©Author(s) (or their employer(s)) 2026.
World J Gastrointest Surg. Feb 27, 2026; 18(2): 113730
Published online Feb 27, 2026. doi: 10.4240/wjgs.v18.i2.113730
Published online Feb 27, 2026. doi: 10.4240/wjgs.v18.i2.113730
Figure 1 Postoperative exercise recovery.
A: Time to resume activities (days); B: 6-minute walk distance at week 4 (m); C: 6-minute walk distance at week 8 (m); D: Sit-to-stand test at week 4; E: Sit-to-stand test at week 8. CC: Conventional care; FMEA: Failure mode and effects analysis; 6MWD: 6-minute walk distance.
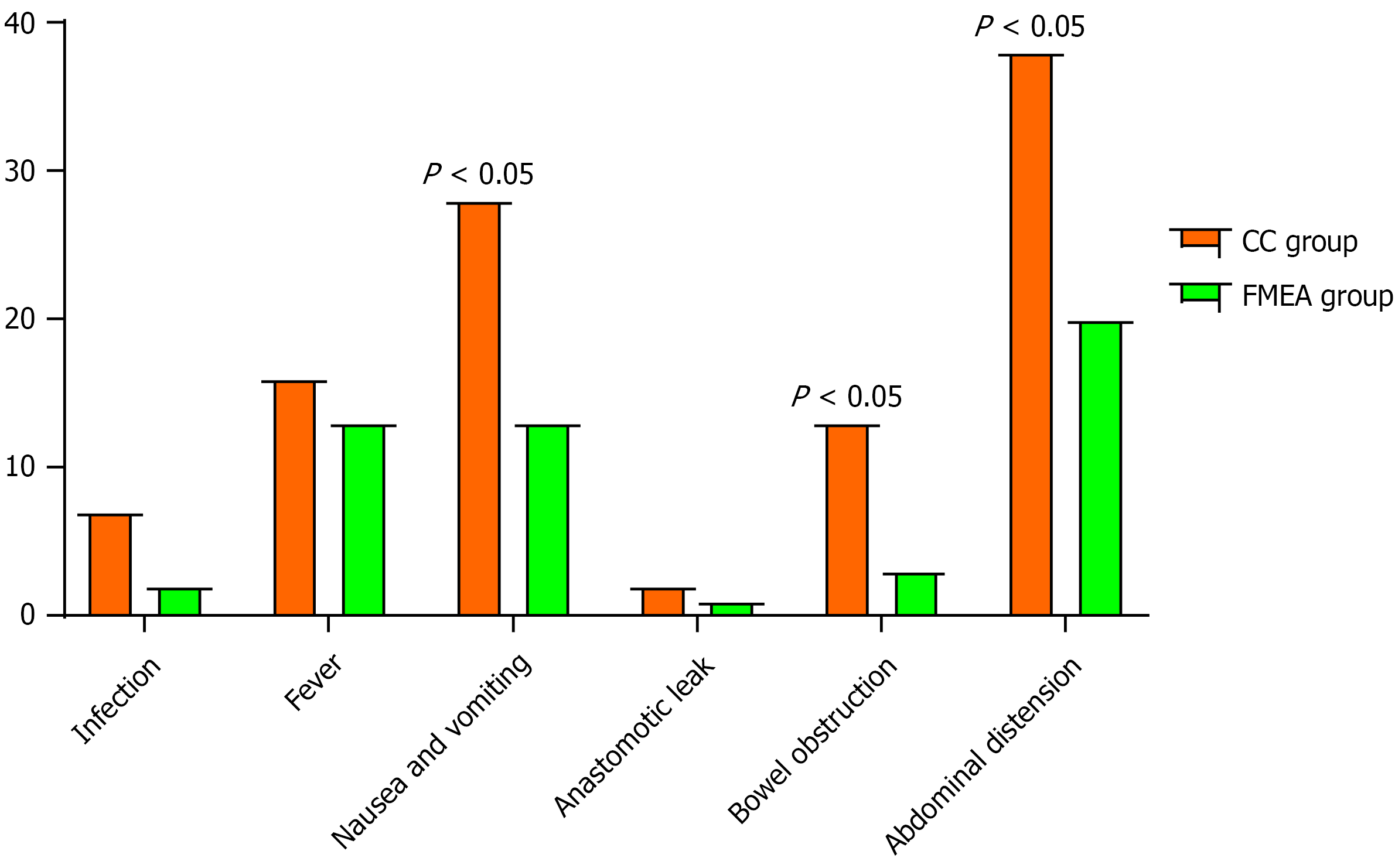
Figure 2 Postoperative complication occurrence.
CC: Conventional care; FMEA: Failure mode and effects analysis.
Figure 3 Quality of life assessment.
A: Function domain before treatment; B: Symptom domain before treatment; C: Function domain after treatment; D: Symptom domain after treatment. CC: Conventional care; FMEA: Failure mode and effects analysis.
- Citation: Yang QQ, Wu ZK. Failure mode and effects analysis nursing model improves recovery and quality of life post-laparoscopic extended radical colectomy for colorectal cancer. World J Gastrointest Surg 2026; 18(2): 113730
- URL: https://www.wjgnet.com/1948-9366/full/v18/i2/113730.htm
- DOI: https://dx.doi.org/10.4240/wjgs.v18.i2.113730
