using tools like PyRadiomics (open-source platform), and repeatability[9]. Accordingly, the primary aim of this systematic review was to evaluate the literature on mpMRI-based radiomics for PCa detection. A secondary objective was to examine the methodological rigor of workflows used in radiomics research.

MATERIALS AND METHODS

This systematic review was prospectively registered with PROSPERO (CRD42022357840) and conducted in accordance with the Preferred Reporting Items for a Systematic Review and Meta-analysis of Diagnostic Test Accuracy Studies guidelines. To ensure accuracy and reliability, two independent reviewers independently carried out each stage of the review process, including title and abstract screening, full-text screening, data extraction, assessment of adherence to reporting guidelines, bias, and applicability.

Search strategy

A comprehensive search was performed across three main medical literature databases - EMBASE, Web of Science, and PubMed - from inception until August 18, 2025. The search employed a straightforward query without database-specific Boolean search operators: (Prostate cancer OR prostatic neoplasm OR prostate cancer patient) AND (radiomic characteristics OR radiomics analysis OR texture). Additionally, references from the included studies were manually reviewed to identify any relevant research.

Two reviewers (5 years and 3 years of meta-analysis experience, respectively) independently screened articles. The process began with title and abstract screening to exclude studies that did not meet the criteria. Full-text reviews were then conducted on the remaining studies to finalize the selection. Disagreements were resolved through discussion and consensus. For data pooling, studies providing information on either an internal or external test set were assessed separately. When multiple models were presented in a study, the model with the highest predictive performance was selected.

Inclusion and exclusion criteria

Only publications on original research studies that employed prostate biopsy or postoperative pathology as the diagnostic ‘gold standard’ were considered for inclusion. Publications such as reviews, meta-analyses, case reports, conference abstracts, letters to the editor, comments, posters, technical reports, duplicate studies, non-English publications, and nonhuman studies were excluded. Studies were also omitted if they failed to assess model performance via the area under the receiver operating characteristic (ROC) curve. Figure 1 provides a detailed overview of the study selection process.

Figure 1
Figure 1 PRISMA flow diagram for study selection. The diagram illustrates the process of identification, screening, eligibility assessment, and inclusion of studies for the meta-analysis.
Data extraction

Two reviewers, with 5 years and 3 years of experience in meta-analysis research, independently extracted key data, including study design, patient demographics, segmentation software, lesion type (2D/3D), intensity normalization, MRI technique (field strength, sequences), diagnostic criteria, and accuracy metrics (true and false positives and negatives). In cases where the data were unclear or could not be extracted into 2 × 2 tables, the study authors were contacted for clarification whenever feasible. Any discrepancies between the reviewers were resolved through discussion and consensus.

Quality assessment

The quality of the 49 included studies was evaluated via the RQS, which has a maximum possible score of 36. The scores ranged from 12 to 24, with a mean score of 18.2 ± 3.15, representing 50.6% of the total possible score. The low overall score was primarily due to common shortcomings in study design, such as the prevalent lack of prospective validation, phantom studies, and robust external validation. Notably, while all studies (100%) fulfilled basic reporting standards by including discrimination statistics and cut-off analyses, and all declared code or data accessibility, the practical implementation of open science varied. Only 22 studies (44.9%) attempted to explore the biological correlates of radiomic features.

Statistical analysis

The extracted data were summarized as means for continuous variables and percentages for categorical variables. Using the collected 2 × 2 contingency tables, a hierarchical random effects model was applied to pool diagnostic performance metrics, including sensitivity, specificity, and the diagnostic odds ratio. Summary estimates for sensitivity and specificity, along with their 95% confidence intervals (CI), were calculated via a bivariate model that accounted for both inter- and intra-study heterogeneity. The hierarchical summary ROC model was employed to generate the summary ROC curve and compute the area under the curve (AUC).

Such heterogeneity was evaluated via Cochran’s Q test and the I2 statistic. The risk of publication bias was assessed through a funnel plot and regression analysis. Subgroup analyses were conducted to identify sources of heterogeneity among studies, focusing on three main factors: (1) Scanning sequence [with or without dynamic contrast enhancement (DCE)]; (2) Detection of csPCa vs nonclinically significant PCa (non-csPCa); and (3) Radiomics derived from 2D vs 3D imaging.

For head-to-head comparisons, individual study results and summary estimates were plotted in ROC space with connecting lines. Differences in sensitivity and specificity between models were tested via the z test for paired data. Statistical analyses were performed via Stata (version 17.0) with the “midas” package and R (version 4.2.1) with the “metafor” package.

RESULTS
Study selection

The electronic literature search yielded 1049 records. After removing 721 duplicates, 328 records remained. Screening titles and abstracts led to the exclusion of 121 records, leaving 109 full-text articles for detailed review. Ultimately, 49 studies, encompassing a total of 10512 patients, were included in the qualitative analysis. The studies were published online from September 2013 to August 2024. The baseline characteristics of the included studies are summarized in Table 1.

Table 1 Key characteristics of the included studies.
Ref.
Year
Country
Number of patients
Center
Field strength (T)
Study design (Re/Pr)
Sequences
Segmentation software
Lesion segmentation
Code/data availability
Biological correlation analysis
Cut-off analyses conducted
Reference standard
Bertelli et al[4]2021Italy112Single1.5TRempMRI without DCEManual segmentation2DYesNoYesTRUSGB and MRGB
Wu et al[5]2019Canada90Single3.0TRempMRI with DCEImageJ (v.1.48, National Institutes of Health, Bethesda, MD)2DYesYesYesRP
Urakami et al[6]2022Japan101Single3.0TRempMRI with DCEManual segmentation3DYesNoYesRP
Nketiah et al[7]2021Norway96Multicenter3.0TRempMRI with DCEManual segmentation3DYesYesYesRP
Jensen et al[8]2019Denmark182Single3.0TRempMRI without DCEManual segmentation3DYesYesYesTRUSGB
Gong et al[23]2022China489Single3.0TRempMRI without DCEITK-SNAP, version 3.4.03DYesNoYesRP
Castillo T et al[13]2021Netherlands644Multicenter3.0TRempMRI without DCEManual segmentation3DYesYesYesSTRUSGB
Castillo T et al[14]2021Netherlands204Multicenter3.0T and 1.5TRempMRI without DCEManual segmentation3DYesNoYesRP
Orczyk et al[15]2019United Kingdom20Multicenter1.5TRempMRI with DCEManual segmentation3DYesYesYesRP
Damascelli et al[50]2021Italy102Single1.5TRempMRI without DCEManual segmentation3DYesYesYesRP
Niu et al[51]2018China184Single1.5TRempMRI without DCEManual segmentation3DYesNoYesNR
Peng et al[52]2021China194Single1.5TRempMRI with DCEManual segmentation3DYesYesYesRP
Zhang et al[24]2021China139Single3.0TRempMRI without DCEOpen source, ITK-SNAP3DYesYesYesRP
Han et al[25]2021China176Single3.0TRempMRI with DCEITK-SNAP, Toolbox v3.6.03DYesNoYesMRI-TRUS biopsy
Gong et al[26]2020China489Single3.0TRempMRI without DCEITK-SNAP v.3.4.03DYesYesYesRP
Cheng et al[27]2023China226Single3.0TRempMRI with DCEITKSNAP software3DYesNoYesSTRUSGB and MRGB
Min et al[28]2019China280Single3.0TRempMRI without DCEITK-SNAP software3DYesYesYesRP
Li et al[29]2020China381Single3.0TRempMRI with DCEManual segmentation3DYesYesYesRP
Bonekamp et al[10]2018Germany316Single3.0TPrmpMRI without DCEThe medical imaging toolkit3DYesNoYesRP
Zhang et al[30]2022China142Single3.0TRempMRI with DCEITK-SNAP software3DYesYesYesSTRUSGB and MRGB
Liu et al[31]2021United States402Single3.0TRempMRI without DCEManual segmentation3DYesNoYesRP
Hou et al[32]2020China263Single3.0TRempMRI without DCEManual segmentation3DYesYesYesRP
Bleker et al[11]2021Netherlands206Single3.0TPrmpMRI with DCEManual segmentation2DYesNoYesRP
Xiong et al[53]2021China85Single1.5TRempMRI without DCEManual segmentation3DYesYesYesRP
Yang et al[33]2023China392Single3.0TRempMRI without DCEITK-SNAP software3DYesYesYesRP
Bleker et al[16]2020Netherlands262Multicenter3.0TRempMRI without DCEManual segmentation2DYesNoYesSTRUSGB and MRGB
Woźnicki et al[20]2020Germany191Single3.0TRempMRI without DCEBoard-certified radiologist (D.N.)3DYesYesYesRP
Bevilacqua et al[34]2021Italy76Single3.0TRempMRI without DCEManual segmentation3DYesNoYesRP
Donisi et al[21]2021Italy299Single3.0TRempMRI without DCEManual segmentation2DYesYesYesTRUSGB
Zhou et al[17]2023China170Multicenter3.0TRempMRI without DCEITK-SNAP software3DYesNoYesTRUSGB
Chen et al[35]2019China381Single3.0TRempMRI without DCEManual segmentation3DYesYesYesTRUSGB
Fehr et al[36]2015United States147Single3.0TRempMRI without DCEManual segmentation3DYesYesYesRP
Roest et al[18]2023Netherlands1513Multicenter3.0T and 1.5TRempMRI without DCEManual segmentation3DYesNoYesRP
Algohary et al[37]2018United States301Single3.0TRempMRI without DCEManual segmentation3DYesYesYesRP
Zhang et al[38]2021China140Single3.0TRempMRI with DCEManual segmentation2DYesNoYesTTSB
Isaksson et al[39]2020Italy121Single3.0TRempMRI with DCEManual segmentation3DYesYesYesRP
Tanadini-Lang et al[40]2018Switzerland47Single3.0TRempMRI with DCEManual segmentation3DYesNoYesRP
Bourbonne et al[41]2020United States195Single3.0TRempMRI with DCEManual segmentation3DYesYesYesRP
McGarry et al[12]2022United States48Single3.0TPrmpMRI with DCEManual segmentation2DYesNoYesRP
Penzias et al[42]2018United States34Single3.0TRempMRI without DCEManual segmentation3DYesYesYesNR
Daniel et al[19]2019Austria42Multicenter3.0TRempMRI without DCEManual segmentation3DYesNoYesNR
Wang et al[22]2017China54Single3.0TRempMRI with DCEManual segmentation3DYesYesYesTRUSGB
Jung et al[43]2020Korea68Single3.0TRempMRI with DCEManual segmentation3DYesYesYesTRUSGB and RP
Stoyanova et al[44]2016United States46Single3.0TRempMRI with DCEManual segmentation3DYesNoYesTRUSGB and RP
Schieda et al[45]2021Canada76Single3.0TRempMRI with DCEManual segmentation3DYesYesYesRP
Ginsburg et al[46]2017United States54Single3.0TRempMRI without DCEManual segmentation3DYesNoYesRP
Shiradkar et al[47]2018United States120Single3.0TRempMRI without DCEManual segmentation3DYesYesYesRP
Zhang et al[48]2019China140Single3.0TRempMRI with DCEManual segmentation3DYesNoYesTRUSGB and MRGB
Toivonen et al[49]2019Finland72Single3.0TRempMRI without DCEManual segmentation3DYesYesYesTRUSGB and RP

Among the 49 studies, three utilized a prospective enrollment methodology[10-12], whereas eight involved data from multiple institutions[7,13-19]. Seven studies employed multiple MRI scanners[5,7,8,14,20-22]. With respect to MRI field strength, a 3-T scanner was the most frequently used (41/49 studies)[5-8,10-13,16,17,19-49], with two studies employing both 1.5-T and 3-T scanners[14,18]. In terms of lesion segmentation, seven studies adopted a 2D approach[4,5,11,12,16,21,38], whereas the remaining studies utilized 3D segmentation[6-8,10,13-15,17-20,22-37,39-53].

Heterogeneity and diagnostic accuracy

The included studies exhibited heterogeneity based on Cochran’s Q tests (Q = 699.30 for sensitivity and Q = 921.59 for specificity, both P > 0.05) and I2 statistics (I2 = 92.42% for sensitivity and I2 = 94.25% for specificity) (Figure 2). The data distribution in the summary receiver operating characteristic plot displayed a “shoulder-arm” pattern, suggesting the potential influence of a threshold effect among the studies. Analysis via Stata revealed an overall AUC of 0.88 (95%CI: 0.85-0.91) (Figure 3). Radiomics demonstrated a pooled sensitivity of 0.84 (95%CI: 0.80-0.87) and specificity of 0.78 (95%CI: 0.72-0.84) (Figure 2). Furthermore, Deeks’ funnel plot indicated no evidence of publication bias (P = 0.27; Figure 4).

Figure 2
Figure 2 Coupled forest plot of eligible studies. This plot illustrates the estimated sensitivities and specificities of the studies included in the meta-analysis. The horizontal bars denote the 95% confidence intervals for each study, the diamond represents the pooled random-effects rate, and the vertical line represents the line of no effect. CI: Confidence interval.
Figure 3
Figure 3 Summary receiver operating characteristic curves with prediction and confidence contours. The numbers within circles correspond to the specific studies included in the bivariate model. SROC: Summary receiver operating characteristic; SENS: Sensitivity; SPEC: Specificity; AUC: Area under the curve.
Figure 4
Figure 4 Deeks’ funnel plot. A P value of 0.27 suggests no evidence of publication bias. ESS: Effective sample size.
Subgroup analysis

Subgroup analyses were conducted to explore potential sources of heterogeneity on the basis of three factors: (1) Scanning sequence (with or without DCE); (2) Detection of csPCa vs noncsPC; and (3) Radiomics derived from 2D vs 3D imaging. A subgroup analysis of studies using mpMRI with DCE sequences (20 studies) revealed a pooled sensitivity of 0.88 (95%CI: 0.84-0.91) and specificity of 0.83 (95%CI: 0.76-0.88). In comparison, mpMRI studies without DCE sequences (29 studies) reported a pooled sensitivity of 0.82 (95%CI: 0.77-0.87) and specificity of 0.73 (95%CI: 0.67-0.83). Seven studies utilizing 2D radiomics achieved a pooled sensitivity of 0.79 (95%CI: 0.71-0.83), a specificity of 0.76 (95%CI: 0.73-0.83), and an AUC of 0.78 (95%CI: 0.73-0.81). In contrast, forty-two 3D radiomic analyses reported a pooled sensitivity of 0.85 (95%CI: 0.82-0.88), a specificity of 0.86 (95%CI: 0.77-0.89), and an AUC of 0.86 (95%CI: 0.82-0.95).

For the diagnosis of csPCa (30 studies), the pooled sensitivity was 0.85 (95%CI: 0.82-0.88), the specificity was 0.87 (95%CI: 0.84-0.92), and the AUC was 0.93 (95%CI: 0.81-0.95). For non-csPCa detection (19 studies), the pooled sensitivity was 0.71 (95%CI: 0.63-0.77), the specificity was 0.78 (95%CI: 0.73-0.82), and the AUC was 0.76 (95%CI: 0.72-0.83). The detailed results of these subgroup analyses are presented in Table 2.

Table 2 Results of the subgroup analysis, 95% confidence intervals.

Number of studies
Sensitivity
P value
Specificity
P value
AUC
Sensitivity
P value
I2
Specificity
P value
I2
Overall490.84 (0.81-0.87)< 0.0193.08 (91.76-94.40)0.78 (0.70-0.84)< 0.0194.68 (93.75-95.62)0.88 (0.85-0.91)
Sequences< 0.01< 0.01
mpMRI with DCE200.88 (0.84-0.91)< 0.0172.75 (60.62-84.87)0.83 (0.76-0.88)< 0.0184.66 (78.82-90.50)0.82 (0.81-0.97)
mpMRI without DCE290.82 (0.77-0.87)< 0.0194.41 (93.11-95.71)0.73 (0.67-0.83)< 0.0195.90 (95.03-96.77)0.87 (0.81-0.94)
Lesion segmentation< 0.01< 0.01
2D70.79 (0.71-0.83)< 0.0192.54 (88.50-96.59)0.76 (0.73-0.83)< 0.0193.33 (89.82-96.84)0.78 (0.73-0.81)
3D420.85 (0.82-0.88)< 0.0192.21 (91.43-94.38)0.86 (0.77-0.89)< 0.0194.56 (93.52-95.60)0.86 (0.82-0.95)
Tumor aggressiveness< 0.01< 0.01
csPCa300.85 (0.82-0.88)< 0.0195.02 (93.92-96.12)0.87 (0.84-0.92)< 0.0196.21 (95.44-96.96)0.93 (0.81-0.95)
Non-csPCa190.71 (0.63-0.77)< 0.0169.89 (55.77-84.00)0.78 (0.73-0.82)< 0.0183.84 (77.44-90.25)0.76 (0.72-0.83)
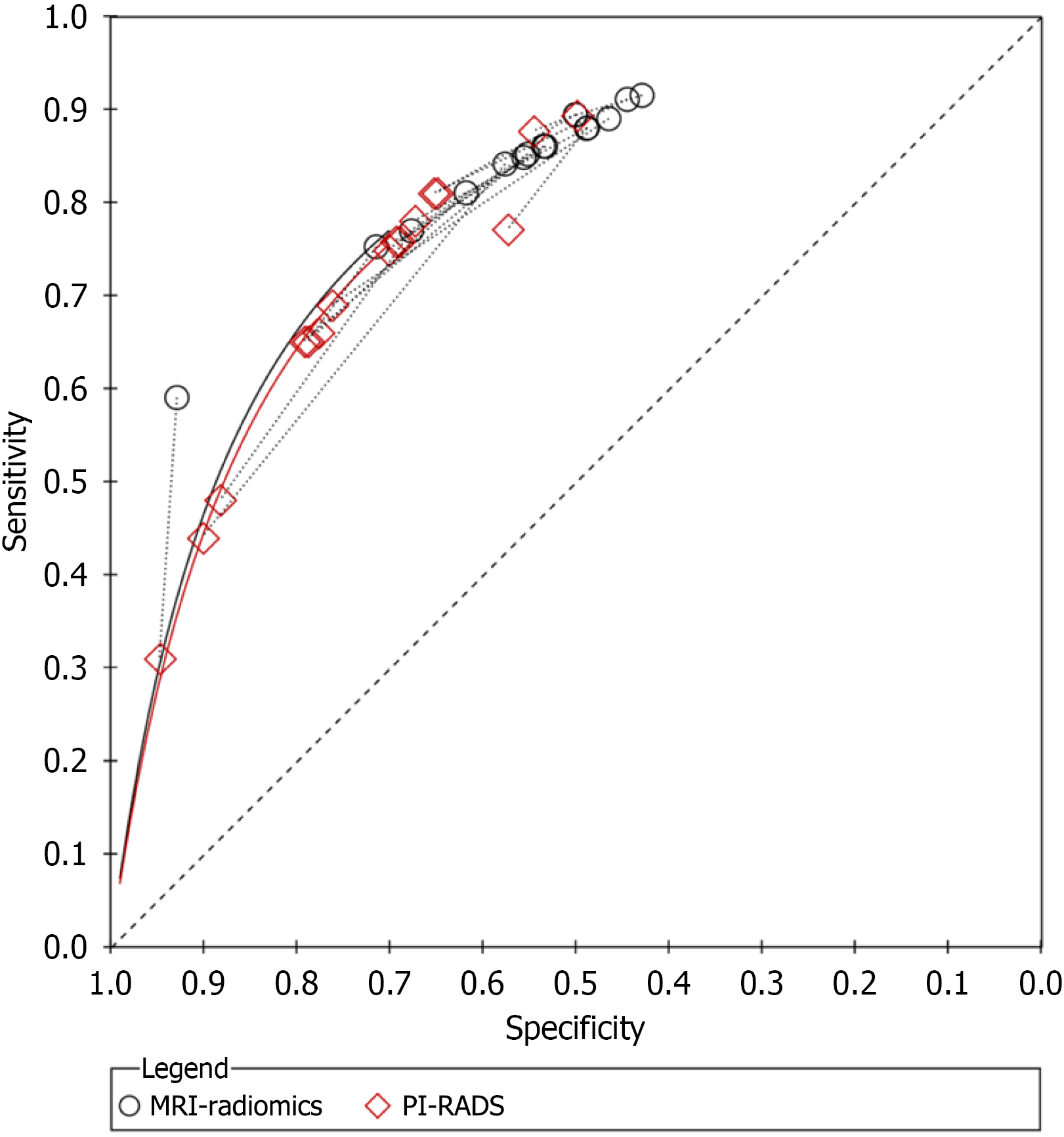
Head-to-head comparison

Sixteen studies conducted direct comparisons between MR-radiomics and PI-RADS for the diagnosis of PCa. The pooled AUC for MRI-radiomics (0.85; 95%CI: 0.82-0.88) was notably greater than that of PI-RADS (0.71; 95%CI: 0.63-0.77) (Figure 5). Although this difference approached statistical significance, it was not statistically significant (P = 0.07).

Figure 5
Figure 5 Meta-analysis of head-to-head comparisons. The plot displays the sensitivity and specificity in the receiver operating characteristic space for head-to-head comparisons between magnetic resonance imaging-radiomics and Prostate Imaging Reporting and Data System. The dotted lines represent the findings of the meta-analysis. MRI: Magnetic resonance imaging; PI-RADS: Prostate Imaging Reporting and Data System.
Quality assessment

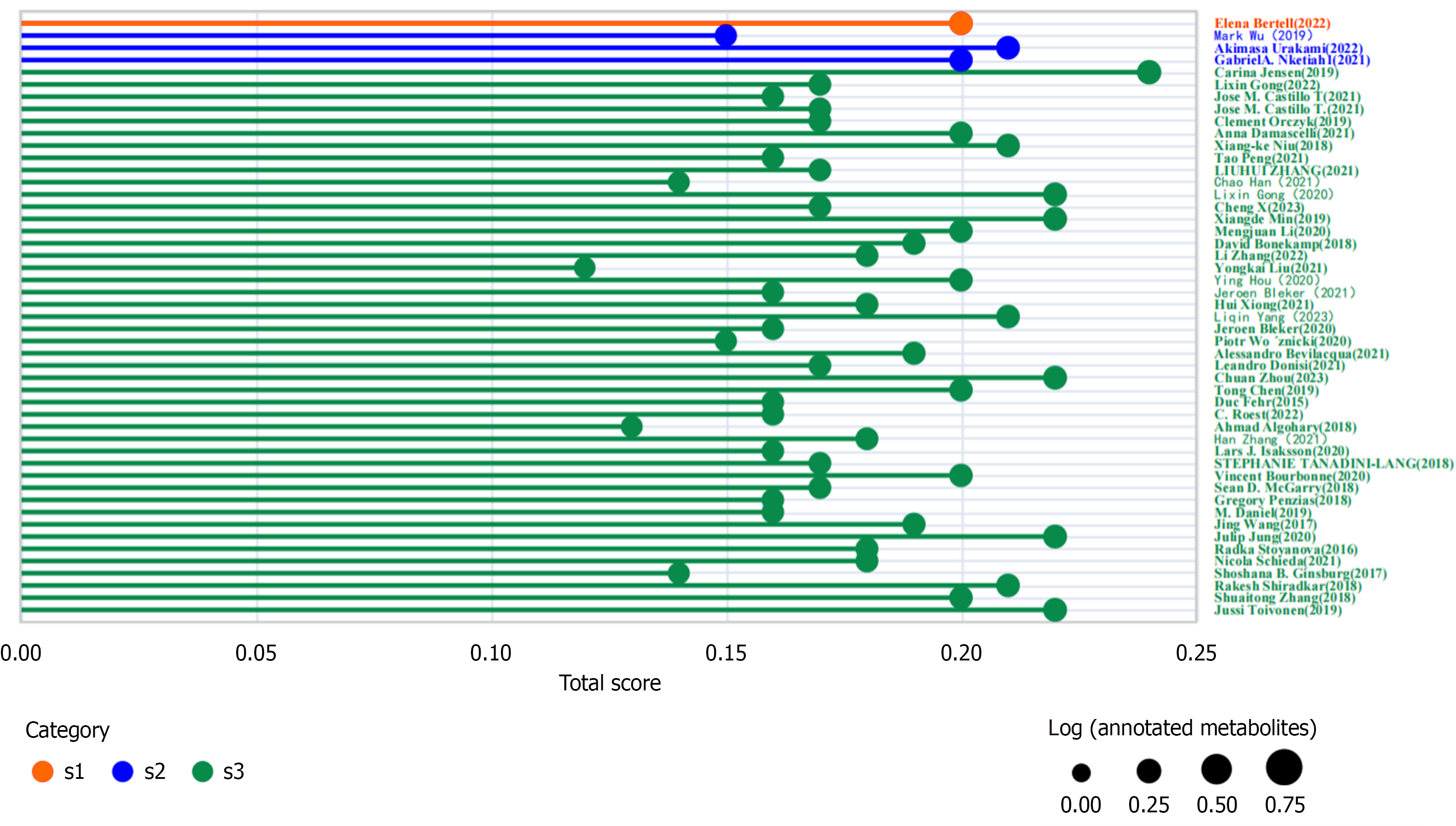
The quality of the 49 included studies was evaluated via the RQS, which has a maximum possible score of 36. The scores ranged from 12 to 24, with a mean score of 18.2 ± 3.15, representing 50.6% of the total possible score (Figure 6). The relatively low RQS was attributed primarily to the lack of prospective designs, phantom studies, and validation in external cohorts. All studies reported discrimination statistics and performed cut-off analyses. Code or data were publicly accessible in 49 studies (100%), and 22 studies (44.9%) identified and addressed biological correlates.

Figure 6
Figure 6 Group bar plot of the Radiomic Quality Score by study. This plot shows the distribution of methodological quality scores (Radiomic Quality Score, maximum 36) across the 49 included.
DISCUSSION

This study presents a systematic review and meta-analysis of published articles investigating mpMRI combined with radiomic analysis for detecting PCa. A total of 49 studies involving 10512 patients met the inclusion criteria. The findings demonstrate that the mpMRI-based radiomic approach achieves high diagnostic performance, with a pooled sensitivity of 0.84 and specificity of 0.78. Subgroup analysis revealed that mpMRI-based radiomics is more sensitive in detecting csPCa than in detecting non-csPCa. Additionally, radiomics derived from the 3D volume of lesions provided a more comprehensive depiction of tumor characteristics than did radiomics based on the largest cross-sectional area. In head-to-head comparisons, mpMRI-based radiomics outperformed the traditional PI-RADS system, highlighting its potential superiority in clinical applications. However, quality assessment via the RQS yielded an average score of 18.2 for all the included studies, reflecting limitations in study design and methodology.

Compared with previous studies, this study has several advantages. The primary finding is that mpMRI-based radiomics is highly effective in diagnosing PCa. Notably, many researchers have suggested abandoning DCE-MRI because of its lengthy acquisition time, potential risks, additional costs, patient discomfort from contrast agent injections, and relatively limited incremental benefits. In a head-to-head comparison, mpMRI demonstrated significantly greater pooled sensitivity than bpMRI for PCa detection. Urakami et al[6] highlighted that combined histograms of DCE images could reveal temporally changing perfusion patterns within tumors, enabling the identification of abnormal microvascularization. This approach may facilitate stratification of PCa patients into low- and high-tumor groups, potentially aiding in personalized treatment strategies. Discerning csPCa from benign conditions or non-csPCa is vital, as it directly impacts patient management strategies[13,14]. Our findings indicate that the mpMRI-based radiomic model demonstrates substantially greater sensitivity and specificity for identifying csPCa than non-csPCa. Numerous studies have explored the potential of radiomic features for predicting PCa and csPCa[50,51]. For example, Niu et al[51] reported significant differences in texture features derived from T2W images and apparent diffusion coefficient maps when comparing benign tissue to PCa, as well as between high- and low-grade PCa. The large sample size of this study (10512 patients) strengthens the evidence supporting mpMRI-based radiomics as a reliable tool for detecting csPCa. By accurately identifying csPCa, this approach could enable clinicians to design tailored treatment plans and reduce the number of unnecessary biopsies, ultimately improving patient outcomes[24,52].

Manual region of interest drawing remains the most widely used segmentation approach in radiomics. Segmentation represents a critical first step in image processing, as it significantly influences the accuracy of radiomic assessment. Studies by Bleker et al[11] and Algohary et al[37] suggest that whole-tumor volumetric analysis provides a more comprehensive representation of tumor heterogeneity than cross-sectional analysis does. In this study, we explored two segmentation patterns - 2D- and 3D-based radiomics - for PCa diagnosis. The results indicate that 3D segmentation produces imaging histology features that are more effective for diagnosing PCa than those derived from 2D segmentation. The advantage may stem from the inability of a single cross-sectional slice to capture the most representative portions of tumor tissue, given the inherent diversity and heterogeneity of tumor imaging features across different levels[34]. By incorporating phenotypic variables for the entire prostate, the 3D model offers a more holistic characterization than the 2D model does.

While the introduction of PI-RADS has significantly increased the utility of prostate MRI, interreader variability remains a persistent challenge. To address this, computer-aided diagnostic approaches have gained traction in recent years[18,35,36]. Numerous studies have demonstrated that radiomics models outperform PI-RADS and clinical indicators in the diagnosis and assessment of the aggressiveness of PCa. However, few studies have directly compared the performance of radiomics and PI-RADS using mpMRI in a head-to-head manner. Our findings reveal that radiomics achieves superior diagnostic performance to that of PI-RADS when mpMRI is employed. These findings suggest that radiomics can augment the diagnostic capabilities of PI-RADS v2.1, offering a robust tool to enhance PCa diagnosis and guide clinical decision making.

The quality of radiomic studies is a critical factor in driving the advancement of radiomic research and its integration into future clinical practice. To evaluate the reliability and reproducibility of the radiomic findings, this study utilized the RQS, a robust tool introduced by Lambin et al[54], to assess the quality of radiomic investigations. The RQS results from this meta-analysis highlighted significant variability in the quality and methodologies of the included studies. These findings underscore the need for future radiomics research to adopt more rigorous methodologies and transparent reporting practices to improve the reliability and reproducibility of MRI-based radiomic models for PCa prediction. While all included studies reported performing cut-off analyses and claimed code/data accessibility, the actual public availability and reusability of these resources in practice require further scrutiny. Slightly less than half of the studies (44.9%) attempted to explore the biological relevance of radiomic features, a gap that reduces biological interpretability and impedes widespread clinical application.

This study had several limitations. First, the variability in scanner types, imaging protocols and tumor detection criteria across studies may have influenced the accuracy of the results. Second, the relatively small number of studies included in the quantitative synthesis, coupled with significant (but expected) heterogeneity, necessitates cautious interpretation of the pooled data. However, such heterogeneity is a common challenge in diagnostic accuracy meta-analyses, and we addressed this by investigating its origins through subgroup analyses. Finally, this review did not include a search of the gray literature. While this means that some important studies may have been overlooked, gray literature searches lack standardization, and the reliability of such sources can be uncertain. Additionally, 46 out of the 49 included studies (approximately 94%) were retrospective in design. Retrospective studies are susceptible to selection bias and variations in patient enrollment criteria, which may affect the generalizability and reliability of our pooled results. Moreover, the predominance of retrospective studies in our analysis calls for prospective validation to confirm these findings.

CONCLUSION

Radiomics analysis holds significant potential in addressing some of the current challenges in PCa diagnosis. Subgroup analyses revealed that a 3D volumetric approach offers superior sensitivity for PCa detection compared to 2D approaches. Furthermore, MRI-based radiomics showed higher diagnostic accuracy for csPCa than for non-csPCa. In a head-to-head comparison, the mpMRI-based radiomic method surpassed the PI-RADS score in diagnostic accuracy. However, future studies should aim for higher methodological rigor as measured by tools like the RQS. Efforts should focus on conducting prospective validations, ensuring truly accessible and reproducible code/data, and, crucially, investigating the biological underpinnings of radiomic features to improve clinical translation.

ACKNOWLEDGEMENTS

The authors thank the researchers and study participants whose work was included in this meta-analysis. We also appreciate the valuable suggestions provided by our colleagues during the preparation of this review.

References
1.  Correia ETO, Baydoun A, Li Q, Costa DN, Bittencourt LK. Emerging and anticipated innovations in prostate cancer MRI and their impact on patient care. Abdom Radiol (NY). 2024;49:3696-3710.  [RCA]  [PubMed]  [DOI]  [Full Text]  [Full Text (PDF)]  [Cited by in Crossref: 4]  [Cited by in RCA: 3]  [Article Influence: 1.5]  [Reference Citation Analysis (0)]
2.  Auvinen A, Tammela TLJ, Mirtti T, Lilja H, Tolonen T, Kenttämies A, Rinta-Kiikka I, Lehtimäki T, Natunen K, Nevalainen J, Raitanen J, Ronkainen J, van der Kwast T, Riikonen J, Pétas A, Matikainen M, Taari K, Kilpeläinen T, Rannikko AS; ProScreen Trial Investigators. Prostate Cancer Screening With PSA, Kallikrein Panel, and MRI: The ProScreen Randomized Trial. JAMA. 2024;331:1452-1459.  [RCA]  [PubMed]  [DOI]  [Full Text]  [Full Text (PDF)]  [Cited by in Crossref: 72]  [Cited by in RCA: 56]  [Article Influence: 28.0]  [Reference Citation Analysis (0)]
3.  Turkbey B, Rosenkrantz AB, Haider MA, Padhani AR, Villeirs G, Macura KJ, Tempany CM, Choyke PL, Cornud F, Margolis DJ, Thoeny HC, Verma S, Barentsz J, Weinreb JC. Prostate Imaging Reporting and Data System Version 2.1: 2019 Update of Prostate Imaging Reporting and Data System Version 2. Eur Urol. 2019;76:340-351.  [RCA]  [PubMed]  [DOI]  [Full Text]  [Cited by in Crossref: 2113]  [Cited by in RCA: 1788]  [Article Influence: 255.4]  [Reference Citation Analysis (0)]
4.  Bertelli E, Mercatelli L, Marzi C, Pachetti E, Baccini M, Barucci A, Colantonio S, Gherardini L, Lattavo L, Pascali MA, Agostini S, Miele V. Machine and Deep Learning Prediction Of Prostate Cancer Aggressiveness Using Multiparametric MRI. Front Oncol. 2021;11:802964.  [RCA]  [PubMed]  [DOI]  [Full Text]  [Full Text (PDF)]  [Cited by in Crossref: 59]  [Cited by in RCA: 34]  [Article Influence: 8.5]  [Reference Citation Analysis (0)]
5.  Wu M, Krishna S, Thornhill RE, Flood TA, McInnes MDF, Schieda N. Transition zone prostate cancer: Logistic regression and machine-learning models of quantitative ADC, shape and texture features are highly accurate for diagnosis. J Magn Reson Imaging. 2019;50:940-950.  [RCA]  [PubMed]  [DOI]  [Full Text]  [Cited by in Crossref: 45]  [Cited by in RCA: 36]  [Article Influence: 5.1]  [Reference Citation Analysis (0)]
6.  Urakami A, Arimura H, Takayama Y, Kinoshita F, Ninomiya K, Imada K, Watanabe S, Nishie A, Oda Y, Ishigami K. Stratification of prostate cancer patients into low- and high-grade groups using multiparametric magnetic resonance radiomics with dynamic contrast-enhanced image joint histograms. Prostate. 2022;82:330-344.  [RCA]  [PubMed]  [DOI]  [Full Text]  [Cited by in Crossref: 10]  [Cited by in RCA: 9]  [Article Influence: 2.3]  [Reference Citation Analysis (0)]
7.  Nketiah GA, Elschot M, Scheenen TW, Maas MC, Bathen TF, Selnæs KM; PCa-MAP Consortium. Utility of T(2)-weighted MRI texture analysis in assessment of peripheral zone prostate cancer aggressiveness: a single-arm, multicenter study. Sci Rep. 2021;11:2085.  [RCA]  [PubMed]  [DOI]  [Full Text]  [Full Text (PDF)]  [Cited by in Crossref: 23]  [Cited by in RCA: 18]  [Article Influence: 3.6]  [Reference Citation Analysis (0)]
8.  Jensen C, Sørensen KS, Jørgensen CK, Nielsen CW, Høy PC, Langkilde NC, Østergaard LR. Prostate zonal segmentation in 1.5T and 3T T2W MRI using a convolutional neural network. J Med Imaging (Bellingham). 2019;6:014501.  [RCA]  [PubMed]  [DOI]  [Full Text]  [Cited by in Crossref: 13]  [Cited by in RCA: 10]  [Article Influence: 1.4]  [Reference Citation Analysis (0)]
9.  Spadarella G, Calareso G, Garanzini E, Ugga L, Cuocolo A, Cuocolo R. MRI based radiomics in nasopharyngeal cancer: Systematic review and perspectives using radiomic quality score (RQS) assessment. Eur J Radiol. 2021;140:109744.  [RCA]  [PubMed]  [DOI]  [Full Text]  [Cited by in Crossref: 45]  [Cited by in RCA: 36]  [Article Influence: 7.2]  [Reference Citation Analysis (0)]
10.  Bonekamp D, Kohl S, Wiesenfarth M, Schelb P, Radtke JP, Götz M, Kickingereder P, Yaqubi K, Hitthaler B, Gählert N, Kuder TA, Deister F, Freitag M, Hohenfellner M, Hadaschik BA, Schlemmer HP, Maier-Hein KH. Radiomic Machine Learning for Characterization of Prostate Lesions with MRI: Comparison to ADC Values. Radiology. 2018;289:128-137.  [RCA]  [PubMed]  [DOI]  [Full Text]  [Cited by in Crossref: 178]  [Cited by in RCA: 162]  [Article Influence: 20.3]  [Reference Citation Analysis (0)]
11.  Bleker J, Yakar D, van Noort B, Rouw D, de Jong IJ, Dierckx RAJO, Kwee TC, Huisman H. Single-center versus multi-center biparametric MRI radiomics approach for clinically significant peripheral zone prostate cancer. Insights Imaging. 2021;12:150.  [RCA]  [PubMed]  [DOI]  [Full Text]  [Full Text (PDF)]  [Cited by in Crossref: 25]  [Cited by in RCA: 21]  [Article Influence: 4.2]  [Reference Citation Analysis (0)]
12.  McGarry SD, Brehler M, Bukowy JD, Lowman AK, Bobholz SA, Duenweg SR, Banerjee A, Hurrell SL, Malyarenko D, Chenevert TL, Cao Y, Li Y, You D, Fedorov A, Bell LC, Quarles CC, Prah MA, Schmainda KM, Taouli B, LoCastro E, Mazaheri Y, Shukla-Dave A, Yankeelov TE, Hormuth DA 2nd, Madhuranthakam AJ, Hulsey K, Li K, Huang W, Huang W, Muzi M, Jacobs MA, Solaiyappan M, Hectors S, Antic T, Paner GP, Palangmonthip W, Jacobsohn K, Hohenwalter M, Duvnjak P, Griffin M, See W, Nevalainen MT, Iczkowski KA, LaViolette PS. Multi-Site Concordance of Diffusion-Weighted Imaging Quantification for Assessing Prostate Cancer Aggressiveness. J Magn Reson Imaging. 2022;55:1745-1758.  [RCA]  [PubMed]  [DOI]  [Full Text]  [Full Text (PDF)]  [Cited by in Crossref: 12]  [Cited by in RCA: 12]  [Article Influence: 3.0]  [Reference Citation Analysis (0)]
13.  Castillo T JM, Arif M, Starmans MPA, Niessen WJ, Bangma CH, Schoots IG, Veenland JF. Classification of Clinically Significant Prostate Cancer on Multi-Parametric MRI: A Validation Study Comparing Deep Learning and Radiomics. Cancers (Basel). 2021;14:12.  [RCA]  [PubMed]  [DOI]  [Full Text]  [Full Text (PDF)]  [Cited by in Crossref: 41]  [Cited by in RCA: 32]  [Article Influence: 6.4]  [Reference Citation Analysis (0)]
14.  Castillo T JM, Starmans MPA, Arif M, Niessen WJ, Klein S, Bangma CH, Schoots IG, Veenland JF. A Multi-Center, Multi-Vendor Study to Evaluate the Generalizability of a Radiomics Model for Classifying Prostate cancer: High Grade vs. Low Grade. Diagnostics (Basel). 2021;11:369.  [RCA]  [PubMed]  [DOI]  [Full Text]  [Full Text (PDF)]  [Cited by in Crossref: 46]  [Cited by in RCA: 38]  [Article Influence: 7.6]  [Reference Citation Analysis (0)]
15.  Orczyk C, Villers A, Rusinek H, Lepennec V, Bazille C, Giganti F, Mikheev A, Bernaudin M, Emberton M, Fohlen A, Valable S. Prostate cancer heterogeneity: texture analysis score based on multiple magnetic resonance imaging sequences for detection, stratification and selection of lesions at time of biopsy. BJU Int. 2019;124:76-86.  [RCA]  [PubMed]  [DOI]  [Full Text]  [Cited by in Crossref: 24]  [Cited by in RCA: 23]  [Article Influence: 3.3]  [Reference Citation Analysis (0)]
16.  Bleker J, Kwee TC, Dierckx RAJO, de Jong IJ, Huisman H, Yakar D. Multiparametric MRI and auto-fixed volume of interest-based radiomics signature for clinically significant peripheral zone prostate cancer. Eur Radiol. 2020;30:1313-1324.  [RCA]  [PubMed]  [DOI]  [Full Text]  [Full Text (PDF)]  [Cited by in Crossref: 57]  [Cited by in RCA: 50]  [Article Influence: 8.3]  [Reference Citation Analysis (0)]
17.  Zhou C, Zhang YF, Guo S, Wang D, Lv HX, Qiao XN, Wang R, Chang DH, Zhao LM, Zhou FH. Multiparametric MRI radiomics in prostate cancer for predicting Ki-67 expression and Gleason score: a multicenter retrospective study. Discov Oncol. 2023;14:133.  [RCA]  [PubMed]  [DOI]  [Full Text]  [Full Text (PDF)]  [Cited by in Crossref: 12]  [Cited by in RCA: 10]  [Article Influence: 3.3]  [Reference Citation Analysis (0)]
18.  Roest C, Kwee TC, Saha A, Fütterer JJ, Yakar D, Huisman H. AI-assisted biparametric MRI surveillance of prostate cancer: feasibility study. Eur Radiol. 2023;33:89-96.  [RCA]  [PubMed]  [DOI]  [Full Text]  [Full Text (PDF)]  [Cited by in Crossref: 27]  [Cited by in RCA: 23]  [Article Influence: 7.7]  [Reference Citation Analysis (0)]
19.  Daniel M, Kuess P, Andrzejewski P, Nyholm T, Helbich T, Polanec S, Dragschitz F, Goldner G, Georg D, Baltzer P. Impact of androgen deprivation therapy on apparent diffusion coefficient and T2w MRI for histogram and texture analysis with respect to focal radiotherapy of prostate cancer. Strahlenther Onkol. 2019;195:402-411.  [RCA]  [PubMed]  [DOI]  [Full Text]  [Full Text (PDF)]  [Cited by in Crossref: 17]  [Cited by in RCA: 16]  [Article Influence: 2.3]  [Reference Citation Analysis (0)]
20.  Woźnicki P, Westhoff N, Huber T, Riffel P, Froelich MF, Gresser E, von Hardenberg J, Mühlberg A, Michel MS, Schoenberg SO, Nörenberg D. Multiparametric MRI for Prostate Cancer Characterization: Combined Use of Radiomics Model with PI-RADS and Clinical Parameters. Cancers (Basel). 2020;12:1767.  [RCA]  [PubMed]  [DOI]  [Full Text]  [Full Text (PDF)]  [Cited by in Crossref: 106]  [Cited by in RCA: 91]  [Article Influence: 15.2]  [Reference Citation Analysis (0)]
21.  Donisi L, Cesarelli G, Castaldo A, De Lucia DR, Nessuno F, Spadarella G, Ricciardi C. A Combined Radiomics and Machine Learning Approach to Distinguish Clinically Significant Prostate Lesions on a Publicly Available MRI Dataset. J Imaging. 2021;7:215.  [RCA]  [PubMed]  [DOI]  [Full Text]  [Full Text (PDF)]  [Cited by in Crossref: 34]  [Cited by in RCA: 15]  [Article Influence: 3.0]  [Reference Citation Analysis (0)]
22.  Wang J, Wu CJ, Bao ML, Zhang J, Wang XN, Zhang YD. Machine learning-based analysis of MR radiomics can help to improve the diagnostic performance of PI-RADS v2 in clinically relevant prostate cancer. Eur Radiol. 2017;27:4082-4090.  [RCA]  [PubMed]  [DOI]  [Full Text]  [Cited by in Crossref: 194]  [Cited by in RCA: 170]  [Article Influence: 18.9]  [Reference Citation Analysis (0)]
23.  Gong L, Xu M, Fang M, He B, Li H, Fang X, Dong D, Tian J. The potential of prostate gland radiomic features in identifying the Gleason score. Comput Biol Med. 2022;144:105318.  [RCA]  [PubMed]  [DOI]  [Full Text]  [Cited by in Crossref: 22]  [Cited by in RCA: 20]  [Article Influence: 5.0]  [Reference Citation Analysis (0)]
24.  Zhang L, Zhe X, Tang M, Zhang J, Ren J, Zhang X, Li L. Predicting the Grade of Prostate Cancer Based on a Biparametric MRI Radiomics Signature. Contrast Media Mol Imaging. 2021;2021:7830909.  [RCA]  [PubMed]  [DOI]  [Full Text]  [Full Text (PDF)]  [Cited by in Crossref: 12]  [Cited by in RCA: 12]  [Article Influence: 2.4]  [Reference Citation Analysis (0)]
25.  Han C, Ma S, Liu X, Liu Y, Li C, Zhang Y, Zhang X, Wang X. Radiomics Models Based on Apparent Diffusion Coefficient Maps for the Prediction of High-Grade Prostate Cancer at Radical Prostatectomy: Comparison With Preoperative Biopsy. J Magn Reson Imaging. 2021;54:1892-1901.  [RCA]  [PubMed]  [DOI]  [Full Text]  [Cited by in Crossref: 30]  [Cited by in RCA: 25]  [Article Influence: 5.0]  [Reference Citation Analysis (0)]
26.  Gong L, Xu M, Fang M, Zou J, Yang S, Yu X, Xu D, Zhou L, Li H, He B, Wang Y, Fang X, Dong D, Tian J. Noninvasive Prediction of High-Grade Prostate Cancer via Biparametric MRI Radiomics. J Magn Reson Imaging. 2020;52:1102-1109.  [RCA]  [PubMed]  [DOI]  [Full Text]  [Cited by in Crossref: 67]  [Cited by in RCA: 59]  [Article Influence: 9.8]  [Reference Citation Analysis (0)]
27.  Cheng X, Chen Y, Xu H, Ye L, Tong S, Li H, Zhang T, Tian S, Qi J, Zeng H, Yao J, Song B. Avoiding Unnecessary Systematic Biopsy in Clinically Significant Prostate Cancer: Comparison Between MRI-Based Radiomics Model and PI-RADS Category. J Magn Reson Imaging. 2023;57:578-586.  [RCA]  [PubMed]  [DOI]  [Full Text]  [Cited by in Crossref: 11]  [Cited by in RCA: 12]  [Article Influence: 4.0]  [Reference Citation Analysis (0)]
28.  Min X, Li M, Dong D, Feng Z, Zhang P, Ke Z, You H, Han F, Ma H, Tian J, Wang L. Multi-parametric MRI-based radiomics signature for discriminating between clinically significant and insignificant prostate cancer: Cross-validation of a machine learning method. Eur J Radiol. 2019;115:16-21.  [RCA]  [PubMed]  [DOI]  [Full Text]  [Cited by in Crossref: 125]  [Cited by in RCA: 93]  [Article Influence: 13.3]  [Reference Citation Analysis (0)]
29.  Li M, Chen T, Zhao W, Wei C, Li X, Duan S, Ji L, Lu Z, Shen J. Radiomics prediction model for the improved diagnosis of clinically significant prostate cancer on biparametric MRI. Quant Imaging Med Surg. 2020;10:368-379.  [RCA]  [PubMed]  [DOI]  [Full Text]  [Full Text (PDF)]  [Cited by in Crossref: 55]  [Cited by in RCA: 58]  [Article Influence: 9.7]  [Reference Citation Analysis (0)]
30.  Zhang L, Jiang D, Chen C, Yang X, Lei H, Kang Z, Huang H, Pang J. Development and validation of a multiparametric MRI-based radiomics signature for distinguishing between indolent and aggressive prostate cancer. Br J Radiol. 2022;95:20210191.  [RCA]  [PubMed]  [DOI]  [Full Text]  [Full Text (PDF)]  [Cited by in Crossref: 11]  [Cited by in RCA: 11]  [Article Influence: 2.8]  [Reference Citation Analysis (0)]
31.  Liu Y, Zheng H, Liang Z, Miao Q, Brisbane WG, Marks LS, Raman SS, Reiter RE, Yang G, Sung K. Textured-Based Deep Learning in Prostate Cancer Classification with 3T Multiparametric MRI: Comparison with PI-RADS-Based Classification. Diagnostics (Basel). 2021;11:1785.  [RCA]  [PubMed]  [DOI]  [Full Text]  [Full Text (PDF)]  [Cited by in Crossref: 28]  [Cited by in RCA: 19]  [Article Influence: 3.8]  [Reference Citation Analysis (0)]
32.  Hou Y, Bao ML, Wu CJ, Zhang J, Zhang YD, Shi HB. A radiomics machine learning-based redefining score robustly identifies clinically significant prostate cancer in equivocal PI-RADS score 3 lesions. Abdom Radiol (NY). 2020;45:4223-4234.  [RCA]  [PubMed]  [DOI]  [Full Text]  [Cited by in Crossref: 39]  [Cited by in RCA: 32]  [Article Influence: 5.3]  [Reference Citation Analysis (0)]
33.  Yang L, Jin P, Qian J, Qiao X, Bao J, Wang X. Value of a combined magnetic resonance imaging-based radiomics-clinical model for predicting extracapsular extension in prostate cancer: a preliminary study. Transl Cancer Res. 2023;12:1787-1801.  [RCA]  [PubMed]  [DOI]  [Full Text]  [Full Text (PDF)]  [Cited by in Crossref: 6]  [Cited by in RCA: 4]  [Article Influence: 1.3]  [Reference Citation Analysis (0)]
34.  Bevilacqua A, Mottola M, Ferroni F, Rossi A, Gavelli G, Barone D. The Primacy of High B-Value 3T-DWI Radiomics in the Prediction of Clinically Significant Prostate Cancer. Diagnostics (Basel). 2021;11:739.  [RCA]  [PubMed]  [DOI]  [Full Text]  [Full Text (PDF)]  [Cited by in Crossref: 19]  [Cited by in RCA: 17]  [Article Influence: 3.4]  [Reference Citation Analysis (0)]
35.  Chen T, Li M, Gu Y, Zhang Y, Yang S, Wei C, Wu J, Li X, Zhao W, Shen J. Prostate Cancer Differentiation and Aggressiveness: Assessment With a Radiomic-Based Model vs. PI-RADS v2. J Magn Reson Imaging. 2019;49:875-884.  [RCA]  [PubMed]  [DOI]  [Full Text]  [Full Text (PDF)]  [Cited by in Crossref: 116]  [Cited by in RCA: 105]  [Article Influence: 15.0]  [Reference Citation Analysis (0)]
36.  Fehr D, Veeraraghavan H, Wibmer A, Gondo T, Matsumoto K, Vargas HA, Sala E, Hricak H, Deasy JO. Automatic classification of prostate cancer Gleason scores from multiparametric magnetic resonance images. Proc Natl Acad Sci U S A. 2015;112:E6265-E6273.  [RCA]  [PubMed]  [DOI]  [Full Text]  [Full Text (PDF)]  [Cited by in Crossref: 336]  [Cited by in RCA: 287]  [Article Influence: 26.1]  [Reference Citation Analysis (0)]
37.  Algohary A, Viswanath S, Shiradkar R, Ghose S, Pahwa S, Moses D, Jambor I, Shnier R, Böhm M, Haynes AM, Brenner P, Delprado W, Thompson J, Pulbrock M, Purysko AS, Verma S, Ponsky L, Stricker P, Madabhushi A. Radiomic features on MRI enable risk categorization of prostate cancer patients on active surveillance: Preliminary findings. J Magn Reson Imaging.  2018.  [RCA]  [PubMed]  [DOI]  [Full Text]  [Full Text (PDF)]  [Cited by in Crossref: 97]  [Cited by in RCA: 89]  [Article Influence: 11.1]  [Reference Citation Analysis (0)]
38.  Zhang H, Li X, Zhang Y, Huang C, Wang Y, Yang P, Duan S, Mao N, Xie H. Diagnostic nomogram based on intralesional and perilesional radiomics features and clinical factors of clinically significant prostate cancer. J Magn Reson Imaging. 2021;53:1550-1558.  [RCA]  [PubMed]  [DOI]  [Full Text]  [Cited by in Crossref: 21]  [Cited by in RCA: 20]  [Article Influence: 4.0]  [Reference Citation Analysis (0)]
39.  Isaksson LJ, Raimondi S, Botta F, Pepa M, Gugliandolo SG, De Angelis SP, Marvaso G, Petralia G, De Cobelli O, Gandini S, Cremonesi M, Cattani F, Summers P, Jereczek-Fossa BA. Effects of MRI image normalization techniques in prostate cancer radiomics. Phys Med. 2020;71:7-13.  [RCA]  [PubMed]  [DOI]  [Full Text]  [Cited by in Crossref: 61]  [Cited by in RCA: 48]  [Article Influence: 8.0]  [Reference Citation Analysis (0)]
40.  Tanadini-Lang S, Bogowicz M, Veit-Haibach P, Huellner M, Pauli C, Shukla V, Guckenberger M, Riesterer O. Exploratory Radiomics in Computed Tomography Perfusion of Prostate Cancer. Anticancer Res. 2018;38:685-690.  [RCA]  [PubMed]  [DOI]  [Full Text]  [Cited by in Crossref: 8]  [Cited by in RCA: 15]  [Article Influence: 1.9]  [Reference Citation Analysis (0)]
41.  Bourbonne V, Fournier G, Vallières M, Lucia F, Doucet L, Tissot V, Cuvelier G, Hue S, Le Penn Du H, Perdriel L, Bertrand N, Staroz F, Visvikis D, Pradier O, Hatt M, Schick U. External Validation of an MRI-Derived Radiomics Model to Predict Biochemical Recurrence after Surgery for High-Risk Prostate Cancer. Cancers (Basel). 2020;12:814.  [RCA]  [PubMed]  [DOI]  [Full Text]  [Full Text (PDF)]  [Cited by in Crossref: 72]  [Cited by in RCA: 63]  [Article Influence: 10.5]  [Reference Citation Analysis (0)]
42.  Penzias G, Singanamalli A, Elliott R, Gollamudi J, Shih N, Feldman M, Stricker PD, Delprado W, Tiwari S, Böhm M, Haynes AM, Ponsky L, Fu P, Tiwari P, Viswanath S, Madabhushi A. Identifying the morphologic basis for radiomic features in distinguishing different Gleason grades of prostate cancer on MRI: Preliminary findings. PLoS One. 2018;13:e0200730.  [RCA]  [PubMed]  [DOI]  [Full Text]  [Full Text (PDF)]  [Cited by in Crossref: 52]  [Cited by in RCA: 46]  [Article Influence: 5.8]  [Reference Citation Analysis (0)]
43.  Jung J, Hong H, Kim YG, Hwang SI, Lee HJ.   Prediction of prostate cancer aggressiveness using quantitative radiomic features using multi-parametric MRI. In: Hahn HK, Mazurowski MA, editors. Medical Imaging 2020: Computer-Aided Diagnosis. United States: SPIE, 2020: 11314.  [PubMed]  [DOI]  [Full Text]
44.  Stoyanova R, Takhar M, Tschudi Y, Ford JC, Solórzano G, Erho N, Balagurunathan Y, Punnen S, Davicioni E, Gillies RJ, Pollack A. Prostate cancer radiomics and the promise of radiogenomics. Transl Cancer Res. 2016;5:432-447.  [RCA]  [PubMed]  [DOI]  [Full Text]  [Full Text (PDF)]  [Cited by in Crossref: 111]  [Cited by in RCA: 101]  [Article Influence: 10.1]  [Reference Citation Analysis (0)]
45.  Schieda N, Lim CS, Zabihollahy F, Abreu-Gomez J, Krishna S, Woo S, Melkus G, Ukwatta E, Turkbey B. Quantitative Prostate MRI. J Magn Reson Imaging. 2021;53:1632-1645.  [RCA]  [PubMed]  [DOI]  [Full Text]  [Cited by in Crossref: 54]  [Cited by in RCA: 47]  [Article Influence: 9.4]  [Reference Citation Analysis (0)]
46.  Ginsburg SB, Algohary A, Pahwa S, Gulani V, Ponsky L, Aronen HJ, Boström PJ, Böhm M, Haynes AM, Brenner P, Delprado W, Thompson J, Pulbrock M, Taimen P, Villani R, Stricker P, Rastinehad AR, Jambor I, Madabhushi A. Radiomic features for prostate cancer detection on MRI differ between the transition and peripheral zones: Preliminary findings from a multi-institutional study. J Magn Reson Imaging. 2017;46:184-193.  [RCA]  [PubMed]  [DOI]  [Full Text]  [Full Text (PDF)]  [Cited by in Crossref: 121]  [Cited by in RCA: 104]  [Article Influence: 11.6]  [Reference Citation Analysis (0)]
47.  Shiradkar R, Ghose S, Jambor I, Taimen P, Ettala O, Purysko AS, Madabhushi A. Radiomic features from pretreatment biparametric MRI predict prostate cancer biochemical recurrence: Preliminary findings. J Magn Reson Imaging. 2018;48:1626-1636.  [RCA]  [PubMed]  [DOI]  [Full Text]  [Full Text (PDF)]  [Cited by in Crossref: 120]  [Cited by in RCA: 115]  [Article Influence: 14.4]  [Reference Citation Analysis (0)]
48.  Zhang ST, Qi YF, Wei JW, Niu JX, Gu DS, Han YQ, Hao XH, Zang YL, Tian J.   Radiomics analysis potentially reduces over-diagnosis of prostate cancer with PSA levels of 4-10 ng/ml based on DWI data. In: Medical Imaging 2019: Computer-Aided Diagnosis. United States: SPIE, 2019.  [PubMed]  [DOI]  [Full Text]
49.  Toivonen J, Montoya Perez I, Movahedi P, Merisaari H, Pesola M, Taimen P, Boström PJ, Pohjankukka J, Kiviniemi A, Pahikkala T, Aronen HJ, Jambor I. Radiomics and machine learning of multisequence multiparametric prostate MRI: Towards improved non-invasive prostate cancer characterization. PLoS One. 2019;14:e0217702.  [RCA]  [PubMed]  [DOI]  [Full Text]  [Full Text (PDF)]  [Cited by in Crossref: 100]  [Cited by in RCA: 86]  [Article Influence: 12.3]  [Reference Citation Analysis (0)]
50.  Damascelli A, Gallivanone F, Cristel G, Cava C, Interlenghi M, Esposito A, Brembilla G, Briganti A, Montorsi F, Castiglioni I, De Cobelli F. Advanced Imaging Analysis in Prostate MRI: Building a Radiomic Signature to Predict Tumor Aggressiveness. Diagnostics (Basel). 2021;11:594.  [RCA]  [PubMed]  [DOI]  [Full Text]  [Full Text (PDF)]  [Cited by in Crossref: 30]  [Cited by in RCA: 28]  [Article Influence: 5.6]  [Reference Citation Analysis (0)]
51.  Niu XK, Chen ZF, Chen L, Li J, Peng T, Li X. Clinical Application of Biparametric MRI Texture Analysis for Detection and Evaluation of High-Grade Prostate Cancer in Zone-Specific Regions. AJR Am J Roentgenol. 2018;210:549-556.  [RCA]  [PubMed]  [DOI]  [Full Text]  [Cited by in Crossref: 41]  [Cited by in RCA: 42]  [Article Influence: 5.3]  [Reference Citation Analysis (0)]
52.  Peng T, Xiao J, Li L, Pu B, Niu X, Zeng X, Wang Z, Gao C, Li C, Chen L, Yang J. Can machine learning-based analysis of multiparameter MRI and clinical parameters improve the performance of clinically significant prostate cancer diagnosis? Int J Comput Assist Radiol Surg. 2021;16:2235-2249.  [RCA]  [PubMed]  [DOI]  [Full Text]  [Full Text (PDF)]  [Cited by in Crossref: 20]  [Cited by in RCA: 17]  [Article Influence: 3.4]  [Reference Citation Analysis (0)]
53.  Xiong H, He X, Guo D. Value of MRI texture analysis for predicting high-grade prostate cancer. Clin Imaging. 2021;72:168-174.  [RCA]  [PubMed]  [DOI]  [Full Text]  [Cited by in Crossref: 13]  [Cited by in RCA: 11]  [Article Influence: 2.2]  [Reference Citation Analysis (0)]
54.  Lambin P, Leijenaar RTH, Deist TM, Peerlings J, de Jong EEC, van Timmeren J, Sanduleanu S, Larue RTHM, Even AJG, Jochems A, van Wijk Y, Woodruff H, van Soest J, Lustberg T, Roelofs E, van Elmpt W, Dekker A, Mottaghy FM, Wildberger JE, Walsh S. Radiomics: the bridge between medical imaging and personalized medicine. Nat Rev Clin Oncol. 2017;14:749-762.  [RCA]  [PubMed]  [DOI]  [Full Text]  [Cited by in Crossref: 4684]  [Cited by in RCA: 4023]  [Article Influence: 447.0]  [Reference Citation Analysis (0)]
Footnotes

Peer review: Externally peer reviewed.

Peer-review model: Single blind

Specialty type: Radiology, nuclear medicine and medical imaging

Country of origin: China

Peer-review report’s classification

Scientific quality: Grade A

Novelty: Grade A

Creativity or innovation: Grade A

Scientific significance: Grade A

P-Reviewer: Zhou M, MD, Researcher, China S-Editor: Hu XY L-Editor: A P-Editor: Zhang L