Copyright: ©Author(s) 2026.
World J Gastrointest Oncol. Apr 15, 2026; 18(4): 118402
Published online Apr 15, 2026. doi: 10.4251/wjgo.v18.i4.118402
Published online Apr 15, 2026. doi: 10.4251/wjgo.v18.i4.118402
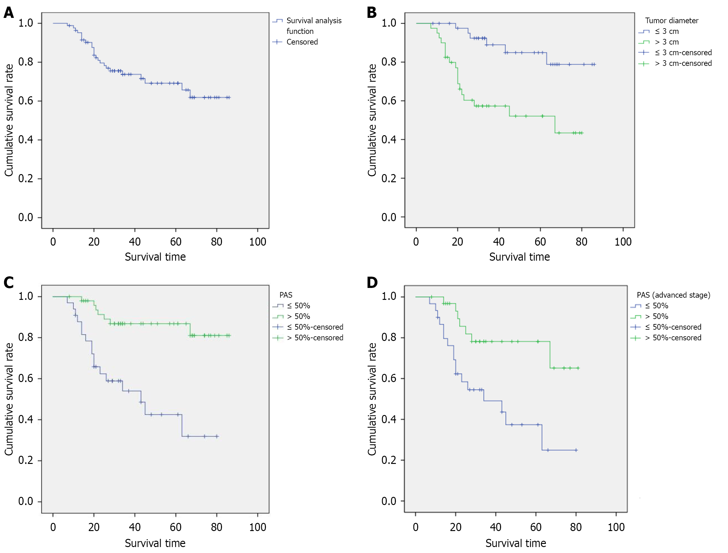
Figure 1 Corrected Figure 4D.
A: 3-year cancer-specific survival (CSS) of all patients with gastric signet ring cell carcinoma (SRCC); B: 3-year CSS of all patients grouped according to tumor diameter (P = 0.002); C: 3-year CSS of all patients grouped according to the degree of periodic acid-Schiff (PAS) expression (P = 0.000); D: 3-year CSS of patients with SRCC in an advanced stage grouped according to the degree of PAS expression (P = 0.003). PAS: Periodic acid-Schiff.
- Citation: Lin J, Chen ZF, Guo GD, Chen X. Correction to “Impact of Alcian blue and periodic acid Schiff expression on the prognosis of gastric signet ring cell carcinoma”. World J Gastrointest Oncol 2026; 18(4): 118402
- URL: https://www.wjgnet.com/1948-5204/full/v18/i4/118402.htm
- DOI: https://dx.doi.org/10.4251/wjgo.v18.i4.118402
