Copyright
©The Author(s) 2025.
World J Gastrointest Oncol. Oct 15, 2025; 17(10): 108539
Published online Oct 15, 2025. doi: 10.4251/wjgo.v17.i10.108539
Published online Oct 15, 2025. doi: 10.4251/wjgo.v17.i10.108539
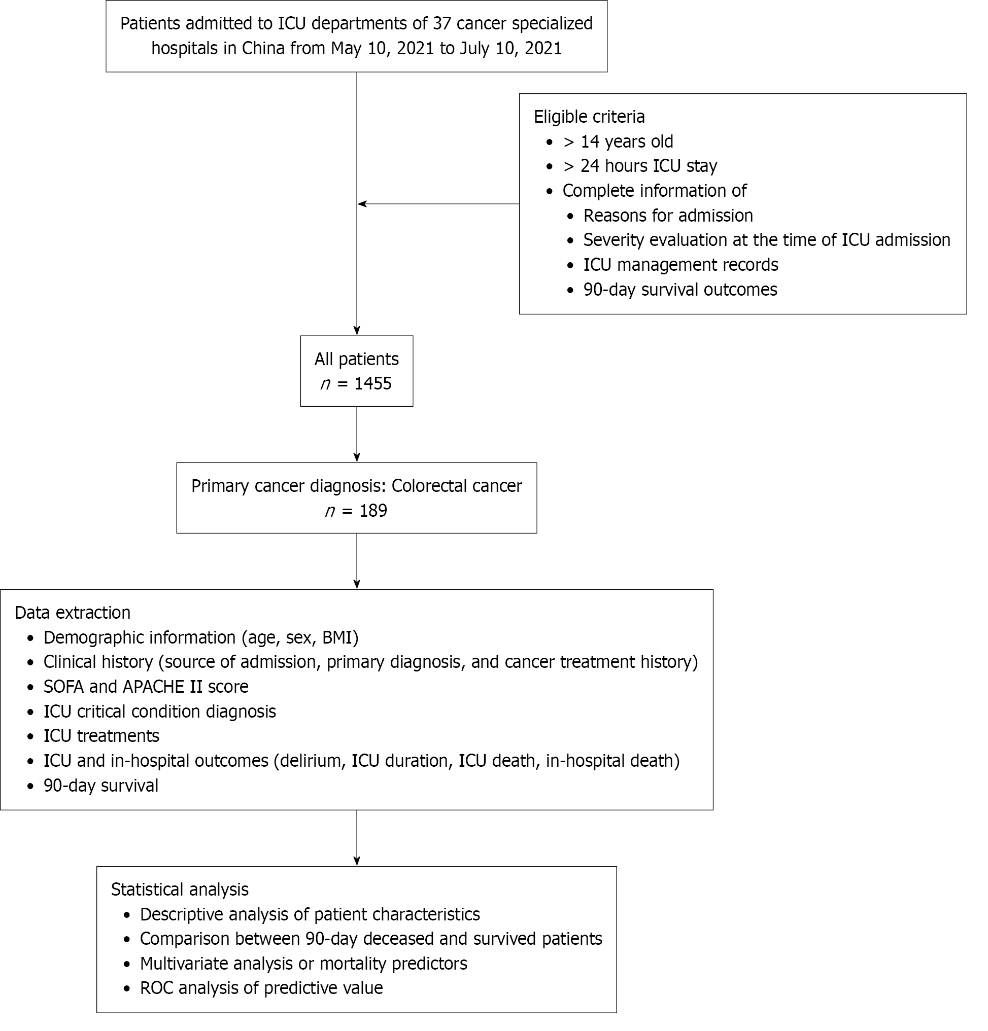
Figure 1 Flowchart of research scheme.
ICU: Intensive care unit; BMI: Body mass index; SOFA: Sequential organ failure assessment; APACHE: Acute physiology and chronic health evaluation; ROC: Receiver operating characteristic.
Figure 2 Receiver operating characteristic curves of 90-day survival prediction models for different time periods.
A: The model at 30 days; B: The model at 60 days; C: The model at 80 days. SOFA: Sequential organ failure assessment; APACHE: Acute physiology and chronic health evaluation; ROC: Receiver operating characteristic.
- Citation: Dong Q, Xia R, Xing XZ, Wang CS, Ma G, Wang HZ, Zhu B, Zhao JH, Zhou DM, Zhang L, Huang MG, Quan RX, Ye Y, Zhang GX, Jiang ZY, Huang B, Xu SL, Xiao Y, Zhang LL, Lin RY, Ma SL, Qiu YA, Zheng Z, Sun N, Xian LW, Li J, Zhang M, Guo ZJ, Tao Y, Zhou XZ, Chen W, Wang DX, Chi JY, Wang DH, Liu KZ. Intensive care unit outcomes and prognostic factors of colorectal cancer. World J Gastrointest Oncol 2025; 17(10): 108539
- URL: https://www.wjgnet.com/1948-5204/full/v17/i10/108539.htm
- DOI: https://dx.doi.org/10.4251/wjgo.v17.i10.108539
