BPG is committed to discovery and dissemination of knowledge
Retrospective Study Open Access
Copyright ©The Author(s) 2025. Published by Baishideng Publishing Group Inc. All rights reserved.
World J Gastrointest Surg. Dec 27, 2025; 17(12): 111003
Published online Dec 27, 2025. doi: 10.4240/wjgs.v17.i12.111003
Prediction model for the occurrence of acute pancreatitis after endoscopic retrograde cholangiopancreatography based on multidimensional indicators
Xun-Xun Cao, Min Sun, Department of Gastroenterology, The Affiliated Hospital of Xuzhou Medical University, Xuzhou 221000, Jiangsu Province, China
ORCID number: Xun-Xun Cao (0009-0002-7539-2419); Min Sun (0009-0008-8344-1798).
Author contributions: Cao XX conceived the project, acquired and analyzed data, and wrote the manuscript; Sun M designed the study and edited and critically revised the manuscript; and all authors contributed to the article and approved the submitted version.
Institutional review board statement: This study was reviewed and approved by the Institutional Review Board of the Affiliated Hospital of Xuzhou Medical University, No. XYFY2023-KL375-01.
Informed consent statement: Due to the retrospective nature of the study, the Ethics Committee approved the waiver of informed consent.
Conflict-of-interest statement: All the authors report no relevant conflicts of interest for this article.
Data sharing statement: The original anonymous dataset is available upon request from the corresponding author.
Open Access: This article is an open-access article that was selected by an in-house editor and fully peer-reviewed by external reviewers. It is distributed in accordance with the Creative Commons Attribution NonCommercial (CC BY-NC 4.0) license, which permits others to distribute, remix, adapt, build upon this work non-commercially, and license their derivative works on different terms, provided the original work is properly cited and the use is non-commercial. See: https://creativecommons.org/Licenses/by-nc/4.0/
Corresponding author: Min Sun, Associate Professor, Department of Gastroenterology, The Affiliated Hospital of Xuzhou Medical University, No. 99 Huaihai West Road, Xuzhou 221000, Jiangsu Province, China. sunminnt820919@163.com
Received: June 24, 2025
Revised: July 28, 2025
Accepted: October 20, 2025
Published online: December 27, 2025
Processing time: 184 Days and 1.4 Hours

Abstract
BACKGROUND

Post-endoscopic retrograde cholangiopancreatography (ERCP) pancreatitis is a common complication of the procedure. The effective prevention of post-ERCP pancreatitis (PEP) remains a key focus of clinical research.

AIM

To develop a prediction model for PEP based on multidimensional clinical indicators and evaluate its clinical application value.

METHODS

We retrospectively analyzed 183 patients with biliary tract diseases who underwent ERCP at Xuzhou Medical University from January 2020 to June 2023, divided into non-PEP (n = 159) and PEP (n = 24) groups based on PEP development. Baseline and intraoperative data were compared, and PEP-related factors examined via univariate and multivariate logistic regression. Using R, 70% of patients were assigned to training and 30% to testing sets for PEP prediction model development. Model accuracy was evaluated using a calibration curve and receiver operating characteristic (ROC) area under the curve (AUC).

RESULTS

Age, total cholesterol level, history of pancreatitis, pancreatic ductography, bleeding, and intubation time differed significantly between the two groups when baseline data and intraoperative conditions were compared (P < 0.05). Multifactorial logistic regression analysis demonstrated that age [odds ratio (OR) = 0.192, 95% confidence interval (CI): 0.053-0.698], total cholesterol (OR = 0.324, 95%CI: 0.152-0.694), history of pancreatitis (OR = 6.159, 95%CI: 1.770-21.434), pancreatography (OR = 3.726, 95%CI: 1.028-13.507), and bleeding (OR = 3.059, 95%CI: 1.001-9.349) were independently associated with acute pancreatitis after ERCP. The predictive probabilities from the calibration curves had mean errors of 0.021 and 0.030, with ROC AUCs of 0.840 and 0.797 in the training and test sets, respectively.

CONCLUSION

Age, total cholesterol, pancreatitis history, pancreatic ductography, and bleeding influence the risk of acute PEP. A model incorporating these factors may aid early detection and intervention.

Key Words: Pancreatitis; Multidimensional indicators; Endoscopic retrograde cholangiopancreatography; Model prediction; Logistic regression; Pancreatic ductography

Core Tip: A predictive model of acute post-endoscopic retrograde cholangiopancreatography pancreatitis (PEP) was constructed based on age, total cholesterol, history of pancreatitis, pancreatic ductography, and bleeding. Its application in clinical settings allows for targeted and prophylactic treatments for different patients and reduces the risk of PEP in patients.



INTRODUCTION

Endoscopic retrograde cholangiopancreatography (ERCP) is an essential clinical tool for identifying and managing biliary and pancreatic diseases in China[1]. With the advancement and the widespread adoption of ERCP technology, notable changes have occurred in ERCP practices, timing of intervention, and perioperative management[2]. ERCP has demonstrated promising clinical efficacy in removing extrahepatic gallstones and relieving obstructive jaundice[3-5]. Significant complications of ERCP as an invasive procedure include acute pancreatitis, cholangitis/septicemia, hemorrhage, and bowel perforation[6]. Among these, the incidence of acute pancreatitis ranges from 1.6% to 15%[7], and it is one of the most common postoperative complications. While most cases of post-ERCP pancreatitis (PEP) are mild to moderate, approximately 1.5% are severe, and the overall mortality associated with PEP is approximately 3%[8]. Evidence suggests that the occurrence of PEP is influenced by patient-related and surgical-related factors, among others[9]. Its treatment often involves significant healthcare resources and may require prolonged hospitalization[10]. Therefore, early prediction of acute PEP is crucial for preventing and reducing patients' risk of post-operative pancreatitis. Although the risk factors for developing PEP after ERCP have been analyzed, the relevant study focused only on prophylactic pancreatic stenting and rectal indomethacin, without considering other influencing factors[11].

This study developed a PEP prediction model using multidimensional indicators through univariate and multivariate logistic regression analyses. The model’s clinical application value was assessed to facilitate early warning of acute pancreatitis in patients developing the condition after EPCR, aiding effective clinical treatment and intervention.

MATERIALS AND METHODS
General information

We retrospectively analyzed 183 patients (108 men and 75 women) with biliary tract disease admitted to the Affiliated Hospital of Xuzhou Medical University between January 2020 and June 2023. They were categorized into two groups based on post-ERCP pancreatitis: The non-PEP group (n = 159) and the PEP group (n = 24), with an overall incidence rate of 13.11%.

Inclusion criteria: Patients who underwent ERCP surgery. Patients whose clinical features were consistent with the Chinese ERCP guidelines (2018) edition, and the diagnosis of PEP was confirmed if any two were met: (1) Typical abdominal pain symptoms; (2) Serum amylase and lipase exceeding three times the upper limit of normal for 24 hours after ERCP surgery; and (3) Computed tomography findings suggestive of pancreatitis. Patients with complete clinical data.

Exclusion criteria: (1) Presence of malignant tumors of the bile duct and pancreas; (2) Incomplete duodenal papillae; and (3) Pancreatitis within 1 week before surgery.

This study was reviewed and approved by the Institutional Review Board of the Affiliated Hospital of Xuzhou Medical University.

Data collection

Baseline data and surgical indices of the patients were collected, including age, sex, body mass index, history of pancreatitis, history of hypertension, total cholesterol (TC), low-density lipoprotein (LDL), high-density lipoprotein (HDL), triglyceride (TG) levels, choledochal dilatation, duodenal papillary sphincter dissection, pancreatic ductography, deeper penetration of the guidewire into the pancreatic duct, bleeding, number of intubations, and duration of intubation.

Statistical analysis

Statistical analyses were performed using SPSS version 27.0 and R version 4.4.2. Continuous variables with a normal distribution are presented as mean ± SD, and the independent samples t-test was used to compare groups. Count data are represented as [n (%)], and the χ2 test was used to compare groups. Multifactor logistic regression analysis was used to screen for independent influencing factors of post-ERCP pancreatitis, and the difference was considered statistically significant (P < 0.05). For predictive modeling, 70% of the data were randomly selected as the training set to establish the column-line diagram model of post-ERCP pancreatitis. The test set consisted of the remaining 30% of the data. Calibration curves of the column-line diagram prediction were plotted to evaluate the consistency of the model, and the receiver operating characteristic (ROC) curves of the model prediction were plotted. The ability of the column-line diagram model to forecast post-ERCP pancreatitis was evaluated using the area under the curve (AUC).

RESULTS
Clinical characteristics

The findings of this study demonstrated substantial differences between the two groups regarding age, history of pancreatitis, and TC levels (P < 0.05), while sex, history of hypertension, LDL-C, HDL-C, and TG levels were not significantly different (P > 0.05) (Table 1).

Table 1 Comparison of the two groups' baseline data, n (%).
Baseline data
PEP group (n = 24)
Non-PEP group (n = 159)
|t|/χ2
P value
Age, years4.7680.029
    < 6013 (54.17)50 (31.45)
    ≥ 6011 (45.83)109 (68.55)
Sex (male/female)10 (41.67)/14 (58.33)98 (62.26)/61 (37.73)3.4380.064
History of pancreatitis (yes/no)9 (37.50)/15 (62.50)13 (8.18)/146 (91.82)16.953< 0.01
History of hypertension (yes/no)4 (16.67)/20 (83.33)33 (20.75)/126 (79.25)0.2160.642
TC (mmol/L)3.84 ± 0.744.19 ± 0.792.0720.040
LDL (mmol/L)2.67 ± 0.542.61 ± 0.560.5000.618
HDL (mmol/L)1.34 ± 0.341.31 ± 0.300.4790.633
TG (mmol/L)1.74 ± 0.681.65 ± 0.590.7040.483
Intraoperative situation

The results indicated that there was a noteworthy variation in pancreatic ductography, bleeding, and intubation time in the two groups (P < 0.05), while there was no discernible variation in choledochal dilatation, duodenal papillary sphincter dissection, deep guidewire penetration into the pancreatic duct, and the number of intubations (P > 0.05) (Table 2).

Table 2 Intraoperative conditions comparison between the two groups, n (%).
Intraoperative situations
PEP group (n = 24)
Non-PEP group (n = 159)
|t|/χ2
P value
Choledochal dilatation (yes/no)4 (16.67)/20 (83.33)19 (11.95)/140 (88.05)0.4220.516
Duodenal papillary sphincter dissection (yes/no)19 (79.17)/5 (20.83)116 (72.96)/43 (27.04)0.4160.519
Pancreatic ductography (yes/no)7 (29.17)/17 (70.83)19 (11.95)/138 (86.79)4.9280.026
Deeper penetration of the guidewire into the pancreatic duct (yes/no)11 (45.83)/13 (54.17)64 (40.25)/95 (59.75)0.2690.604
Bleeding (yes/no)12 (50.00)/12 (50.00)23 (14.47)/136 (85.53)17.023< 0.01
Intubation number3.2880.070
    < 317136
    ≥ 3723
Intubation time, minutes5.0020.025
    < 10961
    ≥ 101598
Single-factor logistic regression assessing PEP determinants

Based on the previously identified variables that differ significantly between groups (age, TC level, history of pancreatitis, pancreatic ductography, bleeding, and time to intubation), univariate regression analysis was performed to analyze their association with PEP (Table 3). The findings revealed significant variations in age, TC, history of pancreatitis, pancreatic ductography, and bleeding across the groups (P < 0.05), while intubation duration showed no significant variation (P > 0.05).

Table 3 Univariate logistic regression to analyze the influence of post-endoscopic retrograde cholangiopancreatography pancreatitis.

β
SE
OR
95%CI
P value
Age-0.9460.4440.3880.163, 0.9260.033
TC-1.1110.3240.3290.174, 0.622< 0.01
History of pancreatitis1.9950.5187.3502.665, 20.271< 0.01
Pancreatic ductography1.1100.5113.0341.114, 8.2650.030
Bleeding1.7770.4665.9132.370, 14.750< 0.01
Intubation time0.0370.4521.0370.428, 2.5160.935
Multi-factor logistic regression assessing PEP determinants

In the multivariate regression, significant univariate factors (P < 0.05) were included (Table 4). The results showed that patients' age, TC level, history of pancreatitis, pancreatic ductography, and bleeding significantly differed (P < 0.05) and were important factors affecting PEP.

Table 4 Multifactor logistic regression to analyse the influence of post-endoscopic retrograde cholangiopancreatography pancreatitis.

β
SE
OR
95%CI
P value
Age-1.6500.6580.1920.053, 0.6980.012
TC-1.1260.3880.3240.152, 0.6940.004
History of pancreatitis1.8180.6366.1591.770, 21.4340.004
Pancreatic ductography1.3150.6573.7261.028, 13.5070.045
Bleeding1.1180.5703.0591.001, 9.3490.049
Construction of a predictive model for PEP

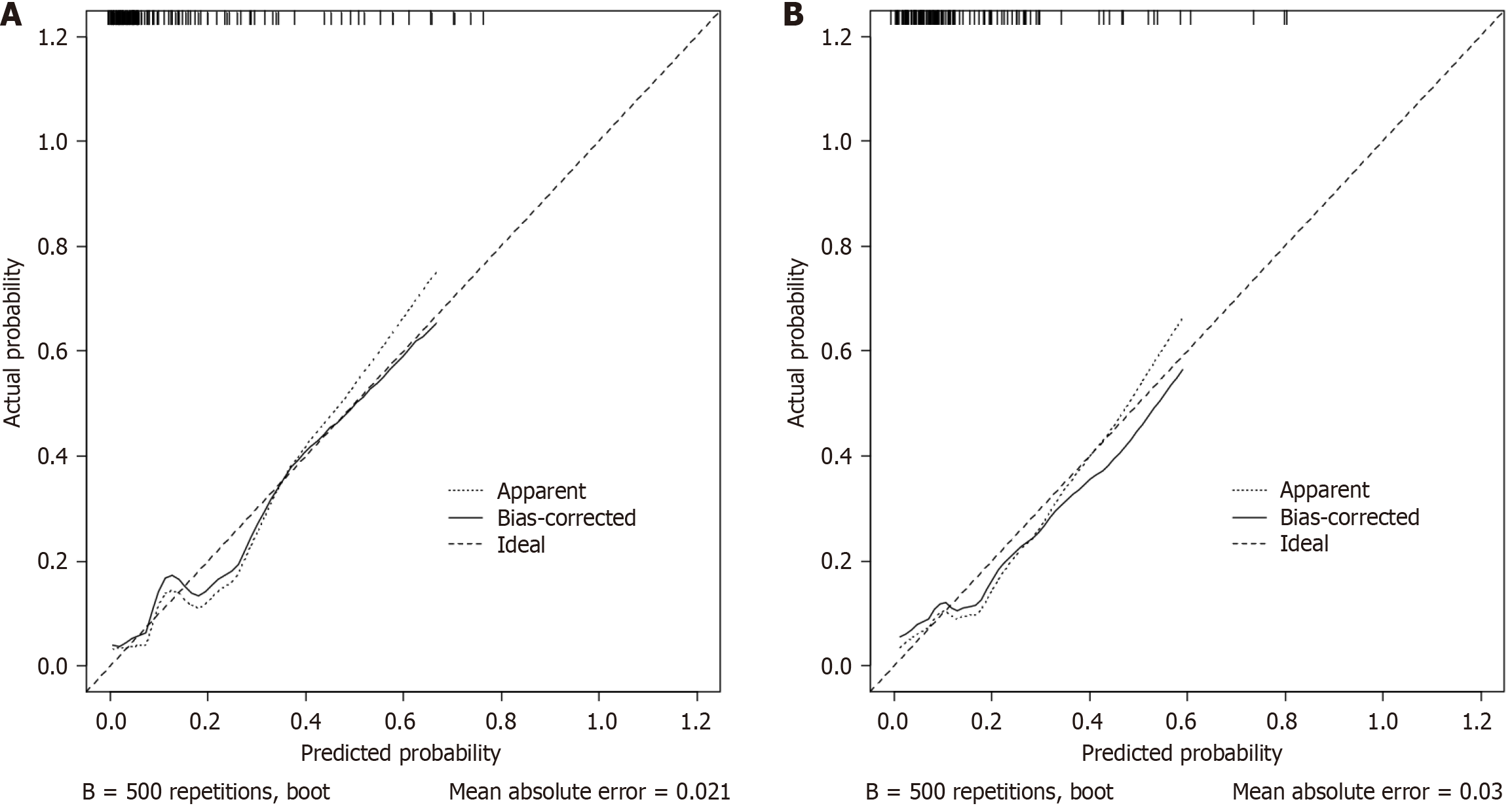
A column-line graph containing the five significant indicators was developed using the findings of the multifactor logistic regression analysis (Figure 1). A score was assigned to each influential factor, and the probability of PEP was determined based on the total score for all factors. The mean prediction errors of the calibration curves for the model's training and test sets were 0.021 and 0.030, respectively, indicating that the agreement between the model's predicted probabilities and the actual values was good (Figure 2).

Figure 1
Figure 1 Prediction of post-endoscopic retrograde cholangiopancreatography pancreatitis columnar plot. TC: Total cholesterol.
Figure 2
Figure 2 Column line graph calibration curves. A: Train set calibration curves; B: Test set calibration curves.
ROC curve

The ROC curves of the model predicting PEP were plotted (Figure 3). The AUC for the training set was 0.840 (95%CI: 0.746-0.961), and the AUC for the test set was 0.797 (95%CI: 0.667-0.928).

Figure 3
Figure 3 Receiver operating characteristic curve. A: Train set; B: Test set. AUC: Area under the receiver operating characteristic curve; CI: Confidence interval.
External validation

Ninety-two patients with biliary tract disorders admitted to our hospital from July 2023 to December 2024 were selected, and their data on age, TC, history of pancreatitis, pancreatic ductography, and bleeding were collected for external validation. The confusion matrix's accuracy, sensitivity, specificity, and precision were 89.13%, 76.19%, 92.96%, and 76.19%, respectively (Table 5).

Table 5 External validation of the model.
Predict
Actual
Total
PEP
Non-PEP
PEP16521
Non-PEP56671
Total217192
DISCUSSION

PEP is a common complication of post-ERCP, and it significantly increases the risk of poor postoperative outcomes and mortality[12,13]. Consequently, the prevention and early intervention of PEP is vital. PEP is influenced by various factors, including individual patient differences, intraoperative practices, enzymatic damage, and many other clinical characteristics[14]. In this study, we examined the factors influencing the incidence of PEP after ERCP. We constructed a prediction model to provide data references for early warning and the creation of effective therapeutic interventions and treatments. This study compared the baseline data and surgical indices of patients who developed and those who did not develop PEP after ERCP. The findings revealed significant variations in age, TC, history of pancreatitis, pancreatic ductography findings, bleeding, and time to intubation (P < 0.05). Single-factor and multi-factor logistic regression analyses were performed on these six indicators, which revealed that patient age, TC, history of pancreatitis, pancreatic ductography, and bleeding were independently associated with the occurrence of acute pancreatitis after ERCP (odds ratio = 0.192, 0.324, 6.159, 3.726, 3.059). This is consistent with the results of previous studies[15-17]. It has been shown that in mild pancreatic damage, the body is subjected to stress, leading to an increase in pancreatic fluid secretion, which in turn aggravates pancreatic damage, and that pancreatic exocrine function decreases progressively with age[18]. Thus, people under 60 years of age have a much higher prevalence of PEP than people over 60[19,20]. High or low TC levels may be associated with the development of acute pancreatitis[21]. However, in the current investigation, the TC levels of patients with PEP were substantially lower than those in the non-PEP group (P < 0.05). Pancreaticobiliary ductography visualizes the pancreaticobiliary duct on X-ray by injecting a contrast medium into the pancreaticobiliary duct. However, the injection of the contrast medium increases the pressure in the pancreatic duct, which leads to reflux of pancreatic fluid and increases the likelihood of PEP[22,23]. One of the most dangerous side effects of ERCP is bleeding, particularly after stenosis dilatation, biliary biopsy, and ablation treatment, with an incidence of approximately 0.3% to 2%. Types of bleeding include early bleeding, which happens during the procedure, and delayed bleeding, which occurs hours or weeks after the procedure[24,25].

Timely assessment of the risk of pancreatitis after ERCP can significantly improve clinical outcomes and provide better postoperative care for patients. Timely assessment can also enhance the prediction of patients at high risk of complications following surgery and facilitates preventive interventions in advance, thereby reducing the probability of adverse complications and significantly improving patients' postoperative recovery and survival rates[26-28]. A previous study developed and validated a predictive model for PEP following the implantation of a biliary stent for malignant biliary obstruction and found that the AUCs for prediction and validation of the model were 0.810 and 0.781, respectively. This showed that the model had a good predictive performance[29]. However, this study was limited to malignant biliary obstruction cases and lacks generalizability to other cases of PEP. Based on this, the present study constructed a PEP prediction model using multidimensional indicators, aiming to facilitate clinical identification of patients at high risk of post-operative PEP and enable early preventive interventions to reduce its incidence. This approach may effectively improve the post-operative recovery speed and reduce patients' medical burden. The prediction model constructed in this study fits well, and the average errors between the prediction probability and the actual value of the calibration curves of the training and test sets were 0.021 and 0.030, respectively. The AUCs of the model's prediction and validation were 0.840 and 0.797, respectively, indicating that the prediction model has a good predictive performance and clinical value.

This study developed a PEP prediction model based on multidimensional indicators using unifactorial and multifactorial logistic regression analyses. It evaluated the model’s effectiveness in identifying high-risk patients in clinical practice and provided insights for developing effective early interventions and treatments. However, the study's generalizability is limited, as it was a single-center, retrospective study with a small sample size and did not account for unmeasured confounding. Future validation should include controlling for unmeasured confounders and conducting multicenter, prospective studies.

CONCLUSION

This study found that age, pancreatitis, TC, pancreatic ductography, and bleeding are independent risk factors for PEP after ERCP. The model we developed can assist clinicians in evaluating a patient's risk of PEP, enabling early prevention and treatment strategies that may significantly lower the incidence of PEP and improve postoperative quality of life and survival outcomes.

Footnotes

Provenance and peer review: Unsolicited article; Externally peer reviewed.

Peer-review model: Single blind

Specialty type: Gastroenterology and hepatology

Country of origin: China

Peer-review report’s classification

Scientific Quality: Grade B

Novelty: Grade C

Creativity or Innovation: Grade B

Scientific Significance: Grade C

P-Reviewer: Rhodin KE, Associate Professor, United States S-Editor: Li L L-Editor: A P-Editor: Zhao YQ

References
1.  Zhang B, Lang Z, Zhang L, Gao B, Wang Y, Liu Y. Comparison of intratracheal intubation or not during endoscopic retrograde cholangiopancreatography: a meta-analysis and systematic review. Eur J Med Res. 2025;30:285.  [RCA]  [PubMed]  [DOI]  [Full Text]  [Full Text (PDF)]  [Cited by in RCA: 1]  [Reference Citation Analysis (0)]
2.  Lu CC, Tung CF, Peng YC, Liao YJ, Tsai HJ, Yang SS, Chen CC. Risk factors of early dysfunction after switching from plastic to metal stents in malignant extrahepatic biliary obstruction. J Chin Med Assoc. 2025;88:451-460.  [RCA]  [PubMed]  [DOI]  [Full Text]  [Full Text (PDF)]  [Cited by in Crossref: 1]  [Cited by in RCA: 1]  [Article Influence: 1.0]  [Reference Citation Analysis (0)]
3.  S S, A M, S S, A MA, K D. Management of Mirizzi Syndrome Type I: A Case Report. Cureus. 2025;17:e80799.  [RCA]  [PubMed]  [DOI]  [Full Text]  [Cited by in RCA: 1]  [Reference Citation Analysis (0)]
4.  Sun MH, Shen HZ, Jin HB, Yang JF, Zhang XF. Efficacy and safety of early pancreatic duct stenting for unresectable pancreatic cancer: A randomized controlled trial. World J Gastrointest Oncol. 2025;17:103311.  [RCA]  [PubMed]  [DOI]  [Full Text]  [Full Text (PDF)]  [Cited by in RCA: 1]  [Reference Citation Analysis (0)]
5.  Jeong HT, Han J. Optimal timing for discontinuation of ERCP in cases of difficult selective biliary cannulation. Endosc Int Open. 2025;13:a25368241.  [RCA]  [PubMed]  [DOI]  [Full Text]  [Full Text (PDF)]  [Cited by in RCA: 1]  [Reference Citation Analysis (0)]
6.  Pekgöz M. Post-endoscopic retrograde cholangiopancreatography pancreatitis: A systematic review for prevention and treatment. World J Gastroenterol. 2019;25:4019-4042.  [RCA]  [PubMed]  [DOI]  [Full Text]  [Full Text (PDF)]  [Cited by in CrossRef: 34]  [Cited by in RCA: 53]  [Article Influence: 7.6]  [Reference Citation Analysis (0)]
7.  Perisetti A, Goyal H, Sharma N. Clinical safety and outcomes of glucagon use during endoscopic retrograde cholangiopancreatography (ERCP). Endosc Int Open. 2022;10:E558-E561.  [RCA]  [PubMed]  [DOI]  [Full Text]  [Full Text (PDF)]  [Cited by in Crossref: 1]  [Cited by in RCA: 5]  [Article Influence: 1.3]  [Reference Citation Analysis (0)]
8.  Arabpour E, Azarboo A, Pouladi A, Mozafari Komesh-Tape P, Eshlaghi FM, Golmoradi H, Ghaseminejad-Raeini A, Sadeghi A, Zali MR. A network meta-analysis of optimal strategies for preventing post-endoscopic retrograde cholangiopancreatography pancreatitis. Sci Rep. 2025;15:13702.  [RCA]  [PubMed]  [DOI]  [Full Text]  [Cited by in RCA: 8]  [Reference Citation Analysis (0)]
9.  Maharshi S, Sharma SS. Early precut versus primary precut sphincterotomy to reduce post-ERCP pancreatitis: randomized controlled trial (with videos). Gastrointest Endosc. 2021;93:586-593.  [RCA]  [PubMed]  [DOI]  [Full Text]  [Cited by in Crossref: 36]  [Cited by in RCA: 38]  [Article Influence: 7.6]  [Reference Citation Analysis (0)]
10.  Thiruvengadam NR, Saumoy M, Schneider Y, Attala S, Triggs J, Lee P, Kochman ML. A Cost-Effectiveness Analysis for Post-Endoscopic Retrograde Cholangiopancreatography Pancreatitis Prophylaxis in the United States. Clin Gastroenterol Hepatol. 2022;20:216-226.e42.  [RCA]  [PubMed]  [DOI]  [Full Text]  [Cited by in Crossref: 4]  [Cited by in RCA: 27]  [Article Influence: 6.8]  [Reference Citation Analysis (0)]
11.  Ghalehnoei H, Hormati A, Mohammad Alizadeh AH, Ahmadpour S, Abedi SH. Patient-related post-ERCP pancreatitis (PEP) risk factors between two groups of patients: Prophylactic pancreatic stent and rectal indomethacin. Caspian J Intern Med. 2022;13:728-734.  [RCA]  [PubMed]  [DOI]  [Full Text]  [Cited by in RCA: 1]  [Reference Citation Analysis (0)]
12.  Akshintala VS, Sperna Weiland CJ, Bhullar FA, Kamal A, Kanthasamy K, Kuo A, Tomasetti C, Gurakar M, Drenth JPH, Yadav D, Elmunzer BJ, Reddy DN, Goenka MK, Kochhar R, Kalloo AN, Khashab MA, van Geenen EJM, Singh VK. Non-steroidal anti-inflammatory drugs, intravenous fluids, pancreatic stents, or their combinations for the prevention of post-endoscopic retrograde cholangiopancreatography pancreatitis: a systematic review and network meta-analysis. Lancet Gastroenterol Hepatol. 2021;6:733-742.  [RCA]  [PubMed]  [DOI]  [Full Text]  [Cited by in Crossref: 60]  [Cited by in RCA: 59]  [Article Influence: 11.8]  [Reference Citation Analysis (0)]
13.  Radetic M, Ladna M, Shen S, Daneshmand A, Seoud T, Dixit D, Qumseya A, Novikov A, Qumseya B. Risk of post-endoscopic retrograde cholangiopancreatography pancreatitis due to placement of biliary self-expandable metal stents: a single-center retrospective study. Gastrointest Endosc. 2025;102:682-689.  [RCA]  [PubMed]  [DOI]  [Full Text]  [Cited by in Crossref: 4]  [Cited by in RCA: 5]  [Article Influence: 5.0]  [Reference Citation Analysis (0)]
14.  Cozma MA, Angelescu C, Haidar A, Mateescu RB, Diaconu CC. Incidence, Risk Factors, and Prevention Strategies for Post-ERCP Pancreatitis in Patients with Biliopancreatic Disorders and Acute Cholangitis: A Study from a Romanian Tertiary Hospital. Biomedicines. 2025;13:727.  [RCA]  [PubMed]  [DOI]  [Full Text]  [Cited by in RCA: 3]  [Reference Citation Analysis (0)]
15.  Sabrie N, Minhas G, Vaska M, Meng ZW, Brenner DR, Forbes N. Performance of Clinical Risk Prediction Models for Post-ERCP Pancreatitis: A Systematic Review. Pancreas. 2025;54:e588-e595.  [RCA]  [PubMed]  [DOI]  [Full Text]  [Cited by in RCA: 4]  [Reference Citation Analysis (0)]
16.  Saeed A, Yousuf S, Khan MA, Gangwani MK, Aziz M, Arnab R, Shah J, Kumar A, Schlachterman A, Kowalski T, Kamal F. Biliary stenting with and without endoscopic sphincterotomy in patients with malignant biliary obstruction: meta-analysis of randomized controlled trials. Eur J Gastroenterol Hepatol. 2025;37:257-262.  [RCA]  [PubMed]  [DOI]  [Full Text]  [Cited by in RCA: 1]  [Reference Citation Analysis (0)]
17.  Tintara S, Buxbaum J. Updates in Post-Endoscopic Retrograde Cholangiopancreatography Pancreatitis. Gastroenterol Clin North Am. 2025;54:97-112.  [RCA]  [PubMed]  [DOI]  [Full Text]  [Cited by in RCA: 1]  [Reference Citation Analysis (0)]
18.  Akazawa Y, Ohtani M, Nosaka T, Takahashi K, Naito T, Matsuda H, Nakamoto Y. Usefulness of pancreatic volume quantitative analysis as a predictor of development and severity of post-endoscopic retrograde cholangiopancreatography pancreatitis. Pancreatology. 2024;24:698-705.  [RCA]  [PubMed]  [DOI]  [Full Text]  [Cited by in RCA: 2]  [Reference Citation Analysis (0)]
19.  Beran A, Aboursheid T, Ali AH, Nayfeh T, Albunni H, Vargas A, Mohamed MF, Elfert K, Shaear M, Obaitan I, Saleem N, Ahmed A, Gromski MA, DeWitt JM, Al-Haddad M, Watkins JL, Fogel E, Easler JJ. Predictors of Post-endoscopic Retrograde Cholangiopancreatography Pancreatitis: A Comprehensive Systematic Review and Meta-analysis. Clin Gastroenterol Hepatol. 2025;23:1905-1916.  [RCA]  [PubMed]  [DOI]  [Full Text]  [Cited by in Crossref: 8]  [Cited by in RCA: 10]  [Article Influence: 10.0]  [Reference Citation Analysis (0)]
20.  Forslund A, Haraldsson E, Holmberg E, Naredi P, Rizell M. Risks and use of ERCP during the diagnostic workup in a national cohort of biliary cancer. Surg Endosc. 2025;39:991-1001.  [RCA]  [PubMed]  [DOI]  [Full Text]  [Cited by in RCA: 2]  [Reference Citation Analysis (0)]
21.  Hong W, Zimmer V, Basharat Z, Zippi M, Stock S, Geng W, Bao X, Dong J, Pan J, Zhou M. Association of total cholesterol with severe acute pancreatitis: A U-shaped relationship. Clin Nutr. 2020;39:250-257.  [RCA]  [PubMed]  [DOI]  [Full Text]  [Cited by in Crossref: 29]  [Cited by in RCA: 30]  [Article Influence: 5.0]  [Reference Citation Analysis (0)]
22.  Sperna Weiland CJ, Akshintala VS, Singh A, Buxbaum J, Choi JH, Elmunzer BJ, Fogel ES, Lai JH, Levenick JM, Gardner TB, Lua GW, Luo H, de Jong M, Mok SRS, Phillip V, Singh V, Siersema PD, Drenth JPH, van Geenen EJM. Preventive Measures and Risk Factors for Post-ERCP Pancreatitis: A Systematic Review and Individual Patient Data Meta-Analysis. Dig Dis Sci. 2024;69:4476-4488.  [RCA]  [PubMed]  [DOI]  [Full Text]  [Full Text (PDF)]  [Cited by in RCA: 16]  [Reference Citation Analysis (0)]
23.  Saito H, Kadono Y, Shono T, Kamikawa K, Urata A, Nasu J, Uehara M, Matsushita I, Kakuma T, Hashigo S, Tada S. Synergistic effect of independent risk factors for post-endoscopic retrograde cholangiopancreatography pancreatitis: a multicenter retrospective study in Japan. Clin Endosc. 2024;57:508-514.  [RCA]  [PubMed]  [DOI]  [Full Text]  [Cited by in RCA: 4]  [Reference Citation Analysis (0)]
24.  Bicudo de Oliveira L, Funari MP, So Taa Kum A, Bestetti AM, Brunaldi VO, Franzini TAP, Moura ETH, Baroni LM, de Carvalho MF, Bernardo WM, de Moura EGH. Pure cut vs. Endocut in endoscopic biliary sphincterotomy: Systematic review and meta-analysis of randomized clinical trials. Endosc Int Open. 2024;12:E830-E841.  [RCA]  [PubMed]  [DOI]  [Full Text]  [Full Text (PDF)]  [Cited by in RCA: 5]  [Reference Citation Analysis (0)]
25.  Shanti I, Samardali M, Bambhroliya Z, Alhusari L. Post-endoscopic Retrograde Cholangiopancreatography Hemorrhagic Pancreatitis in a Young Female: A Case Report. Cureus. 2024;16:e60929.  [RCA]  [PubMed]  [DOI]  [Full Text]  [Cited by in RCA: 1]  [Reference Citation Analysis (0)]
26.  Yan C, Zheng J, Tang H, Fang C, Zhu J, Feng H, Huang H, Su Y, Wang G, Wang C. Prediction for post-ERCP pancreatitis in non-elderly patients with common bile duct stones: a cross-sectional study at a major Chinese tertiary hospital (2015-2023). BMC Med Inform Decis Mak. 2024;24:143.  [RCA]  [PubMed]  [DOI]  [Full Text]  [Full Text (PDF)]  [Cited by in RCA: 2]  [Reference Citation Analysis (0)]
27.  Triki L, Tringali A, Arvanitakis M, Schepis T. Prevention of post-ERCP complications. Best Pract Res Clin Gastroenterol. 2024;69:101906.  [PubMed]  [DOI]  [Full Text]
28.  Pal P, Ramchandani M. Management of ERCP complications. Best Pract Res Clin Gastroenterol. 2024;69:101897.  [PubMed]  [DOI]  [Full Text]
29.  Fu Z, Song J, Pi Y, Sun X, Liu M, Xiao Z, Chen J. A Risk Prediction Model for Post-endoscopic Retrograde Cholangiopancreatography Pancreatitis After Stent Insertion for Malignant Biliary Obstruction: Development and Validation. Dig Dis Sci. 2023;68:1574-1584.  [RCA]  [PubMed]  [DOI]  [Full Text]  [Cited by in Crossref: 5]  [Cited by in RCA: 7]  [Article Influence: 2.3]  [Reference Citation Analysis (0)]