Copyright: ©Author(s) 2026.
World J Gastrointest Oncol. Apr 15, 2026; 18(4): 116821
Published online Apr 15, 2026. doi: 10.4251/wjgo.v18.i4.116821
Published online Apr 15, 2026. doi: 10.4251/wjgo.v18.i4.116821
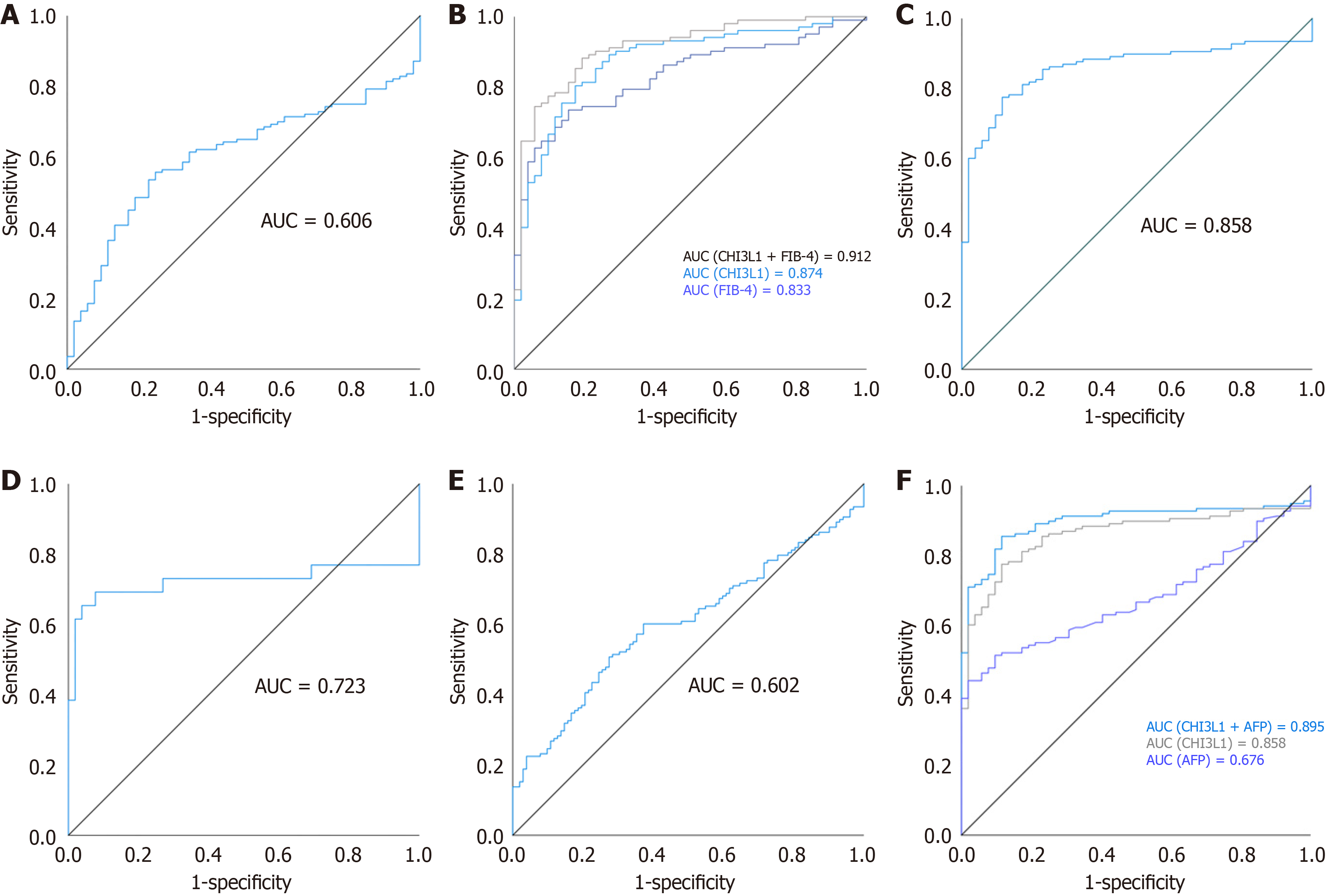
Figure 1 Diagnostic value of chitinase-3-like protein 1 in different liver diseases.
A: Receiver operating characteristic (ROC) curve analysis of the diagnostic efficacy of serum chitinase-3-like protein 1 (CHI3L1) for hepatitis; B: ROC curve analysis of the diagnostic efficacy of serum CHI3L1 and the fibrosis-4 index for liver cirrhosis; C: ROC curve analysis of the diagnostic efficacy of serum CHI3L1 for hepatocellular carcinoma (HCC); D: ROC curve analysis of the diagnostic efficacy of serum CHI3L1 for liver cancer recurrence; E: ROC curve analysis of the diagnostic efficacy of serum CHI3L1 on HCC and liver cirrhosis; F: ROC curve analysis of the diagnostic efficacy of serum CHI3L1 and alpha-fetoprotein for HCC. AUC: Area under the receiver operating characteristic curve; CHI3L1: Chitinase-3-like protein 1; FIB-4: Fibrosis-4 index; AFP: Alpha-fetoprotein.
- Citation: Zhang HY, Zhang RL, Jia YY, Liu Y, Zhu L, Liu F, Rao HY. Diagnostic value of serum chitinase-3-like protein 1 for liver fibrosis/cirrhosis and hepatocellular carcinoma. World J Gastrointest Oncol 2026; 18(4): 116821
- URL: https://www.wjgnet.com/1948-5204/full/v18/i4/116821.htm
- DOI: https://dx.doi.org/10.4251/wjgo.v18.i4.116821
