Copyright
©The Author(s) 2025.
World J Gastrointest Surg. Nov 27, 2025; 17(11): 111202
Published online Nov 27, 2025. doi: 10.4240/wjgs.v17.i11.111202
Published online Nov 27, 2025. doi: 10.4240/wjgs.v17.i11.111202
Figure 1 Study flowchart.
Flowchart outlining the selection of 553 patients undergoing pancreatic surgery for pancreatic ductal adenocarcinoma, with 303 patients included after exclusions, resulting in group 1 (n = 28) with very early recurrence and group 2 (n = 251) without recurrence.
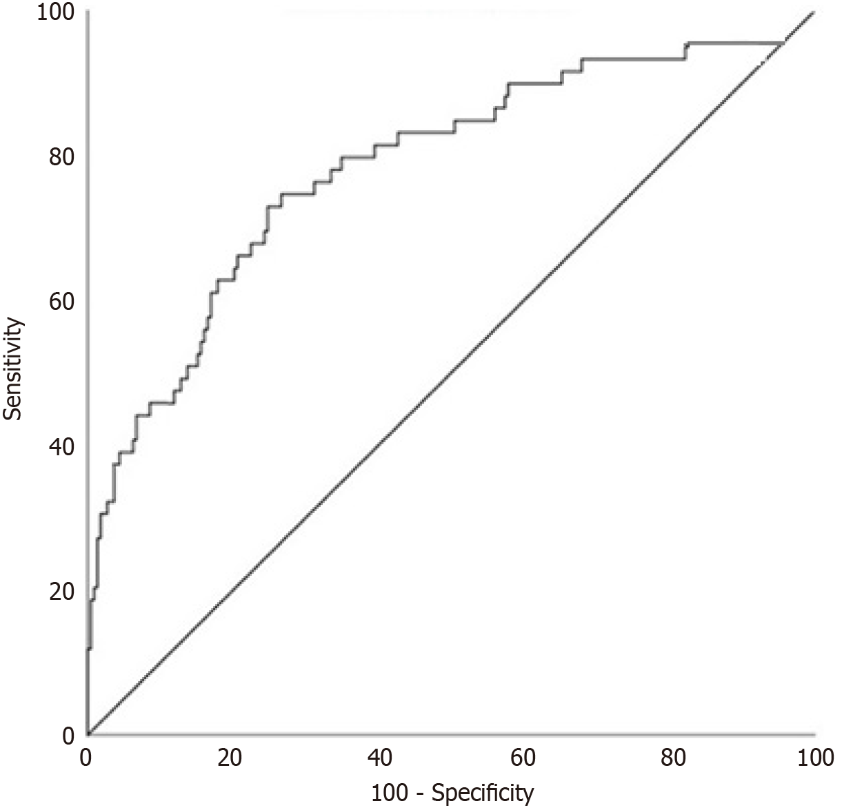
Figure 2 Receiver operating characteristic analysis of G3 differentiation to predict very early recurrence.
Receiver operating characteristic curve illustrating the predictive power of poorly differentiated tumors (G3) for very early recurrence, with an area under the curve of 0.701 (95% confidence interval: 0.638-0.777).
- Citation: Martlı HF, İnsan HO, Altaş M, Erişmiş B, Çayhan V, Ersoy O, Keşkek M, Tez M. Clinicopathological features of patients undergoing surgery for pancreatic cancer with very early postoperative recurrence. World J Gastrointest Surg 2025; 17(11): 111202
- URL: https://www.wjgnet.com/1948-9366/full/v17/i11/111202.htm
- DOI: https://dx.doi.org/10.4240/wjgs.v17.i11.111202
