Copyright
©The Author(s) 2026.
World J Gastrointest Surg. Jan 27, 2026; 18(1): 113350
Published online Jan 27, 2026. doi: 10.4240/wjgs.v18.i1.113350
Published online Jan 27, 2026. doi: 10.4240/wjgs.v18.i1.113350
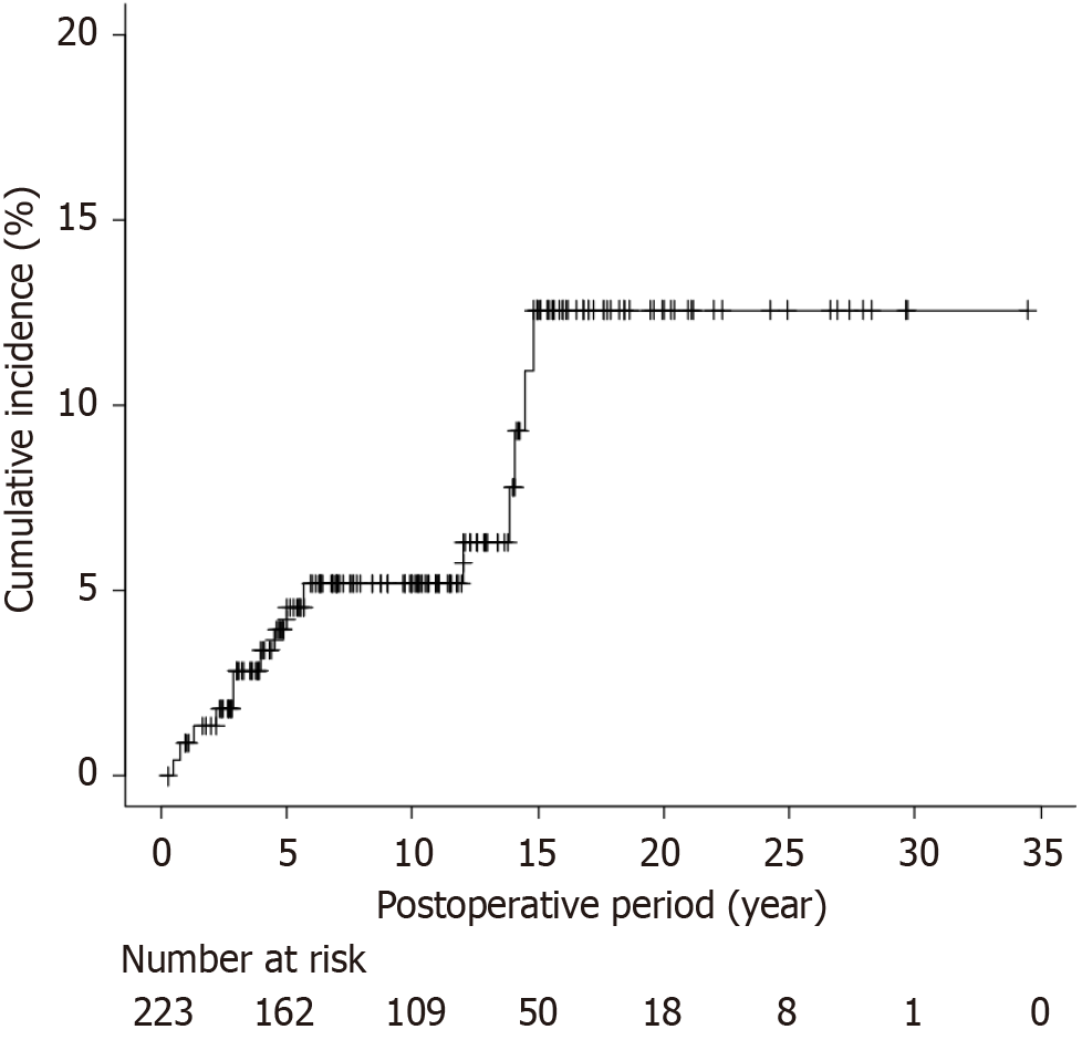
Figure 1 Kaplan-Meier curve for postoperative hepatolithiasis occurrence.
Figure 2 Least absolute shrinkage and selection operator analysis for screening variables associated with postoperative hepatolithiasis.
A: Least absolute shrinkage and selection operator coefficient profiles of seven variables. Variables: (1) Age at surgery; (2) Preoperative stone; (3) Preoperative symptoms; (4) Postoperative acute cholangitis; (5) Anastomotic leakage; (6) Todani type Ic relative to Ia; and (7) Todani type IV-A relative to Ia; B: Mean-square error with the 10-fold cross-validation method. The selection criterion for lambda was the one-standard-error rule. 1Dotted vertical line was drawn at the optimal values using one standard error of the minimum criterion (1-SE rule).
Figure 3 The ability of age at surgery to predict the development of postoperative hepatolithiasis.
A: Time-dependent receiver operating curve at 6 years after surgery. The area under the curve was 0.953. The cutoff age based on the Youden index was 31 years; B: Kaplan-Meier curve for hepatolithiasis stratified by age at surgery.
- Citation: Asano F, Matsuyama R, Kumamoto T, Shinkai M, Morioka D, Shinoda S, Endo I. Clinical characteristics of and risk factors for hepatolithiasis developed after surgery for congenital biliary dilatation. World J Gastrointest Surg 2026; 18(1): 113350
- URL: https://www.wjgnet.com/1948-9366/full/v18/i1/113350.htm
- DOI: https://dx.doi.org/10.4240/wjgs.v18.i1.113350
