Copyright
©The Author(s) 2025.
World J Gastrointest Surg. Nov 27, 2025; 17(11): 109991
Published online Nov 27, 2025. doi: 10.4240/wjgs.v17.i11.109991
Published online Nov 27, 2025. doi: 10.4240/wjgs.v17.i11.109991
Figure 1
Flow diagram of the study selection process.
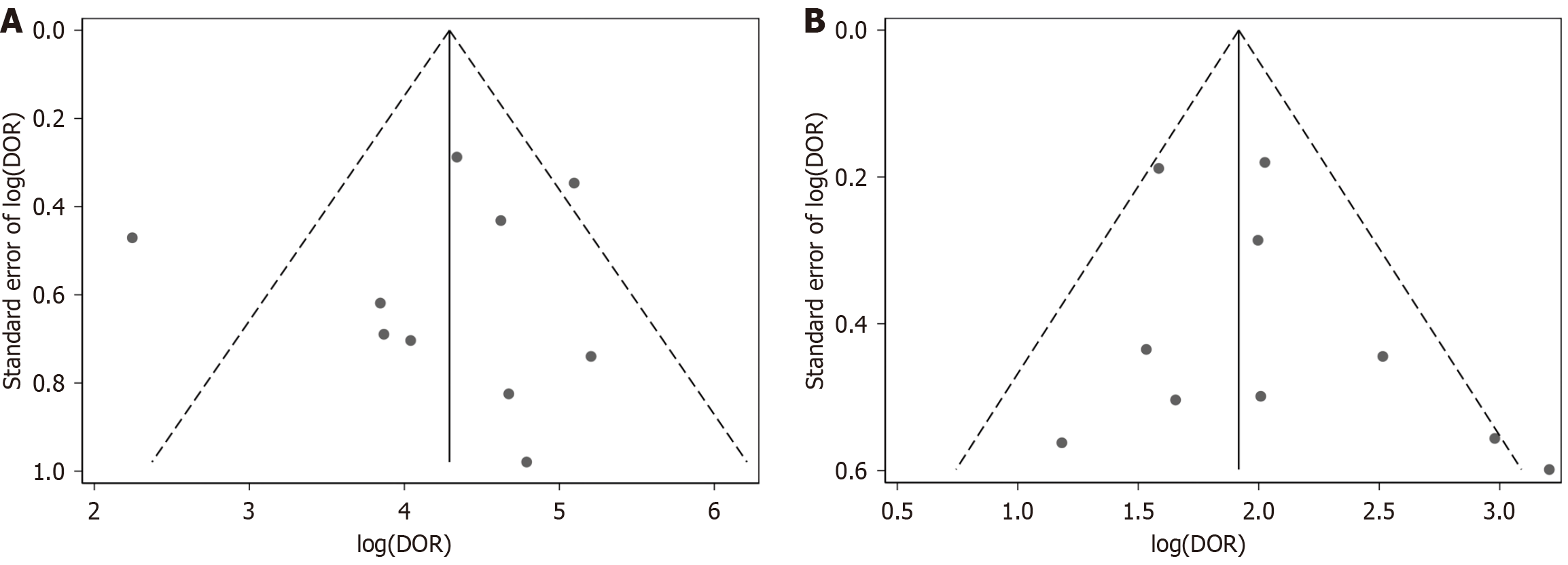
Figure 2 Funnel graph for the assessment of potential publication bias of the included studies.
A: Funnel plot for the artificial intelligence-enabled real-time computer-aided detection system group, showing the distribution of logarithm of diagnostic odds ratios log(DOR) values against their standard errors; B: Funnel plot for the endoscopist group, showing the distribution of log(DOR) values against their standard errors. DOR: Diagnostic odds ratio.
Figure 3 Summary quality assessment of studies using Quality Assessment of Diagnostic Accuracy Studies-2 criteria.
A: Overall risk of bias and applicability concerns across all included studies; B: Risk of bias and applicability concerns for each individual study.
Figure 4 Forest plots of the pooled sensitivity and specificity for artificial intelligence-enhanced real-time computer-aided detection systems and endoscopist diagnosis.
A: Pooled sensitivity for artificial intelligence-enhanced real-time computer-aided detection systems (AI-CAD) group; B: Pooled specificity for AI-CAD group; C: Pooled sensitivity for endoscopist group; D: Pooled specificity for endoscopist group.
Figure 5 Combined summary receiver operating characteristic plot of artificial intelligence-assisted and endoscopist-only diagnosis.
SROC: Summary receiver operating characteristic; AUC: Area under the curve.
Figure 6 Forest plots of pooled accuracy difference between artificial intelligence-enhanced real-time computer-aided detection systems and conventional endoscopists across all included studies.
Each horizontal line represents the 95% confidence interval (CI) for the accuracy difference in an individual study. A positive value indicates that the Artificial intelligence-enhanced real-time computer-aided detection systems system had higher diagnostic accuracy than endoscopists. The size of the square reflects the weight of each study in the meta-analysis, and the diamond at the bottom represents the pooled effect estimate with its 95%CI, calculated using a random-effects model. CI: Confidence interval.
Figure 7 Forest plots of pooled logarithm of diagnostic odds ratios difference between artificial intelligence-enhanced real-time com puter-aided detection systems and conventional endoscopists across all included studies.
Each study is represented by a point estimate and a 95% confidence interval (CI). A logarithm of diagnostic odds ratios difference greater than zero indicates a higher diagnostic discriminative ability of Artificial intelligence-enhanced real-time computer-aided detection systems compared to endoscopists. The diamond at the bottom shows the pooled estimate with 95%CI, calculated using a random-effects model. Notably, the wide confidence interval suggests substantial between-study heterogeneity and potential uncertainty in effect direction. CI: Confidence interval; DOR: Diagnostic odds ratio.
Figure 8 Sensitivity analysis of image modality and artificial intelligence model effects.
A: Leave-one-out (LOO) sensitivity analysis of artificial intelligence-enhanced real-time computer-aided detection systems (AI-CAD) group specificity, stratified by imaging modality; B: LOO sensitivity analysis of accuracy difference, stratified by imaging modality; C: LOO sensitivity analysis of AI-CAD group specificity, stratified by artificial intelligence (AI) model; D: LOO sensitivity analysis of accuracy difference, stratified by AI model.
- Citation: Li ZY, Liu YH, Cai HQ. Diagnostic value of real-time computer-aided detection for precancerous lesion during esophagogastroduodenoscopy: A meta-analysis. World J Gastrointest Surg 2025; 17(11): 109991
- URL: https://www.wjgnet.com/1948-9366/full/v17/i11/109991.htm
- DOI: https://dx.doi.org/10.4240/wjgs.v17.i11.109991
