Copyright
©The Author(s) 2026.
World J Radiol. Jan 28, 2026; 18(1): 113747
Published online Jan 28, 2026. doi: 10.4329/wjr.v18.i1.113747
Published online Jan 28, 2026. doi: 10.4329/wjr.v18.i1.113747
Figure 1 Flowchart of whole-body computed tomography use in trauma patients: Clinical decision pathway and radiological outcomes.
ED: Effective dose; ER: Emergency room; WBCT: Whole-body computed tomography.
Figure 2 Subset trauma classifications and the rate of indications.
FFH: Fall from height; RTA: Road traffic accident.
Figure 3 Anatomical body regions affected according to whole-body computed tomography.
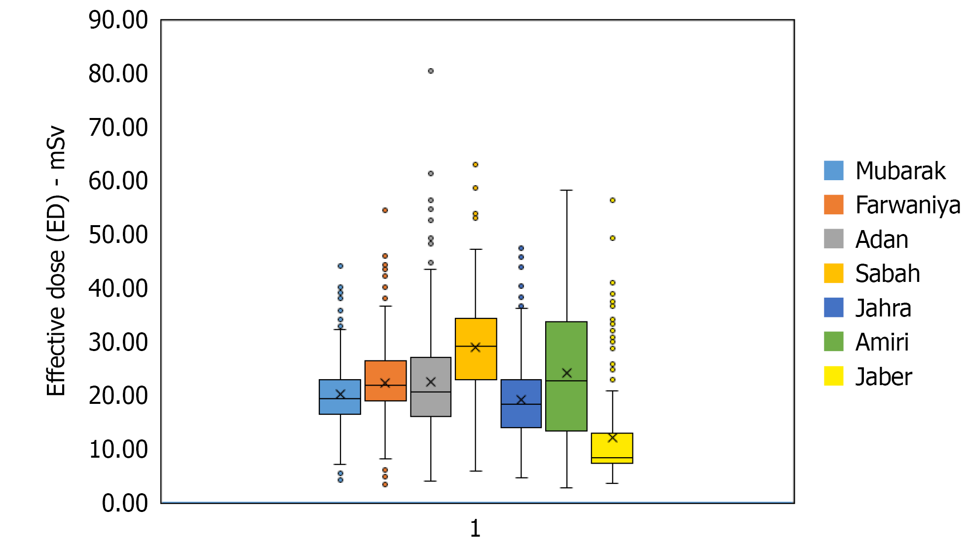
Figure 4 Box plot comparing whole-body computed tomography effective dose across each radiology department, showing the overall pattern of dose distribution.
- Citation: Al-Kandari L, Masoomi MA, El-Gargani AA, Hamza MA, Agha RM. Rationalizing whole-body computed tomography in trauma: A national audit on resource utilization and strategies to minimize radiation exposure. World J Radiol 2026; 18(1): 113747
- URL: https://www.wjgnet.com/1949-8470/full/v18/i1/113747.htm
- DOI: https://dx.doi.org/10.4329/wjr.v18.i1.113747
