Copyright: ©Author(s) 2026.
World J Diabetes. Apr 15, 2026; 17(4): 115328
Published online Apr 15, 2026. doi: 10.4239/wjd.v17.i4.115328
Published online Apr 15, 2026. doi: 10.4239/wjd.v17.i4.115328
Figure 1 Age-related incidence per 100000 inhabitants of exemption for diabetes in 2018-2019 (reference cohort, white bars) and 2020-2021 (pandemic cohort, black bars) among men and women in Lombardy.
Inset: Rate ratio and 95% confidence interval for pandemic vs control cohort across age quartiles.
Figure 2 Rate ratio and 95% confidence interval in diabetic men and women diagnosed in 2020-2021 (pandemic cohort) compared with the reference cohort (2018-2019) for concomitant exemption for hypertension, cardiovascular disorders, dyslipidemia, cardiovascular risk factors and for patients on cardiovascular drugs.
Dashed line represents equal rates (= 1). CV: Cardiovascular.
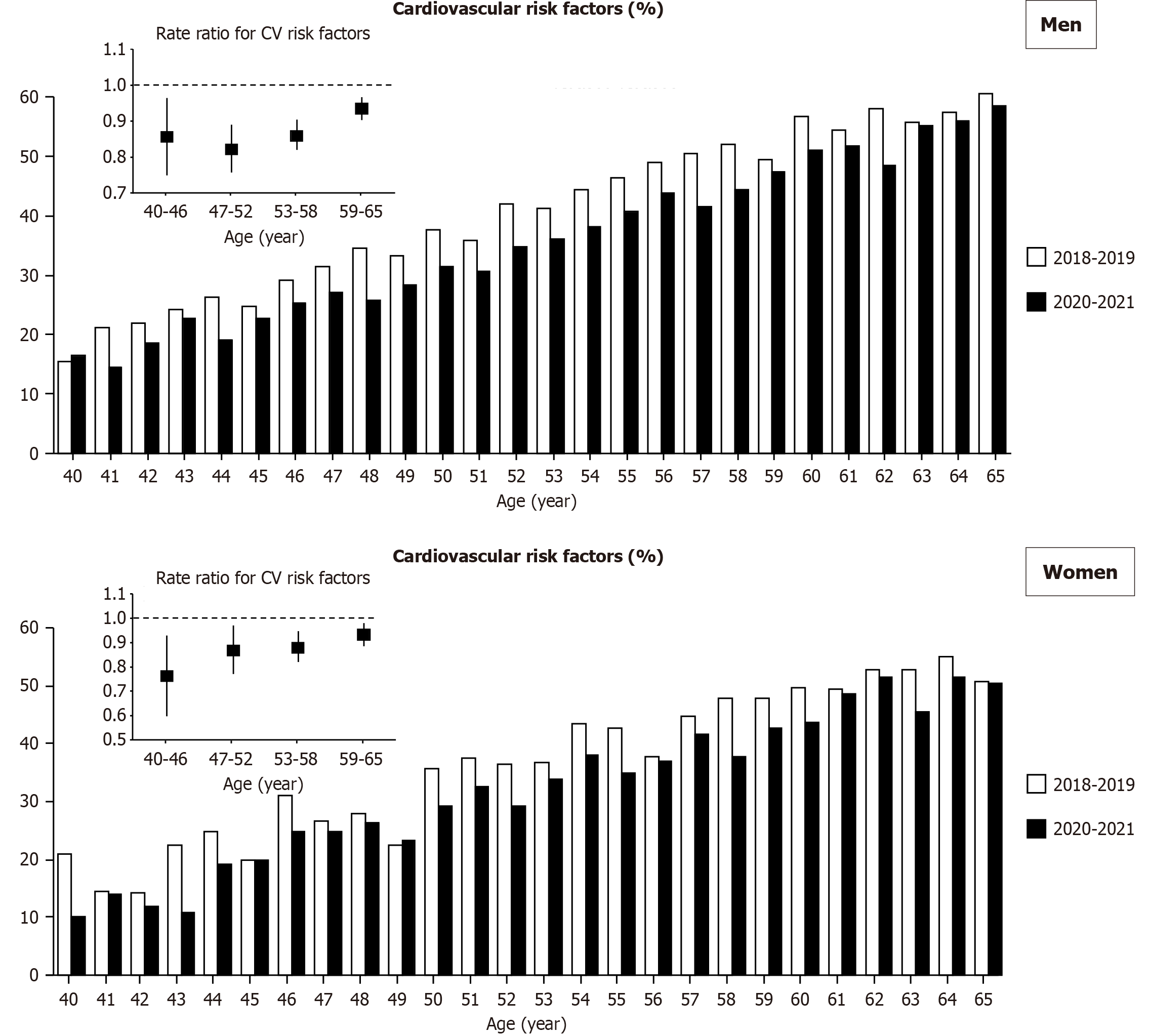
Figure 3 Percentage of diabetic men and women with exemption for cardiovascular risk factors according to age in 2018-2019 (reference cohort, white bars) and 2020-2021 (pandemic cohort, black bars).
Inset: Rate ratio and 95% confidence interval for pandemic vs control cohort across age quartiles. CV: Cardiovascular.
- Citation: Pecori Giraldi F, Leoni O. Environment and diabetes: Is there an association between the COVID-19 pandemic and phenotypic variation in diabetes? World J Diabetes 2026; 17(4): 115328
- URL: https://www.wjgnet.com/1948-9358/full/v17/i4/115328.htm
- DOI: https://dx.doi.org/10.4239/wjd.v17.i4.115328
