Copyright
©The Author(s) 2026.
World J Diabetes. Jan 15, 2026; 17(1): 112621
Published online Jan 15, 2026. doi: 10.4239/wjd.v17.i1.112621
Published online Jan 15, 2026. doi: 10.4239/wjd.v17.i1.112621
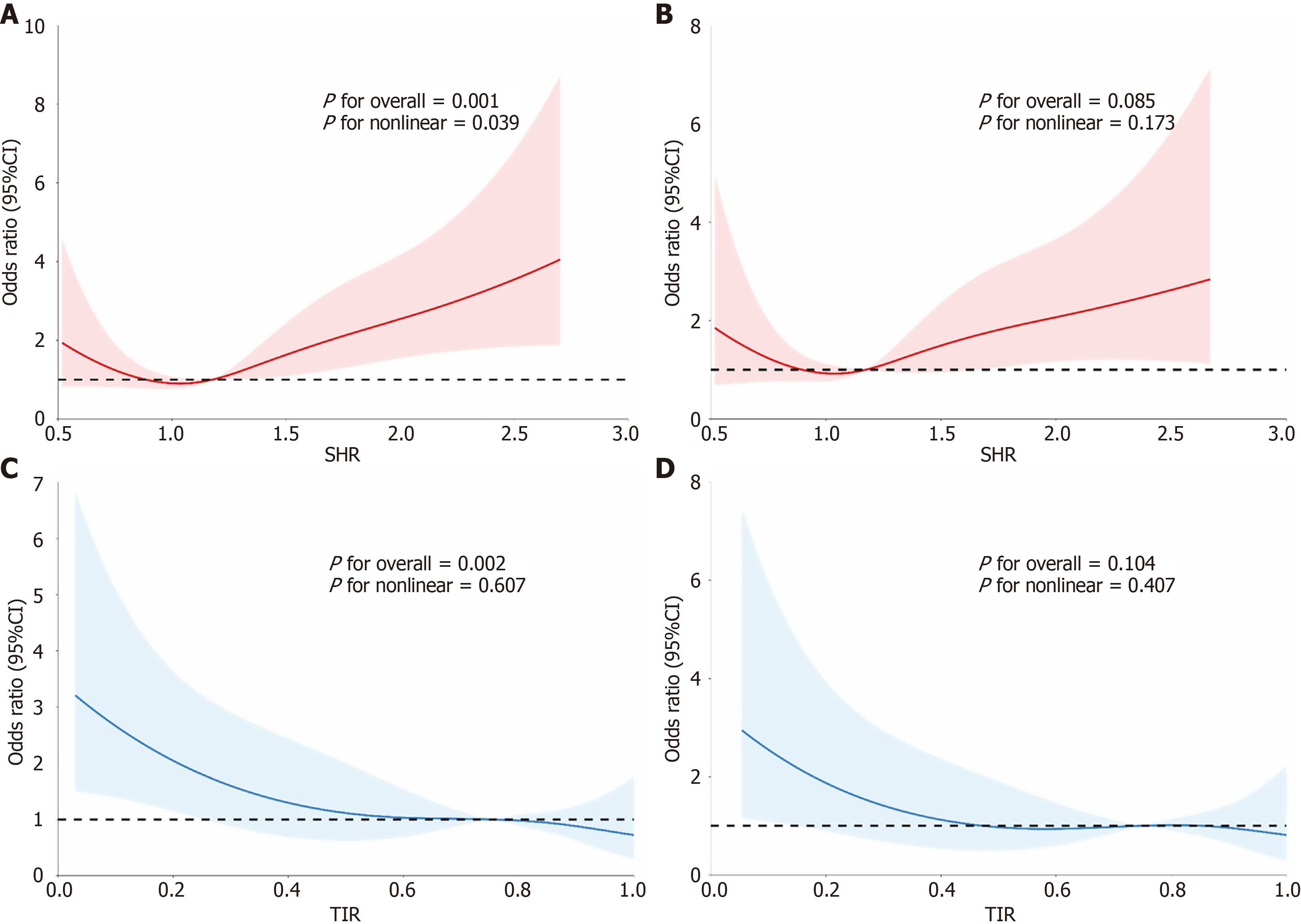
Figure 1 Restricted cubic splines analysis of stress hyperglycemia ratio and time in range with 28-day mortality.
A: Univariate analysis for stress hyperglycemia ratio; B: Multivariate analysis for stress hyperglycemia ratio; C: Univariate analysis for time in range; D: Multivariate analysis for time in range. The solid lines correspond to the central estimates, and the shaded regions indicate the 95% confidence intervals. Statistical significance for overall and non-linear associations was provided. The model of multivariate analysis was adjusted for age (continuous variable), sex (male/female), body mass index (continuous variable), acute physiology score and acute physiology and chronic health evaluation II (continuous variable), history of diabetes (categorical variable), and admission type (categorical variable), average number of glucose measurements per day (continuous variable), and use of glucocorticoid (categorical variable). SHR: Stress hyperglycemia ratio; TIR: Time in range; CI: Confidence interval.
Figure 2 Combined Effect of stress hyperglycemia ratio and time in range with 28-day mortality in surgical intensive care unit patients.
A: 28-day mortality of different stress hyperglycemia ratio and time in range combination groups. Odds ratios of combined stress hyperglycemia ratio and time in range groups for 28-day mortality; B: Univariate analysis; C: Multivariate analysis adjusted for age, sex, body mass index, acute physiology score and acute physiology and chronic health evaluation II, history of diabetes (yes/no), admission type (emergency surgery/selective operation), average number of glucose measurements per day (continuous variable), and use of glucocorticoid (categorical variable). SHR: Stress hyperglycemia ratio; TIR: Time in range; CI: Confidence interval; L: Low; H: High.
- Citation: Liu S, Cao BG, Ma Y, Xu JF, Zhou QH, Wang CR. Combined assessment with stress hyperglycemia ratio and time in range: Associations with twenty-eight-day mortality in surgical intensive care unit patients. World J Diabetes 2026; 17(1): 112621
- URL: https://www.wjgnet.com/1948-9358/full/v17/i1/112621.htm
- DOI: https://dx.doi.org/10.4239/wjd.v17.i1.112621
